XB-ART-58208
iScience
2021 Jun 25;246:102520. doi: 10.1016/j.isci.2021.102520.
Show Gene links
Show Anatomy links
Pinhead antagonizes Admp to promote notochord formation.
Itoh K, Ossipova O, Sokol SY.
???displayArticle.abstract???
Dorsoventral patterning of a vertebrate embryo critically depends on the activity of Smad1 that mediates signaling by BMP proteins, anti-dorsalizing morphogenetic protein (Admp), and their antagonists. Pinhead (Pnhd), a cystine-knot-containing secreted protein, is expressed in the ventrolateral mesoderm during Xenopus gastrulation; however, its molecular targets and signaling mechanisms have not been fully elucidated. Our mass spectrometry-based screen of the gastrula secretome identified Admp as Pnhd-associated protein. We show that Pnhd binds Admp and inhibits its ventralizing activity by reducing Smad1 phosphorylation and its transcriptional targets. Importantly, Pnhd depletion further increased phospho-Smad1 levels in the presence of Admp. Furthermore, Pnhd synergized with Chordin and a truncated BMP4 receptor in the induction of notochord markers in ectoderm cells, and Pnhd-depleted embryos displayed notochord defects. Our findings suggest that Pnhd binds and inactivates Admp to promote notochord development. We propose that the interaction between Admp and Pnhd refines Smad1 activity gradients during vertebrate gastrulation.
???displayArticle.pubmedLink??? 34142034
???displayArticle.pmcLink??? PMC8188501
???displayArticle.link??? iScience
???displayArticle.grants??? [+]
Species referenced: Xenopus laevis
Genes referenced: admp angpt4 bambi bmp4 bmp7 cdx4 chd1 chrd dand5 dkk1 emilin3 furin lefty1 myc myod1 not notum pnhd sfrp2 shh smad1 sox2 szl ventx1.2 ventx2 wnt8a
GO keywords: gastrulation [+]
???displayArticle.antibodies??? Ctnnb1 Ab12 HA Ab7 Myc Ab2
???displayArticle.morpholinos??? pnhd MO4 pnhd MO5 pnhd MO7
???displayArticle.gses??? GSE168370: NCBI
???attribute.lit??? ???displayArticles.show???
|
|
Graphical Abstract |
|
|
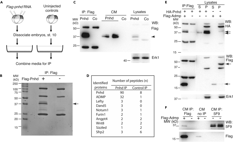
Figure 1. Screening gastrula secretome for Pnhd-associated proteins (A) Experimental scheme. Embryos were injected four times animally with FLAG-Pnhd RNA (500 pg) and dissociated at stage 10. After 3 h, conditioned media (CM) from dissociated FLAG-Pnhd-expressing and control embryos were combined and immunoprecipitated with anti-FLAG beads. (B) Coomassie blue staining of FLAG-Pnhd-containing and control protein pulldowns. Two bands of 36â38 kDa correspond to FLAG-Pnhd (arrow). (C) Immunoblot analysis of immunoprecipitates, CM, and cell lysates with anti-FLAG antibody. Heavy and light antibody chains are visible in addition to the specific Pnhd bands (arrowhead). Anti-Erk1 antibody serves as loading control for the lysates. (D) Numbers of identified peptides for top candidate secreted Pnhd-interacting proteins that were identified by mass spectrometry. (E) CM were combined from embryos expressing HA-Pnhd and FLAG-Admp as described in (A) and precipitated with anti-FLAG antibody. Supernatant (S) or cell pellet (P) fractions from dissociated cell lysates are also shown. Anti-HA antibody recognizes HA-Pnhd as 37- to 39-kDa bands, whereas anti-FLAG antibody detects the unprocessed form of FLAG-Admp (45 kDa) and mature FLAG-Admp (17 kDa, arrows). Anti-Erk1 antibody validates the separation of cytoplasmic and secreted proteins. (F) Admp binds endogenous Pnhd. CM from dissociated normal embryos (stage 10) or sibling embryos expressing FLAG-Pnhd were immunoprecipitated with anti-FLAG or anti-Pnhd (5F9) antibodies. After gel separation of protein precipitates, immunoblotting was carried out with the indicated antibodies. |
|
|
Figure 2. Pnhd inhibits Admp ventralizing activity (A) Experimental scheme. Marginal zone of four-cell embryos was injected with admp or flag-bmp4 RNA (50 pg) and flag-pnhd RNA (150 pg) as indicated. (BâG) Typical embryo phenotypes at stage 20 are shown. Arrows (B, D) point to neural tubes, asterisk in (C) marks a ventralized embryo. Scale bar: 400 μm in (G). (H) Quantification of the experiments shown in (BâG). Ventralization activity in stage 20 embryos has been scored as indicated at the bottom of the panel. Numbers of scored embryos are shown above each bar. Data are representative of three independent experiments. (I and J) Pnhd inhibits Smad1 phosphorylation in response to Admp but not BMP4. Embryos were injected as shown in (A) and harvested at stage 11 for immunoblotting with anti-phospho-Smad1 (pSmad1) and anti-Smad1 antibodies. Normalized ratios of pSmad1 to Smad1 levels are shown. Independent biological replicas are included for each group. Erk1, and β-catenin (βCat) levels control loading. |
