Click here to close Hello! We notice that you are using Internet Explorer, which is not supported by Xenbase and may cause the site to display incorrectly. We suggest using a current version of Chrome, FireFox, or Safari.
XB-ART-57914
Dev Biol 2020 Nov 01;4671-2:39-50. doi: 10.1016/j.ydbio.2020.08.013.
Show Gene links Show Anatomy links

Mcrs1 interacts with Six1 to influence early craniofacial and otic development.

Neilson KM, Keer S, Bousquet N, Macrorie O, Majumdar HD, Kenyon KL, Alfandari D, Moody SA.


???displayArticle.abstract???
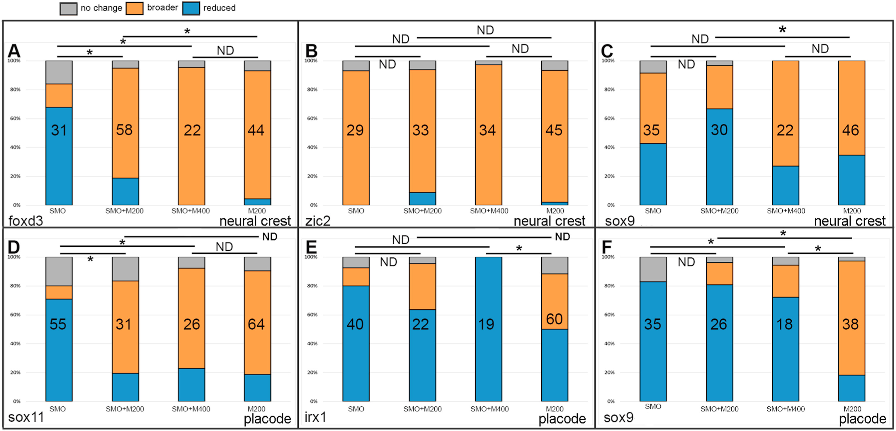
The Six1 transcription factor plays a major role in craniofacial development. Mutations in SIX1 and its co-factor, EYA1, are causative for about 50% of Branchio-otic/Branchio-oto-renal syndrome (BOR) patients, who are characterized by variable craniofacial, otic and renal malformations. We previously screened for other proteins that might interact with Six1 to identify additional genes that may play a role in BOR, and herein characterize the developmental role of one of them, Microspherule protein 1 (Mcrs1). We found that in cultured cells, Mcrs1 bound to Six1 and in both cultured cells and embryonic ectoderm reduced Six1-Eya1 transcriptional activation. Knock-down of Mcrs1 in embryos caused an expansion of the domains of neural plate genes and two genes expressed in both the neural plate and neural crest (zic1, zic2). In contrast, two other genes expressed in pre-migratory neural crest (foxd3, sox9) were primarily reduced. Cranial placode genes showed a mixture of expanded and diminished expression domains. At larval stages, loss of Mcrs1 resulted in a significant reduction of otic vesicle gene expression concomitant with a smaller otic vesicle volume. Experimentally increasing Mcrs1 above endogenous levels favored the expansion of neural border and neural crest gene domains over cranial placode genes; it also reduced otic vesicle gene expression but not otic vesicle volume. Co-expression of Mcrs1 and Six1 as well as double knock-down and rescue experiments establish a functional interaction between Mcrs1 and Six1 in the embryo, and demonstrate that this interaction has an important role in the development of craniofacial tissues including the otic vesicle.

???displayArticle.pubmedLink??? 32891623
???displayArticle.pmcLink??? PMC8106806
???displayArticle.link??? Dev Biol
???displayArticle.grants??? [+]

Species referenced: Xenopus laevis
Genes referenced: cdca8 eya1 foxd3 irx1 mcrs1 msx1 myc pax3 prl rpn1 six1 sox11 sox2 sox9 tfap2a zic1 zic2
???displayArticle.morpholinos??? mcrs1 MO1 mcrs1 MO2 mcrs1 MO3 mcrs1 MO4 six1 MO1 six1 MO2

???displayArticle.disOnts??? branchiootic syndrome [+]
???displayArticle.omims??? BRANCHIOOTORENAL SYNDROME 1; BOR1 [+]
Phenotypes: Xla Wt + mcrs1(Fig. 2 C, Sup. Fig. 2 A C) [+]

???attribute.lit??? ???displayArticles.show???
References [+] :
Andersen, Drosophila MCRS2 associates with RNA polymerase II complexes to regulate transcription. 2010, Pubmed