XB-ART-55483
Sci Rep
2018 Jan 10;81:347. doi: 10.1038/s41598-017-18719-7.
Show Gene links
Show Anatomy links
Acetaldehyde inhibits retinoic acid biosynthesis to mediate alcohol teratogenicity.
Shabtai Y, Bendelac L, Jubran H, Hirschberg J, Fainsod A.
???displayArticle.abstract???
Alcohol consumption during pregnancy induces Fetal Alcohol Spectrum Disorder (FASD), which has been proposed to arise from competitive inhibition of retinoic acid (RA) biosynthesis. We provide biochemical and developmental evidence identifying acetaldehyde as responsible for this inhibition. In the embryo, RA production by RALDH2 (ALDH1A2), the main retinaldehyde dehydrogenase expressed at that stage, is inhibited by ethanol exposure. Pharmacological inhibition of the embryonic alcohol dehydrogenase activity, prevents the oxidation of ethanol to acetaldehyde that in turn functions as a RALDH2 inhibitor. Acetaldehyde-mediated reduction of RA can be rescued by RALDH2 or retinaldehyde supplementation. Enzymatic kinetic analysis of human RALDH2 shows a preference for acetaldehyde as a substrate over retinaldehyde. RA production by hRALDH2 is efficiently inhibited by acetaldehyde but not by ethanol itself. We conclude that acetaldehyde is the teratogenic derivative of ethanol responsible for the reduction in RA signaling and induction of the developmental malformations characteristic of FASD. This competitive mechanism will affect tissues requiring RA signaling when exposed to ethanol throughout life.
???displayArticle.pubmedLink??? 29321611
???displayArticle.pmcLink??? PMC5762763
???displayArticle.link??? Sci Rep
???displayArticle.grants??? [+]
CIHR
Species referenced: Xenopus
Genes referenced: aldh1a1 aldh1a2 aldh1a3 aldh1b1 aldh2 chrd cyp26a1 dhrs3 gsc hoxa1 hoxb1 hoxb4 rdh10
???displayArticle.disOnts??? fetal alcohol syndrome
???displayArticle.omims??? ALCOHOL SENSITIVITY, ACUTE
???attribute.lit??? ???displayArticles.show???
|
|
Figure 1. Ethanol-dependent retinoic acid inhibition requires middle-chain alcohol dehydrogenases. The enzymatic requirements for EtOH to inhibit RA biosynthesis were studied using inhibitors of the middle-chain alcohol dehydrogenases (ADH), 4-methylpyrazole (4MP), or the short-chain dehydrogenase/reductases, carbenoxolone (CBX) and chloral hydrate (CH). Late blastula stage embryos were treated with EtOH alone or in combination with 4MP (a,b), CH (c,d) or CBX (e,f). The effect on RA signaling was determined by monitoring the expression level of the known RA-regulated genes, HoxA1 and HoxB1 during early gastrula stages. n = 3, The values denote mean ± SEM. P values - *p < 0.05; **p < 0.01; ***p < 0.001; ****p < 0.0001; ns, not significant. |
|
|
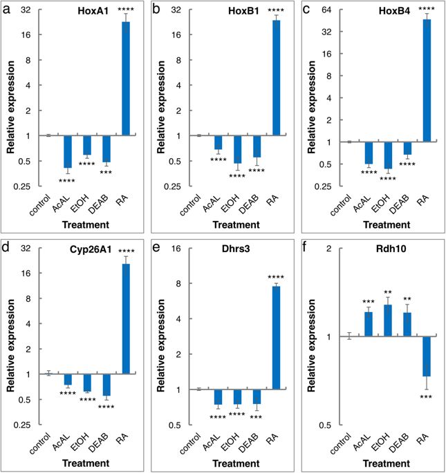
Figure 2. Acetaldehyde induces a reduction in retinoic acid signaling. The changes in the expression of several RA-regulated genes was determined after AcAL (5 µM), EtOH (0.5%), DEAB (100 µM), or RA (1 µM). Embryos were treated during late blastula (8.5), and RNA was extracted for analysis during early/mid-gastrula (st. 10.5). The expression level of the RA-regulated genes HoxA1 (a), HoxB1 (b), HoxB4 (c), Cyp26A1 (d), Dhrs3 (e), and Rdh10 (f) by qPCR. n = 4, The values denote mean ± SEM. P values - **p < 0.01; ***p < 0.001; ****p < 0.0001. |
|
|
