XB-ART-55571
Nat Commun
2018 Mar 28;91:1255. doi: 10.1038/s41467-018-03603-3.
Show Gene links
Show Anatomy links
Opn5L1 is a retinal receptor that behaves as a reverse and self-regenerating photoreceptor.
Sato K, Yamashita T, Ohuchi H, Takeuchi A, Gotoh H, Ono K, Mizuno M, Mizutani Y, Tomonari S, Sakai K, Imamoto Y, Wada A, Shichida Y.
???displayArticle.abstract???
Most opsins are G protein-coupled receptors that utilize retinal both as a ligand and as a chromophore. Opsins' main established mechanism is light-triggered activation through retinal 11-cis-to-all-trans photoisomerization. Here we report a vertebrate non-visual opsin that functions as a Gi-coupled retinal receptor that is deactivated by light and can thermally self-regenerate. This opsin, Opn5L1, binds exclusively to all-trans-retinal. More interestingly, the light-induced deactivation through retinal trans-to-cis isomerization is followed by formation of a covalent adduct between retinal and a nearby cysteine, which breaks the retinal-conjugated double bond system, probably at the C11 position, resulting in thermal re-isomerization to all-trans-retinal. Thus, Opn5L1 acts as a reverse photoreceptor. We conclude that, like vertebrate rhodopsin, Opn5L1 is a unidirectional optical switch optimized from an ancestral bidirectional optical switch, such as invertebrate rhodopsin, to increase the S/N ratio of the signal transduction, although the direction of optimization is opposite to that of vertebrate rhodopsin.
???displayArticle.pubmedLink??? 29593298
???displayArticle.pmcLink??? PMC5871776
???displayArticle.link??? Nat Commun
Species referenced: Xenopus
Genes referenced: opn5 prl.2 rho zic1
???attribute.lit??? ???displayArticles.show???
|
|
Fig. 1. Molecular characteristics of Opn5L1. a, b Absorption spectra (a) and HPLC patterns of retinal chromophore (b) of Opn5L1NC purified after incubation with 11-cis- (black) or all-trans-retinal (red). The spectra were recorded at 10 °C. c G protein activation ability of Opn5L1N before (black) and after (red) irradiation with >500 nm light for 2 min. d, e Absorption spectra (d), and HPLC patterns of retinal chromophore (e) of Opn5L1NC before (black) and after (red) irradiation with >500 nm light for 2 min. The spectra were recorded at 10 °C. f Absorption spectra before (Dark) and 0.0015, 0.017, 0.05, 0.16, and 2.1 s (curves 1−5, respectively) after flash irradiation with >500 nm light at 37 °C. g The absorbance at 495 nm (black circles) and 270 nm (red triangles) plotted against the time after flash irradiation. The time profiles were fitted by single exponential functions y = y0 − b × exp(−t/τ) with the same time constant (solid curves, y = 0.0059 − 0.054 × exp(t/0.089) for 495 nm, and y = 0.167 – 0.017 × exp(t/0.089) for 270 nm, τ = 0.089 s). h Absorption spectra before (Dark) and 0, 11, 32, 92, 447, and 557 min (curves 1−6, respectively) after irradiation with >500 nm light for 2 min at 37 °C. (inset) The absorbance at 510 nm plotted against the time after irradiation (black circles). The data were fitted by single exponential function y = y0 − b × exp(−t/τ) (solid curve, y = 0.029 – 0.026 × exp(t/10500), τ = 1.1×104 s). i HPLC patterns of retinaloximes extracted before (black) and 2 min (red) or 11 h (cyan) after light irradiation. j Recovery of G protein activation efficiency of Opn5L1N after light irradiation. G protein activation efficiencies estimated with (red squares) and without (black circles) additional light irradiation were plotted against incubation time. Data points represent mean values ± s.d. (n = 3). Kinetics of the increase of G protein activation efficiency were fitted by a single exponential function (broken line) with a time constant of 7.5×103 s |
|
|
