Click here to close
Hello! We notice that you are using Internet Explorer, which is not supported by Xenbase and may cause the site to display incorrectly.
We suggest using a current version of Chrome,
FireFox, or Safari.
Bioarchitecture
2014 Jan 01;46:189-202. doi: 10.1080/19490992.2014.1047714.
Show Gene links
Show Anatomy links
Comparative analysis of tools for live cell imaging of actin network architecture.
Belin BJ, Goins LM, Mullins RD.
???displayArticle.abstract???
Fluorescent derivatives of actin and actin-binding domains are powerful tools for studying actin filament architecture and dynamics in live cells. Growing evidence, however, indicates that these probes are biased, and their cellular distribution does not accurately reflect that of the cytoskeleton. To understand the strengths and weaknesses of commonly used live-cell probes--fluorescent protein fusions of actin, Lifeact, F-tractin, and actin-binding domains from utrophin--we compared their distributions in cells derived from various model organisms. We focused on five actin networks: the peripheral cortex, lamellipodial and lamellar networks, filopodial bundles, and stress fibers. Using phalloidin as a standard, we identified consistent biases in the distribution of each probe. The localization of F-tractin is the most similar to that of phalloidin but induces organism-specific changes in cell morphology. Both Lifeact and GFP-actin concentrate in lamellipodial actin networks but are excluded from lamellar networks and filopodia. In contrast, the full utrophin actin-binding domain (Utr261) binds filaments of the lamellum but only weakly localizes to lamellipodia, while a shorter variant (Utr230) is restricted to the most stable subpopulations of actin filaments: cortical networks and stress fibers. In some cells, Utr230 also detects Golgi-associated filaments, previously detected by immunofluorescence but not visible by phalloidin staining. Consistent with its localization, Utr230 exhibits slow rates of fluorescence recovery after photobleaching (FRAP) compared to F-tractin, Utr261 and Lifeact, suggesting that it may be more useful for FRAP- and photo-activation-based studies of actin network dynamics.
Figure 1. Comparison of mCherry-actin localization with eGFP-tragged actin reporters. mCherry-actin and eGFP reporter localization in fixed S2 cells with corresponding linescans in the lamellum and lamellipod for (A–B) F-tractin-eGFP, (C–D) Lifeact-eGFP, (E–F) Utr261-eGFP, (G–H) eGFP actin (control). Scale bars indicate 5 microns.
Figure 2. Comparison of live-cell actin probes and phalloidin in Drosophila S2 cells on ConA. Comparison of Alexa 564 phalloidin localization and eGFP actin reporters in fixed S2 cells on ConA stably expressing (A) eGFP, (B) eGFP-actin, (C) Utr230-eGFP, (D) Utr261-eGFP, (E) F-tractin-eGFP and (F) Lifeact-eGFP. Scale bars indicate 5 microns.
Figure 3. Intensity plot profiles of actin probes and phalloidin in DrosophilaS2 cells on ConA Comparison of intensity profiles across lines (shown in yellow) for Alexa 564 phalloidin (top) and eGFP actin reporters (bottom) in fixed S2 cells on ConA. (A) eGFP, (B) eGFP-actin, (C) Utr230-eGFP, (D) Utr261-eGFP, (E) F-tractin-eGFP and (F) Lifeact-eGFP.
Figure 4. Comparison of live-cell actin probes and phalloidin in DrosophilaS2 cells on PDL. Comparison of Alexa 564 phalloidin localization and eGFP actin reporters in fixed S2 cells on PDL stably expressing (A) eGFP, (B) eGFP-actin, (C) Utr230-eGFP, (D) Utr261-eGFP, (E) F-tractin-eGFP and (F) Lifeact-eGFP. Scale bars indicate 5 microns.
Figure 5. Comparison of live-cell actin probes and phalloidin in XenopusXTC cells on PLL. Comparison of Alexa 564 phalloidin localization and eGFP actin reporters in fixed XTC cells transiently expressing (A) eGFP, (B) eGFP-actin, (C) Utr230-eGFP, (D) Utr261-eGFP, (E) F-tractin-eGFP and (F) Lifeact-eGFP. Scale bars indicate 5 microns.