Figure 3. Acetaldehyde phenocopies the malformations induced by ethanol. Embryos were treated with AcAL (5 µM), EtOH (0.5%) or DEAB (60 µM) and allowed to develop. At stage 34, embryos were assessed for general developmental malformations comparing controls (a) to EtOH (b), AcAL (c) and DEAB (d) treated embryos. For better qualitative length comparison, a line was drawn from the forehead to the tail-tip of the control embryo (a). This line was copied unto the treated embryos (b,c,d). For head size comparison, a bracket was drawn from the forehead to the beginning of the dorsal fin (a). A copy of the same bracket was placed at the onset of the dorsal fin in the treated embryos (b,c,d). For a more quantitative comparison of the malformations, at stage 45 the malformations in head formation were characterized. (e–i) The head region of control (e and g), AcAL (f), EtOH (h) and DEAB (i) treated embryos. The head anatomical distances measured according to Nakatsuji33 are shown. W3, inner distance between eyes; W5, head width; L1, length of head. Head malformations are shown as changes in size from control values for all the parameters, n = 70 (j–o). Two AcAL concentrations (1 µM and 5 µM) are shown (j, l and n). The size changes for EtOH and DEAB treated embryos are shown, n = 94 (k, m and o). P values - *p < 0.05; **p < 0.01; ***p < 0.001; ****p < 0.0001. |
|
|
Figure 4. Acetaldehyde competes for the human RALDH2. The effect of ethanol and its oxidation product, acetaldehyde, on hRALDH2 activity was studied in vivo. Embryos injected with plasmid encoding hRALDH2 or control embryos were treated with AcAL (5 µM), EtOH (0.5%), RAL (1 µM) or DEAB (20 µM), individually or in different combinations. Treatments were initiated during late blastula, and RNA samples were prepared during early/mid-gastrula. The effect of the combined treatments was determined by analyzing the response of the RA-regulated genes, HoxA1 (a,e,i, and m), HoxB4 (b,f,j and n), Cyp26A1 (c,g,k and o) and Dhrs3 (d,h,l and p) by qPCR. (a–d) Overexpression of hRALDH2 together with EtOH treatment. (e–h) AcAL treatment together with hRALDH2 overexpression. (i–l) Combined treatment with AcAL and RAL. (m–o) Combined treatment with DEAB and AcAL. n = 3, The values denote mean ± SEM. P values - *p < 0.05; **p < 0.01; ***p < 0.001; ****p < 0.0001; ns, not significant. |
|
|
Figure 5. Acetaldehyde inhibits the expression of organizer-specific genes. Embryos were treated with EtOH (0.5%) or AcAL (5 µM) alone or together with 4MP (1 mM) to inhibit the ADH activity. (a–f) In situ hybridization analysis of the effects of EtOH and AcAL treatments on gsc expression. (a) control, (b) EtOH, (c) AcAL, (d) 4MP, (e) EtOH + 4MP and (f) AcAL + 4MP treated embryos. (g) qPCR analysis of the effect of the same treatments on chordin expression. n = 3, The values denote mean ± SEM. P values - *p < 0.05; **p < 0.01; ns, not significant. |
|
|
Figure 6. Acetaldehyde inhibits RA production by human RALDH2. The effect of ethanol and its oxidation product, acetaldehyde, was studied in vitro using a recombinant hRALDH2. (a,b) Increasing concentrations of EtOH covering the physiological range and above were added to RAL oxidation reactions in vitro. The efficiency of RAL oxidation was compared to the control sample without EtOH. (a) Kinetic analysis of the AcAL titration to determine the linear range of the oxidation reaction. (b) The initial 270 seconds of the reaction with different AcAL concentrations are shown. (c) Michaelis-Menten plot of the AcAL oxidation reaction by hRALDH2. (d) Inhibition of RAL oxidation to RA by increasing of acetaldehyde concentrations. The production of RA was determined by HPLC. (e) hRALDH2 activity in the presence of increasing EtOH concentrations. (f) The effect of increasing acetate concentrations on the activity of hRALDH2. n = 3, P values - **p < 0.01; ***p < 0.001; ****p < 0.0001. |
|
|
