|
Figure 1. Identification of EFTFs associated with the RISC in the eye field. (a) Construct used for rax1AâmycâAGO transgenesis. (b) QâRTâPCR of AGOâRNPâassociated RNA obtained from raxâAGO transgenic embryos (red; n = 3 independent experiments) and embryos injected with mycâAgo RNA injected into the dorsal animal blastomeres (blue; n = 4 independent experiments). Values are presented as fold abundance relative to coimmunoprecipitations from embryos that do not express mycâAGO, to provide a control for nonspecific binding of RNA. Values represent meanâ±âS.E.M. AGO, Argonaute; EFTFs, eye field transcription factors; QâRTâPCR, quantitative reverseâtranscriptaseâpolymerase chain reaction |
|
Figure 2. Expression of miRâ199aâ3p during early development. In situ hybridizations were carried out using an LNA probe to evaluate expression of mirâ199 within the eye field. (a) Vegetal view of miRâ199 expression in the circumblastoporal region at st. 11. (bâd) Dorsal, lateral, and frontal views showing expression of miRâ199 at st. 18. (e) Frontal view of miRâ199 expression at st. 23; arrows in (d) and (e) indicate expression in eyeâforming regions. (f, g â boxed) Frontal and dorsal views of st. 18 embryos that have been hybridized in situ with a control LNA probe. All scale bars approximately 250âμm. In situ hybridizations were carried out on embryos from three independent clutches. LNA, Locked nucleic acid |
|
Figure 3. Overexpression of miRâ199 leads to defects in eye development. Unilateral (aâi) or bilateral (j) injections of miRâ199 were carried out to evaluate the effects of miRâ199 overexpression on eye phenotype and EFTF expression. (aâc) Embryo injected with miRâ199aâ3p in two left anterior dorsal blastomeres at the 16âcell stage. Eye on injected side (a) is smaller than the eye on the uninjected side (b,c), and shows a coloboma. Injected sides are marked with asterisks. (dâh) In situ hybridizations of selected EFTFs (rax, optx2, tbx3, pax6), and otx2. With the exception of pax6 (h), all show restricted expression on the injected side. Scale bars approximately 200âμm. (i) Frequencies of small eye and coloboma phenotypes; n = 48 embryos from eight independent experiments. (j) QâRTâPCR showing expression of EFTFs and otx2 in embryos following targeted overexpression of miRâ199 or MTTâ199. Embryos were injected at the 8âcell stage as described and collected for RNA isolation and analysis at st. 18 (N = 3 independent experiments; *pâ<â.05; unpaired Student's t test). EFTFs, eye field transcription factors; QâRTâPCR, quantitative reverseâtranscriptaseâpolymerase chain reaction |
|
|
|
Figure 5. Validation of interactions between the rax1A 3â²UTR and miRâ199aâ3p. Luciferase âsensorâ constructs carrying the rax1a 3â²UTR were used to evaluate the sensitivity of the rax 3â²UTR to miRâ199 gainâ and lossâofâfunction. (a) Luciferase assay of embryos injected with either the wild type (lucâraxâ3â²UTR, left) or mutant (lucâraxâMUT, right) luciferase constructs (b), in combination with either the wild type miRâ199 sequence (miRâ199) or a mutant sequence carrying four reversed bases within the seedâbinding sequence (MTTâ199). For both the wild type and the mutant 3â²UTR construct, the results for the miRâ199 overexpression are normalized to those of the sample containing MTTâ199. (N = 5 independent experiments; *pâ<â.05; unpaired Student's t test for all panels shown). (b) Comparison of the putative miRâ199 sequences for the lucâraxâ3â²UTR and the lucâraxâMUT constructs. The âseed sequenceâ is underlined. Four bases within the seed sequence are reversed in the MUT construct, and these changes are complementary to the mutations in MTTâ199. (c) Luciferase assay of embryos injected with the lucâraxâ3â²UTR construct in combination with a LNA oligonucleotide inhibitor of miRâ199 (LNAâ199) or a control LNA sequence (ctrl LNA). (N = 5 independent experiments; **pâ<â.01). (D) Luciferase assay of embryos injected with the lucâraxâ3â²UTR construct and a TPMO complementary to the predicted miRâ199 binding sequence within the rax 3â²UTR. (N = 4 independent experiments; *pâ<â.05). (e) To evaluate the significance of interactions between miRâ199 and the rax 3â²UTR, targeted injections were carried out with the either wild type or mutant forms of miRâ199 in the presence of either the TPMO or a 5âbase mispair MO (TPMM). Embryos were scored for the small eye phenotype. (N = 363 embryos across nine independent experiments). LNA, locked nucleic acid; TPMO, âtarget protectorâ morpholino oligonucleotide |
|
Figure 6. miRâ199 knockdown leads to defects in eye development. (a) Phenotypes of embryos injected with the LNA oligonucleotide inhibitor of miRâ199 (LNAâ199). An embryo injected with a control LNA sequence (ctrl LNA) is shown in (i); (ii)â(v) show the range of phenotypes resulting from LNAâmediated knockdown of miRâ199. Scale bar, 250âμm. The percentages showing each phenotype are indicated. (N = 76 embryos across seven independent experiments). (b and c) Neural tubes isolated at st. 24 from embryos injected unilaterally with either the control (b) or the miRâ199 (c) LNA oligonucleotide. The injected side is marked with an asterisk. Scale bar, 250âμm. (N = 4 independent experiments). (d) Quantitative RTâPCR showing expression of EFTFs and otx2 in st. 18 embryos following targeted knockdown of miRâ199. Values shown represent the meanâ±âS.E.M. of the fold difference between embryos injected with LNAâ199 and the control LNA. (N = 3 independent experiments; *pâ>â.05; **pâ>â.01; unpaired Student's t test). (eâg) In situ hybridization to show expression of the EFTFs rax (e), optx2 (f), and pax6 (g) in embryos injected unilaterally with LNAâ199. The injected side is marked with an asterisk. Scale bars, 100âμm. EFTFs, eye field transcription factors; LNA, locked nucleic acid |
