|
Figure 1 Spatial expression of prmt4 [carm1]
A: Lateral view of a stage 10 embryo with dorsal toward the left showing differential expression of prmt4 along the dorsoventral axis. Arrow indicates signal on the dorsal side.
BâF: prmt4 signal detected in the neural crest and neural plate border during the neurula stage. B: Stage 15 embryo; C, D: Stage 18 embryos;
E, F: Stage 20 embryos. B, C, E: Dorsal view with anterior toward the top. D, F: Anterior view with dorsal toward the top.
GâL: Expression of prmt4 detected in the brain, spinal cord, branchial arches, and heart anlage. G, H, J, K: Lateral view of stage 25 (G), stage 28 (H), stage 35 (J), and stage 40 (K) embryos. Enlarged head regions of embryos in J and K are shown in I and L, respectively.
M: Transverse section of embryo at the level illustrated by the black line in C. N: Longitudinal section of a stage 40 embryo. OâR: Transverse sections of embryo at the levels illustrated by the black lines in K.
ba: branchial arches; e: eye; en:endoderm; ch: second pharyngeal arch; h: heart; m: first pharyngeal (maxillary) arch; msz: marginal and subventricular zones of midbrain and neural tube; nc:
neural crest; np: neural plate; nt: neural tube; op: olfactory placode; pa: pharyngeal arch; pm: paraxial mesoderm; sc: spinal cord; vz: ventricular zone of neural tube. |
|
Figure 2 Expression of prmt7
A: Weak signal of prmt7 detected on the neural fold of stage 15 embryo. Anterior view with dorsal toward the top. B, C: prmt7 expressed in migrating neural crest, neural tube, and somites in a stage 20 embryo. B: Anterior view with dorsal toward the top; C: Dorsal view. D, E: Expression of prmt7 in branchial arches, intermediate mesoderm, brain, and eye in a stage 25 embryo (D). At later stage (stage 29, E), strong prmt7 signals remained at branchial arches. Faint prmt7 expression detected in pronephric tubule and in somites. F: prmt7 signals detected in the eye, pharyngeal arches, and heart at stage 40. G: Longitudinal section of a stage 20 embryo showing prmt7 signals the in neural crest and somites. H, I: Transverse sections of a stage 29 embryo at the levels illustrated by the black lines in E. J, K: Transverse sections from a stage 40 embryo at the levels illustrated by the white lines shown in F. L: Longitudinal section of a stage 40 embryo.
ba: branchial arches; h: heart; im: intermediate mesoderm; msz: marginal and subventricular zones of midbrain and neural tube; nc: neural crest; op: olfactory placode; pa: pharyngeal arch; pt: pronephric tubule; s: somite. |
|
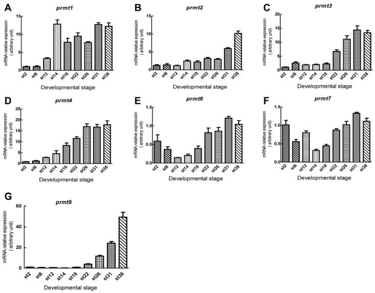
Figure 3 Quantitative RT-PCR analysis of prmt gene expression in Xenopus tropicalis embryos
mRNA expression levels of Xenopus prmt1â4 (AâD), prmt6 (E), prmt7 (F), and prmt9 (G) were measured in different embryonic stages, including cleavage
(stage 2), blastula (stage 8), gastrula (stage 12), neurula (stages 14, 18), early tailbud (stages 22, 26), and late tailbud (stages 31, 38), ornithine decarboxylase
(odc) was used as an internal control. |
|
Figure 4 Phylogenetic analysis of prmt proteins
A: prmt1–9 proteins of Xenopus tropicalis. B: prmt4, prmt7, and prmt9
proteins from humans (Homo sapiens), mice (Mus musculus), chickens
(Gallus gallus), frogs (Xenopus tropicalis), and zebrafish (Danio rerio). |
|
carm1 (coactivator associated arginine methyltransferase 1) gene expression in X. laevis embryo, assayed via in situ hybridization, NF stage 18/19, dorsal view, anterior up (E) and anterior view, dorsal up (F). |
|
carm1 (coactivator associated arginine methyltransferase 1) gene expression in X. laevis embryo, assayed via in situ hybridization, NF stage 24, lateral view, dorsal up. |
|
carm1 (coactivator associated arginine methyltransferase 1) gene expression in X. laevis embryo, assayed via in situ hybridization, NF stage 28, lateral view, anterior left, dorsal up. |
|
carm1 (coactivator associated arginine methyltransferase 1) gene expression in transverse section of a X. laevis embryo, assayed via in situ hybridization, NF stage 18, dorsal up. |
|
carm1 (coactivator-associated arginine methyltransferase 1) gene expression in longitudinal section of a X. laevis embryo, assayed via in situ hybridization, NF stage 40, lateral view, anterior left, dorsal up. ( Xenbase curators note- h label is liver- not heart as authors state) |
|
|
|
|
|
|
|
|
|
prmt7 ( protein arginine methyltransferase 7) gene expression in X. laevis embryos, assayed via in situ hybridization, NF stage 18/19, anterior view, dorsal up (B) dorsal view and anterior up (C). |
|
prmt7 ( protein arginine methyltransferase 7) gene expression in X. laevis embryos, assayed via in situ hybridization, NF stage 25, lateral view, anterior left, dorsal up. |
|
|
|
|
|
Figure 1. Spatial expression of prmt4 in Xenopus embryos |
|
Figure 2. Expression of prmt7 in Xenopus embryos |
|
Figure 3. Quantitative RT-PCR analysis of prmt gene expression in Xenopus tropicalis embryos |
|
Figure 4. Phylogenetic analysis of prmt proteins |