Fig. 2. Retinal configurations in the intermediates produced by irradiation of Opn5L1 at −72 °C. a HPLC patterns of the retinaloximes extracted from non-irradiated Opn5L1NC sample (black), cooled at −72 °C in an ethanol/dry ice bath and irradiated with >500 nm light for 1 min (magenta), and subsequent incubation at 0 °C for 30 min (green). b Calculated compositions of retinal isomers in the samples based on each peak area in the chromatogram from a and the extinction coefficients previously reported55. Compositions of the retinal isomers of the dark sample (black in a) were 5.50 and 94.5% for the 13-cis and all-trans, respectively. Those of the sample after >500 nm light irradiation for 1 min and extraction at −72 °C (magenta in a) were 4.86, 45.0, 15.0, and 31.3% for the 13-cis, all-trans, 9-cis and 11-cis, respectively. Those of the sample after >500 nm light irradiation for 1 min at −72 °C, followed by extraction after incubation at 0 °C for 30 min (green in a) were 4.88, 46.1, 14.5, and 1.19% for the 13-cis, all-trans, 9-cis and 11-cis, respectively. c Reaction scheme of the chromophore of Opn5L1NC under irradiation with >500 nm light at −72 °C. It should be noted that only the 11-cis isomer was not extracted after incubation of the irradiated sample at 0 °C |
|
|
Fig. 3. Amino acid residue responsible for the 270-nm product. a Absorption spectra of Opn5L1NC C188T mutant before (black) and after (red) >500 nm light irradiation for 2 min at 10 °C. Irradiation caused the formation of a 500-nm product, but the 270-nm product was not formed. b HPLC patterns of the retinal oximes extracted from Opn5L1NC C188T mutant before (black) and after (red) >500 nm light irradiation for 2 min. 11-cis-retinal oxime can be extracted from the irradiated pigment. c Reaction scheme of WT Opn5L1NC and its C188T mutant. The WT Opn5L1NC is converted to the 500-nm intermediate by trans-to-cis photoisomerization of the chromophore, followed by formation of the stable 270-nm product, while the C188T mutant is photo-converted to an intermediate similar to the 500-nm intermediate of WT, but this intermediate is stable even at 10 °C |
|
|
Fig. 4. Detection of retinal-thio adduct formation in light-irradiated Opn5L1 by LC-MS. a Action of hydroxylamine on retinal-thio adduct in Opn5L1. In this figure, we show that C11 is the site of adduction of the retinal chromophore to C188. b Amino acid sequences of fragments containing C188 in Opn5L1NC and Opn5L1NC E177K/Q192K mutant. Structure of the expected peptide (after light irradiation in the presence of hydroxylamine, breakdown of disulfide bond between C110 and C187, carbamidomethylation of free cysteine, and tryptic digestion) is shown below. Amino acids are numbered based on the bovine rhodopsin numbering system. Numbers shown in parentheses are according to BallesterosâWeinstein numbering. Asterisk indicates carbamidomethylation. c Mass spectrum recorded at the retention time of 12.15âmin, peak time of m/zâ=â1045.984â±â0.05 corresponding to isotopic m/z of [Mâ+â2H]2+ of the peptide YGEEPYGTAC*C(retinaloxime)IDWK. The mass signals of [Mâ+â2H]2+ and [Mâ+â3H]3+ ions of YGEEPYGTAC*C(retinaloxime)IDWK are indicated. d, e Enlarged view of the mass signals of [Mâ+â3H]3+ (d) and [Mâ+â2H]2+ (e) from c, respectively. f, g LC-MS profiles of m/zâ=â697.659â±â0.05 (f) and 1045.984â±â0.05 (g) corresponding to isotopic m/z of [Mâ+â3H]3+ and [Mâ+â2H]2+ of the peptide YGEEPYGTAC*C(retinaloxime)IDWK, respectively. The traces obtained from the light-irradiated (red) and the dark-adapted (black) samples are shown |
|
|
