Click here to close Hello! We notice that you are using Internet Explorer, which is not supported by Xenbase and may cause the site to display incorrectly. We suggest using a current version of Chrome, FireFox, or Safari.
XB-ART-57926
Elife 2021 Mar 16;10. doi: 10.7554/eLife.62167.
Show Gene links Show Anatomy links

Microglial trogocytosis and the complement system regulate axonal pruning in vivo.

Lim TK, Ruthazer ES.


???displayArticle.abstract???
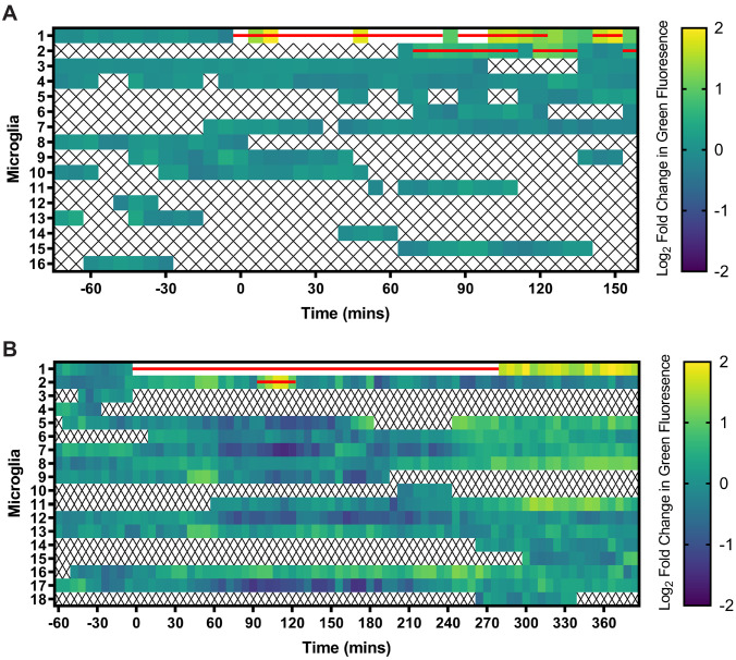
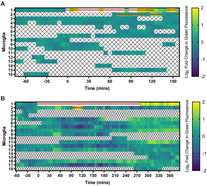
Partial phagocytosis-called trogocytosis-of axons by microglia has been documented in ex vivo preparations but has not been directly observed in vivo. The mechanisms that modulate microglial trogocytosis of axons and its function in neural circuit development remain poorly understood. Here, we directly observe axon trogocytosis by microglia in vivo in the developing Xenopus laevis retinotectal circuit. We show that microglia regulate pruning of retinal ganglion cell axons and are important for proper behavioral response to dark and bright looming stimuli. Using bioinformatics, we identify amphibian regulator of complement activation 3, a homolog of human CD46, as a neuronally expressed synapse-associated complement inhibitory molecule that inhibits trogocytosis and axonal pruning. Using a membrane-bound complement C3 fusion protein, we demonstrate that enhancing complement activity enhances axonal pruning. Our results support the model that microglia remodel axons via trogocytosis and that neurons can control this process through expression of complement inhibitory proteins.

???displayArticle.pubmedLink??? 33724186
???displayArticle.pmcLink??? PMC7963485
???displayArticle.link??? Elife
???displayArticle.grants??? [+]

Species referenced: Xenopus laevis
Genes referenced: c3 csf1r polr2a prune1 syp vamp2
GO keywords: phagocytosis [+]


???attribute.lit??? ???displayArticles.show???
References [+] :
Ahmari, Assembly of presynaptic active zones from cytoplasmic transport packets. 2000, Pubmed