RALDH2 is the main RA-producing enzyme in the gastrula embryo. (a) Temporal pattern of expression of Raldh1 (Aldh1A1), Raldh2 (Aldh1A2), Raldh3 (Aldh1A3) and Aldh2. RNA samples were collect from embryos from the 16-cell stage to neurula stages (st. 17). Expression levels were normalized to the 16-cell RNA amounts. (b) Relative transcript abundance during early/mid gastrula (st. 10.5). The relative expression of the different aldehyde dehydrogenases was calculated relative to the level of Raldh2. n = 3, The values denote mean ± SEM. P values - ****p < 0.0001. |
|
|
Figure 8. Biochemical competition between ethanol detoxification and retinoic acid biosynthesis. Schematic model of the enzymatic activities in humans involved in ethanol detoxification (left panels) and retinoic acid biosynthesis (right panels). The enzymes active in the mother are shown in the upper panel and the lower panel shows the enzymatic activities in the developing fetus. |
|
|
Figure 7. RALDH2 is the main RA-producing enzyme in the gastrula embryo. (a) Temporal pattern of expression of Raldh1 (Aldh1A1), Raldh2 (Aldh1A2), Raldh3 (Aldh1A3) and Aldh2. RNA samples were collect from embryos from the 16-cell stage to neurula stages (st. 17). Expression levels were normalized to the 16-cell RNA amounts. (b) Relative transcript abundance during early/mid gastrula (st. 10.5). The relative expression of the different aldehyde dehydrogenases was calculated relative to the level of Raldh2. nâ=â3, The values denote meanâ±âSEM. P values - ****pâ<â0.0001. |
References [+] :
Ang,
Stimulation of premature retinoic acid synthesis in Xenopus embryos following premature expression of aldehyde dehydrogenase ALDH1.
1999, Pubmed,
Xenbase
Ang, Stimulation of premature retinoic acid synthesis in Xenopus embryos following premature expression of aldehyde dehydrogenase ALDH1. 1999, Pubmed , Xenbase
Begemann, The zebrafish neckless mutation reveals a requirement for raldh2 in mesodermal signals that pattern the hindbrain. 2001, Pubmed
Belyaeva, Short chain dehydrogenase/reductase rdhe2 is a novel retinol dehydrogenase essential for frog embryonic development. 2012, Pubmed , Xenbase
Blakley, Determination of the proximate teratogen of the mouse fetal alcohol syndrome. 2. Pharmacokinetics of the placental transfer of ethanol and acetaldehyde. 1984, Pubmed
Boerman, Cellular retinol-binding protein-supported retinoic acid synthesis. Relative roles of microsomes and cytosol. 1996, Pubmed
Brecher, A perspective on acetaldehyde concentrations and toxicity in man and animals. 1997, Pubmed
Brooks, Acetaldehyde and the genome: beyond nuclear DNA adducts and carcinogenesis. 2014, Pubmed
Campo-Paysaa, Retinoic acid signaling in development: tissue-specific functions and evolutionary origins. 2008, Pubmed
Ceni, Pathogenesis of alcoholic liver disease: role of oxidative metabolism. 2014, Pubmed
Chen, Increased XRALDH2 activity has a posteriorizing effect on the central nervous system of Xenopus embryos. 2001, Pubmed , Xenbase
Chen, Retinoic acid is enriched in Hensen's node and is developmentally regulated in the early chicken embryo. 1992, Pubmed
Collins, 4-Methylpyrazole partially ameliorated the teratogenicity of retinol and reduced the metabolic formation of all-trans-retinoic acid in the mouse. 1992, Pubmed
Creech Kraft, Temporal distribution, localization and metabolism of all-trans-retinol, didehydroretinol and all-trans-retinal during Xenopus development. 1994, Pubmed , Xenbase
Cunningham, Mechanisms of retinoic acid signalling and its roles in organ and limb development. 2015, Pubmed
de la Monte, Human alcohol-related neuropathology. 2014, Pubmed