Fig. 5. Distribution of Opn5L1 mRNA in chicken brain and retina. a Schematic drawings of chicken brain to show the approximate positions of frontal sections. Numbered lines in sagittal drawing indicate the positions of frontal sections numbered 1 and 2. Magenta boxes show the areas of panels bâg. bâg Opn5L1 mRNA in the chicken brain. Sections were hybridized with Opn5L1 antisense (b, d, f) and sense (c, e, g) probes. Panels (c), (e), and (g) show the tissue sections consecutive to (b), (d), and (f), respectively. h, i Opn5L1 mRNA in the chicken retina. Sections were hybridized with Opn5L1 antisense (h) and sense (i) probes. All the sections were counterstained with Nuclear Fast Red. Scale bars: bâg 300âμm; h, i 50âμm. Lv lateral ventricle, H hyperpallium, M mesopallium, Hp hippocampus, NI intermediate nidopallium, 3v third ventricle, PVN paraventricular nucleus, RPE retinal pigment epithelium, PRL photoreceptor layer, ONL outer nuclear layer, OPL outer plexiform layer, INL inner nuclear layer, IPL inner plexiform layer, GCL ganglion cell layer |
|
|
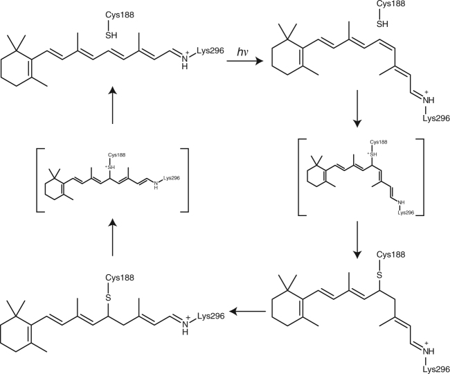
Fig. 6. Chromophore structural changes in the photocycle of Opn5L1. Opn5L1 has all-trans-retinal as a chromophore, near which cysteine residue at position 188 (Cys188) is situated (top left). Light causes all-trans-to-11-cis isomerization of the chromophore (top right). The isomerization is followed by adduct formation between the chromophore and the thiol group of Cys188, resulting in conversion of C11=C12 double bond to a single bond in the chromophore (bottom right). As the C11−C12 single bond is thermally rotated, adduct dissociation occurs when the C11−C12 bond is in a trans conformation (bottom left). Subsequent reformation of the all-trans-retinal chromophore recovers the original state of Opn5L1 (top left) |
|
|
Fig. 7. A possible scenario of evolution of forward and reverse photoreceptors from an ancestral bistable opsin. a Phylogenetic view of opsin family and photochemical properties of the groups in the family. As many members in most of the groups show the bistable nature, such bistability should be an ancestral type of the photochemistry of opsins. b Schematic view of possible evolutionary branching into forward and reverse photoreceptors. Loss of ability to directly bind all-trans-retinal and undergo its trans-cis photoisomerization produced forward photoreceptors. On the other hand, reverse photoreceptors lost the ability to bind 11-cis-retinal along with the ability to undergo the photo-conversion reaction from the inactive state to active state |
References [+] :
Ablonczy,
11-cis-retinal reduces constitutive opsin phosphorylation and improves quantum catch in retinoid-deficient mouse rod photoreceptors.
2002, Pubmed
Ablonczy, 11-cis-retinal reduces constitutive opsin phosphorylation and improves quantum catch in retinoid-deficient mouse rod photoreceptors. 2002, Pubmed
Akagawa, Peptide-catalyzed consecutive 1,6- and 1,4-additions of thiols to α,β,γ,δ-unsaturated aldehydes. 2014, Pubmed
Brueggemann, HEK293S cells have functional retinoid processing machinery. 2002, Pubmed
Buhr, Neuropsin (OPN5)-mediated photoentrainment of local circadian oscillators in mammalian retina and cornea. 2015, Pubmed
Dartnall, The photosensitivities of visual pigments in the presence of hydroxylamine. 1968, Pubmed
Davies, An extended family of novel vertebrate photopigments is widely expressed and displays a diversity of function. 2015, Pubmed
Dixon, Quantum efficiencies of the reversible photoreaction of octopus rhodopsin. 1987, Pubmed
Do, Photon capture and signalling by melanopsin retinal ganglion cells. 2009, Pubmed
Ernst, Microbial and animal rhodopsins: structures, functions, and molecular mechanisms. 2014, Pubmed
Fain, Phototransduction and the evolution of photoreceptors. 2010, Pubmed
Futterman, The catalytic isomerization of all-trans-retinal to 9-cis-retinal and 13-cis-retinal. 1973, Pubmed
Gawinowicz, A nonbleachable rhodopsin analogue formed from 11, 12-dihydroretinal. 1977, Pubmed