Figure 6. Comparison of live-cell actin probes and phalloidin in mouse B16-F10 cells on laminin. Comparison of Alexa 564 phalloidin localization and eGFP actin reporters in fixed B16-F10 cells stably expressing (A) eGFP, (B) eGFP-actin, (C) Utr230-eGFP, (D) Utr261-eGFP, (E) F-tractin-eGFP and (F) Lifeact-eGFP.
Figure 7. Comparison of live-cell actin probes and phalloidin in human U2-OS cells on fibronectin. Comparison of Alexa 564 phalloidin localization and eGFP actin reporters in fixed U2-OS cells stably expressing (A) eGFP, (B) eGFP-actin, (C) Utr230-eGFP, (D) Utr261-eGFP, (E) F-tractin-eGFP and (F) Lifeact-eGFP. Scale bars indicate 5 microns.
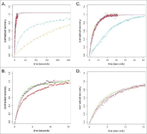
Figure 8. FRAP of actin reporters at U2-OS cell stress fibers and B16-F10 lamellipodia. (A) Normalized FRAP recovery curves for actin reporters on U2-OS cell stress fibers. Color scheme follows: cyan, eGFP-actin; red, Utr261-eGFP; purple, Lifeact-eGFP; green, F-tractin-eGFP; orange, Utr230-eGFP. (B) Inset from (A) showing early recovery of Utr261-eGFP, F-tractin-eGFP and Lifeact-eGFP. (C) Normalized FRAP recovery curves for actin reporters in the mouse B16-F10 lamellipod. (D) Inset from (C) showing early recovery of Utr261-eGFP, F-tractin-eGFP and Lifeact-eGFP.
Belin,
Visualization of actin filaments and monomers in somatic cell nuclei.
2013, Pubmed
Belin,
Visualization of actin filaments and monomers in somatic cell nuclei.
2013,
Pubmed Burkel,
Versatile fluorescent probes for actin filaments based on the actin-binding domain of utrophin.
2007,
Pubmed
,
Xenbase Chen,
Formins filter modified actin subunits during processive elongation.
2012,
Pubmed De La Cruz,
Transient kinetic analysis of rhodamine phalloidin binding to actin filaments.
1994,
Pubmed Goins,
A novel tropomyosin isoform functions at the mitotic spindle and Golgi in Drosophila.
2015,
Pubmed Gurel,
Connecting the cytoskeleton to the endoplasmic reticulum and Golgi.
2014,
Pubmed Hotulainen,
Actin-depolymerizing factor and cofilin-1 play overlapping roles in promoting rapid F-actin depolymerization in mammalian nonmuscle cells.
2005,
Pubmed Hotulainen,
Stress fibers are generated by two distinct actin assembly mechanisms in motile cells.
2006,
Pubmed Iwasa,
Spatial and temporal relationships between actin-filament nucleation, capping, and disassembly.
2007,
Pubmed Kondylis,
The golgi comprises a paired stack that is separated at G2 by modulation of the actin cytoskeleton through Abi and Scar/WAVE.
2007,
Pubmed McGough,
Cofilin changes the twist of F-actin: implications for actin filament dynamics and cellular function.
1997,
Pubmed Minamide,
Neurodegenerative stimuli induce persistent ADF/cofilin-actin rods that disrupt distal neurite function.
2000,
Pubmed Munsie,
Lifeact cannot visualize some forms of stress-induced twisted F-actin.
2009,
Pubmed Percival,
Targeting of a tropomyosin isoform to short microfilaments associated with the Golgi complex.
2004,
Pubmed Ponti,
Two distinct actin networks drive the protrusion of migrating cells.
2004,
Pubmed Riedl,
Lifeact: a versatile marker to visualize F-actin.
2008,
Pubmed Rogers,
Molecular requirements for actin-based lamella formation in Drosophila S2 cells.
2003,
Pubmed Sanders,
Specialized filopodia direct long-range transport of SHH during vertebrate tissue patterning.
2013,
Pubmed Schell,
Inositol 1,4,5-trisphosphate 3-kinase A associates with F-actin and dendritic spines via its N terminus.
2001,
Pubmed Spracklen,
The pros and cons of common actin labeling tools for visualizing actin dynamics during Drosophila oogenesis.
2014,
Pubmed