Deltour, Ethanol inhibition of retinoic acid synthesis as a potential mechanism for fetal alcohol syndrome. 1996, Pubmed
Dollé, Developmental expression of retinoic acid receptors (RARs). 2009, Pubmed , Xenbase
Duester, A hypothetical mechanism for fetal alcohol syndrome involving ethanol inhibition of retinoic acid synthesis at the alcohol dehydrogenase step. 1991, Pubmed
Edenberg, The genetics of alcohol metabolism: role of alcohol dehydrogenase and aldehyde dehydrogenase variants. 2007, Pubmed
Edenberg, Genetics and alcoholism. 2013, Pubmed
Elsea, Smith-Magenis syndrome: haploinsufficiency of RAI1 results in altered gene regulation in neurological and metabolic pathways. 2011, Pubmed
Epstein, Patterning of the embryo along the anterior-posterior axis: the role of the caudal genes. 1997, Pubmed , Xenbase
Farjo, RDH10 is the primary enzyme responsible for the first step of embryonic Vitamin A metabolism and retinoic acid synthesis. 2011, Pubmed
Frolik, Separation of the natural retinoids by high-pressure liquid chromatography. 1978, Pubmed
Godsave, Expression patterns of Hoxb genes in the Xenopus embryo suggest roles in anteroposterior specification of the hindbrain and in dorsoventral patterning of the mesoderm. 1994, Pubmed , Xenbase
Golzio, Matthew-Wood syndrome is caused by truncating mutations in the retinol-binding protein receptor gene STRA6. 2007, Pubmed
Grandel, Retinoic acid signalling in the zebrafish embryo is necessary during pre-segmentation stages to pattern the anterior-posterior axis of the CNS and to induce a pectoral fin bud. 2002, Pubmed
Greenfield, Two aldehyde dehydrogenases from human liver. Isolation via affinity chromatography and characterization of the isozymes. 1977, Pubmed
Grummer, The effect of maternal ethanol ingestion on fetal vitamin A in the rat. 1990, Pubmed
Guo, Alcohol and acetaldehyde in public health: from marvel to menace. 2010, Pubmed
Halvorson, Studies of whole blood-associated acetaldehyde levels in teetotalers. 1993, Pubmed
Hemmati-Brivanlou, Cephalic expression and molecular characterization of Xenopus En-2. 1991, Pubmed , Xenbase
Higuchi, Influence of genetic variations of ethanol-metabolizing enzymes on phenotypes of alcohol-related disorders. 2004, Pubmed
Hogan, Evidence that Hensen's node is a site of retinoic acid synthesis. 1992, Pubmed
Karl, Acetaldehyde production and transfer by the perfused human placental cotyledon. 1988, Pubmed
Klyosov, Possible role of liver cytosolic and mitochondrial aldehyde dehydrogenases in acetaldehyde metabolism. 1996, Pubmed
Koppaka, Aldehyde dehydrogenase inhibitors: a comprehensive review of the pharmacology, mechanism of action, substrate specificity, and clinical application. 2012, Pubmed
Koren, Fetal alcohol spectrum disorder. 2003, Pubmed
Kot-Leibovich, Ethanol induces embryonic malformations by competing for retinaldehyde dehydrogenase activity during vertebrate gastrulation. 2009, Pubmed , Xenbase
Kraft, The retinoid X receptor ligand, 9-cis-retinoic acid, is a potential regulator of early Xenopus development. 1994, Pubmed , Xenbase
Kumar, Alcohol and aldehyde dehydrogenases: retinoid metabolic effects in mouse knockout models. 2012, Pubmed
Leo, NAD+-dependent retinol dehydrogenase in liver microsomes. 1987, Pubmed
Livak, Analysis of relative gene expression data using real-time quantitative PCR and the 2(-Delta Delta C(T)) Method. 2001, Pubmed
Manning, Fetal alcohol spectrum disorders: a practical clinical approach to diagnosis. 2007, Pubmed
May, Prevalence and characteristics of fetal alcohol spectrum disorders. 2014, Pubmed
Mongan, Diverse actions of retinoid receptors in cancer prevention and treatment. 2007, Pubmed