Groenendijk, Dark isomerization of retinals in the presence of phosphatidylethanolamine. 1980, Pubmed
Itoh, Structural basis for the activation of PPARgamma by oxidized fatty acids. 2008, Pubmed
Kane, HPLC/UV quantitation of retinal, retinol, and retinyl esters in serum and tissues. 2008, Pubmed
Kim, Wavelength dependent cis-trans isomerization in vision. 2001, Pubmed
Kiss, Hypothalamic paraventricular nucleus: a quantitative analysis of cytoarchitectonic subdivisions in the rat. 1991, Pubmed
Kojima, Molecular properties of chimerical mutants of gecko blue and bovine rhodopsin. 1996, Pubmed
Kojima, UV-sensitive photoreceptor protein OPN5 in humans and mice. 2011, Pubmed
Koyanagi, Bistable UV pigment in the lamprey pineal. 2004, Pubmed
MacKenzie, Localization of binding sites for carboxyl terminal specific anti-rhodopsin monoclonal antibodies using synthetic peptides. 1984, Pubmed
Marigo, Enantioselective organocatalyzed alpha sulfenylation of aldehydes. 2005, Pubmed
Matsuyama, Photochemical properties of mammalian melanopsin. 2012, Pubmed
Nakane, A mammalian neural tissue opsin (Opsin 5) is a deep brain photoreceptor in birds. 2010, Pubmed , Xenbase
Nathans, Determinants of visual pigment absorbance: identification of the retinylidene Schiff's base counterion in bovine rhodopsin. 1990, Pubmed
Ohuchi, A non-mammalian type opsin 5 functions dually in the photoreceptive and non-photoreceptive organs of birds. 2012, Pubmed
Onishi, Dichromatism in macaque monkeys. 1999, Pubmed
Porter, Shedding new light on opsin evolution. 2012, Pubmed
Pugh, Amplification and kinetics of the activation steps in phototransduction. 1993, Pubmed
Ritter, Transition of rhodopsin into the active metarhodopsin II state opens a new light-induced pathway linked to Schiff base isomerization. 2004, Pubmed
Sakmar, Glutamic acid-113 serves as the retinylidene Schiff base counterion in bovine rhodopsin. 1989, Pubmed
Sato, Two UV-Sensitive Photoreceptor Proteins, Opn5m and Opn5m2 in Ray-Finned Fish with Distinct Molecular Properties and Broad Distribution in the Retina and Brain. 2016, Pubmed
Shichida, Evolution of opsins and phototransduction. 2009, Pubmed
Stryer, Cyclic GMP cascade of vision. 1986, Pubmed
Swartz, The photocycle of a flavin-binding domain of the blue light photoreceptor phototropin. 2001, Pubmed
Tanaka, Mass++: A Visualization and Analysis Tool for Mass Spectrometry. 2014, Pubmed
Tarttelin, Neuropsin (Opn5): a novel opsin identified in mammalian neural tissue. 2003, Pubmed
Terakita, The opsins. 2005, Pubmed
Terakita, Counterion displacement in the molecular evolution of the rhodopsin family. 2004, Pubmed
Tian, Aminocatalytic enantioselective 1,6 additions of alkyl thiols to cyclic dienones: vinylogous iminium ion activation. 2012, Pubmed
Tomonari, Expression patterns of the opsin 5-related genes in the developing chicken retina. 2008, Pubmed
Tsuda, Light isomerizes the chromophore of bacteriorhodopsin. 1980, Pubmed
Tsukamoto, Diversity and functional properties of bistable pigments. 2010, Pubmed
Tsukamoto, A rhodopsin exhibiting binding ability to agonist all-trans-retinal. 2005, Pubmed
Tsutsui, Photoisomerization efficiency in UV-absorbing visual pigments: protein-directed isomerization of an unprotonated retinal Schiff base. 2007, Pubmed
Wald, The molecular basis of visual excitation. 1968, Pubmed
WALD, The molar extinction of rhodopsin. 1953, Pubmed
Yamashita, Evolution of mammalian Opn5 as a specialized UV-absorbing pigment by a single amino acid mutation. 2014, Pubmed , Xenbase
Yamashita, Opn5 is a UV-sensitive bistable pigment that couples with Gi subtype of G protein. 2010, Pubmed
Zhu, Photoadduct Formation from the FMN Singlet Excited State in the LOV2 Domain of Chlamydomonas reinhardtii Phototropin. 2016, Pubmed
Ziouzenkova, Retinaldehyde represses adipogenesis and diet-induced obesity. 2007, Pubmed
