Click here to close Hello! We notice that you are using Internet Explorer, which is not supported by Xenbase and may cause the site to display incorrectly. We suggest using a current version of Chrome, FireFox, or Safari.
XB-ART-57697
Toxicol Rep 2020 Dec 24;8:38-43. doi: 10.1016/j.toxrep.2020.12.009.
Show Gene links Show Anatomy links

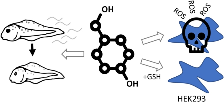
4-Methylcyclohexane methanol (MCHM) affects viability, development, and movement of Xenopus embryos.

Perfetto M, Kirkham SG, Ayers MC, Wei S, Gallagher JEG.


???displayArticle.abstract???
Following chemical spill disasters, it is important to estimate the effects of spilled chemicals on humans and the environment. Here we analyzed the toxicological effects of the coal cleaning chemical, 4-methylcyclohexane methanol (MCHM), which was spilled into the Elk River water supply in 2014. The viability of HEK293 T human cell line cultures and Xenopus tropicalis embryos was negatively affected, and the addition of the antioxidants alleviated toxicity with MCHM exposure. Additionally, X. tropicalis embryos suffered developmental defects as well as reversible non-responsiveness and melanization defects. The impact MCHM has on HEK293 T cells and X. tropicalis points to the importance of continued follow-up studies of this chemical.

???displayArticle.pubmedLink??? 33391995
???displayArticle.pmcLink??? PMC7772722
???displayArticle.link??? Toxicol Rep
???displayArticle.grants??? [+]

Species referenced: Xenopus tropicalis
Genes referenced: snai2

Phenotypes: Xtr Wt + Benzocaine(Fig. 2B) [+]

???attribute.lit??? ???displayArticles.show???
References [+] :
Ayer, Cellular redox homeostasis, reactive oxygen species and replicative ageing in Saccharomyces cerevisiae. 2014, Pubmed