|
Figure 7. Identification and testing of miRâ199 candidate target genes. (a) Model of miRâ199 function as a positive regulator of eye development, and criteria for identifying relevant candidates among predicted miRâ199 targets. (B) QâRTâPCR to evaluate the effects of miRâ199 knockdown on expression of relevant candidate targets of miRâ199. LNAâ199 or the control LNA were introduced by targeted injection, injected embryos were cultured until st. 18, and collected for RNA isolation and QâRTâPCR. Values represent the meanâ±âS.E.M of the fold difference relative to controls. N = 4 independent experiments, *pâ<â.05; unpaired Student's t test. QâRTâPCR, quantitative reverseâtranscriptaseâpolymerase chain reaction; LNA, locked nucleic acid |
|
Figure 8. Overexpression of ptk7 inhibits eye development. (a) Representation of predicted miRâ199 binding sites on ptk7 3â²UTR. Red bar indicates strongest predicted target sequence. Blue arrows indicate the portion of 3â²UTR cloned into the pmiRglo (PMG) plasmid for luciferase assays. (b) Embryos were prepared by bilateral targeted injections (50âpg plasmid +1.5â2 μg LNA) and collected at stage 24 for luciferase assay. (N = 4 independent experiments, *pâ<â.05; unpaired Student's t test). Values represent meanâ±âS.E.M. (c) Representative images of St 35 tail bud embryos after ptk7 overexpression. Embryos were injected in both dorsal animal blastomeres at the 8âcell stage with 1.5â2 μg/embryo of mRNA encoding ptk7 or βâgalactosidase. Panel (i) shows results of βâgalactosidase control targeted overexpression at St 35 showing a typical eye. Panels (iiâix) show the range of phenotypes observed, from the normal phenotype in (ii) to the absence of eye formation observed in panels (viiiâix). Scale bar indicates 500âμm. (D) Quantitative representation of targeted ptk7 overexpression phenotypes from four independent experiments. Ptk7âoverexpressing embryos (n = 43) exhibit a normal eye phenotype in 22% of the population (panel ii) as compared to 91% in uninjected embryos (n = 142) and 72% in βâgalactosidase injected embryos (n = 57.) In the remainder of the embryos overexpressing ptk7, 46% exhibit a small eye (panels vâvii in c), 23% are characterized by a coloboma (panels iiiâv in c), and 9% show a loss of eye formation (panels viiiâix in c). (e) The percentage of normal eyes in each population is significantly different between ptk7âoverexpressing embryos and βâgalactosidaseâoverexpressing embryos. (**pââ¥â.001; unpaired Student's t test). Significance was calculated in R based on the percentage of normal eyes for each population for all biological replicates using ANOVA in conjunction with Tukey's HSD analysis set at a 95% confidence level) |
|
Figure 9. Roles for miRâ199 in eye development. The microRNA miRâ199 targets rax during neurula stages, contributing to the regulation of eye field specification and cell proliferation. It also targets ptk7, which negatively regulates morphogenesis of the optic cup. Purple shaded areas indicate regions affected by mirâ199 expression through either rax (left) or ptk7 (right) |
|
|
|
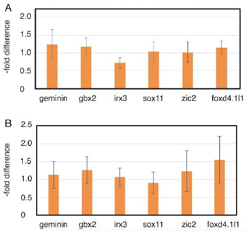
Figure S2 Expression of nontargeted neural transcription factors following gainâ or lossâofâfunction of miRâ199. Quantitative reverseâtranscriptaseâpolymerase chain reaction of several neural transcription factors (geminin, gbx2.1, irx3, sox11, zic2, and foxd4l1.1) following overexpression (a) or knockdown (b) of miR199. These genes were selected because they (a) are transcription factors expressed in neural ectoderm (as opposed to the eye field); and (b) they do not possess highâconfidence target sites for miRâ199 in their 3â²UTRs. Embryos were subjected to targeted injection of either miRâ199 (a) or LNAâ199 (b) with corresponding controls (MTTâ199 or control LNA) as described previously, and lysed at st. 18. No significant changes in gene expression were observed in the expression of these genes following either overexpression (a) or knockdown (b) of miRâ199. (a) n = 6 independent experiments; (B) n = 4 independent experiments. Results are presented as fold difference relative to controls; pâ>â.05 for all genes tested. |
|
Figure S3 Gainâ or lossâofâfunction for miRâ199 yield morphologically distinct phenotypes. Sections through unilaterally injected embryos reveal differences between the eye phenotypes produced by targeted overexpression of miRâ199 (a), a control LNA (b), or LNAâ199 (c). Embryos were injected in two neighboring dorsal animal blastomeres at the 16âcell stage; asterisk indicates the injected side. Although overexpression of miRâ199 usually leads to a reduction in eye size, the optic cup forms normally and is fully separate from the neural tube (a). Introduction of LNAâ199 disrupts optic cup morphogenesis with varying degrees of severity; here (c), the optic tissue is continuous with the lateral forebrain. |