Nakatsuji, Craniofacial malformation in Xenopus laevis tadpoles caused by the exposure of early embryos to ethanol. 1983, Pubmed , Xenbase
Napoli, Retinol metabolism in LLC-PK1 Cells. Characterization of retinoic acid synthesis by an established mammalian cell line. 1986, Pubmed
Niederreither, Embryonic retinoic acid synthesis is essential for early mouse post-implantation development. 1999, Pubmed
Niederreither, Restricted expression and retinoic acid-induced downregulation of the retinaldehyde dehydrogenase type 2 (RALDH-2) gene during mouse development. 1997, Pubmed
Niederreither, Retinoic acid in development: towards an integrated view. 2008, Pubmed
Nunez, Focus on: structural and functional brain abnormalities in fetal alcohol spectrum disorders. 2011, Pubmed
Parés, Medium- and short-chain dehydrogenase/reductase gene and protein families : Medium-chain and short-chain dehydrogenases/reductases in retinoid metabolism. 2008, Pubmed
Parker, The vertebrate Hox gene regulatory network for hindbrain segmentation: Evolution and diversification: Coupling of a Hox gene regulatory network to hindbrain segmentation is an ancient trait originating at the base of vertebrates. 2016, Pubmed
Penzes, Enzymatic characteristics of retinal dehydrogenase type I expressed in Escherichia coli. 1997, Pubmed
Popova, Comorbidity of fetal alcohol spectrum disorder: a systematic review and meta-analysis. 2016, Pubmed
Pullarkat, Hypothesis: prenatal ethanol-induced birth defects and retinoic acid. 1991, Pubmed
Rahman, Uncompetitive inhibition of Xenopus laevis aldehyde dehydrogenase 1A1 by divalent cations. 2006, Pubmed , Xenbase
Ramchandani, Research advances in ethanol metabolism. 2001, Pubmed
Rosman, Disulfiram treatment increases plasma and red blood cell acetaldehyde in abstinent alcoholics. 2000, Pubmed
Russo, Inhibition of mouse cytosolic aldehyde dehydrogenase by 4-(diethylamino)benzaldehyde. 1988, Pubmed
Sandell, RDH10 oxidation of Vitamin A is a critical control step in synthesis of retinoic acid during mouse embryogenesis. 2012, Pubmed
Sapkota, Alcohol, Aldehydes, Adducts and Airways. 2015, Pubmed
See, A nutritional model of late embryonic vitamin A deficiency produces defects in organogenesis at a high penetrance and reveals new roles for the vitamin in skeletal development. 2008, Pubmed
Seitz, Alcohol and cancer: an overview with special emphasis on the role of acetaldehyde and cytochrome P450 2E1. 2015, Pubmed
Shabtai, Kinetic characterization and regulation of the human retinaldehyde dehydrogenase 2 enzyme during production of retinoic acid. 2016, Pubmed
Singh, Acetaldehyde and retinaldehyde-metabolizing enzymes in colon and pancreatic cancers. 2015, Pubmed
Sirbu, Shifting boundaries of retinoic acid activity control hindbrain segmental gene expression. 2005, Pubmed
Sokol, Fetal alcohol spectrum disorder. 2003, Pubmed
Strate, Retinol dehydrogenase 10 is a feedback regulator of retinoic acid signalling during axis formation and patterning of the central nervous system. 2009, Pubmed , Xenbase
Tsukamoto, Determinations of ethanol, acetaldehyde and acetate in blood and urine during alcohol oxidation in man. 1989, Pubmed
Vermot, Decreased embryonic retinoic acid synthesis results in a DiGeorge syndrome phenotype in newborn mice. 2003, Pubmed
Wang, Cloning of a cDNA encoding an aldehyde dehydrogenase and its expression in Escherichia coli. Recognition of retinal as substrate. 1996, Pubmed
Yelin, Ethanol exposure affects gene expression in the embryonic organizer and reduces retinoic acid levels. 2005, Pubmed , Xenbase
Yin, Acetaldehyde, polymorphisms and the cardiovascular system. 2007, Pubmed