|
|
Figure 4. Admp activity is enhanced by Pnhd depletion (A) Experimental scheme. Marginal zone of four-cell embryos was injected with admp RNA (50 pg) or PnhdMO2sp (40 ng) as indicated. (BâF) Pnhd MO2sp enhanced ventralization caused by Admp. Representative embryos are shown. (F) Quantification of the data shown in (BâE). Phenotypic scoring was done when uninjected embryos reached stage 28 using dorsoanterior index (DAI). Bar in E, 200 µm. (G and H) Immunoblotting of lysates of stage 11 embryos with anti-pSmad1, anti-Smad1, and anti-Erk1 antibodies. (G), control MO; (H), PnhdMO2sp. Normalized ratio of band intensities of pSmad1 relative to total Smad1 is indicated. Erk1 serves as a loading control. Independent biological replicas are included for each group (G, H). Data represent two to three independent experiments. (I) The effect of Admp on marginal zone markers is enhanced in Pnhd morphants. RNA was extracted from injected embryos at stage 11.5. RT-qPCR analysis of ventral (szl and bambi) or dorsal (chrd1 and dkk1) markers is shown. These data are representative of three experiments. Means ± SD are shown. Significance was determined by the Student's t test, ââp < 0.01, âââp < 0.001. |
|
|
Figure 5. Pnhd cooperates with BMP inhibitors to trigger explant elongation (A) Two-cell-stage embryos were injected with pnhd (0.5 ng), chordin (0.15 ng), or truncated BMP receptor (tBR, 0.45 ng) RNA as indicated. Ectoderm explants were dissected at stages 9.5â10 and cultured until stage 14 for morphological examination. (BâG) Representative group morphology is shown. Arrows in (D and F) point to elongating explants. These experiments were repeated 3â7 times. Scale bar: 500 μm in (G). |
|
|
Figure 6. Pnhd synergizes with BMP inhibitors to induce notochord markers (A) Experimental scheme. Two-cell embryos were injected into animal pole region with pnhd (0.5 ng) RNA, chordin (0.15 ng), or truncated BMP receptor (tBR, 0.45 ng) RNA as indicated in (B, C). Ectoderm explants were dissected at stages 9.5â10 and cultured until stage 14 to examine notochord markers admp, shh, and emi3 by RT-qPCR. (B) Pnhd synergizes with Chordin to induce admp.S, shh.L, and emi3, but not sox2, at stage 14. (C) Pnhd synergizes with tBR to induce admp.S and shh.L, but not sox2. (D) Chordin inhibits the induction of cdx4.L by pnhd. These data are representative of three experiments. Means ± SD are shown. Significance was determined by the Student's t test, âp < 0.05, ââp < 0.01, âââp < 0.001. |
|
|
Figure 7. Pnhd is required for notochord specification (AâL) PnhdMOsp or PnhdMO2sp (40 ng each) were injected four times into marginal zone as shown in Figure 2A. When control embryos reached stage 14, injected or uninjected embryos were fixed for whole-mount in situ hybridization with the notochord-specific probes chrd.1 (AâD) and not (EâH) or the somitic marker myod1 (IâL). Dorsal view is shown, anterior is up. Arrows in (A, E, I) demarcate the width of chrd.1 or not expression domains or the gap in myod1 expression. (D, H, L) Quantification of notochord width (marked by chrd.1, not, or the gap in myod1) relative to embryo width. Means ± SD are shown. Number of scored embryos per group is shown above each bar. The data are representative of three independent experiments. Scale bar: 300 μm in (K). |
|
|
Figure 8. A model of Pnhd effects on dorsal mesoderm, Admp, and Smad1 activity Major activators of Smad1 phosphorylation in the Xenopus gastrula are ventrolaterally expressed Bmp4/7 and dorsal Admp. Pnhd transcripts are distributed in the ventrolateral marginal zone, complementary to the dorsal expression of admp. Dorsal organizer signals, such as Chordin, reduce Smad1 phosphorylation triggered by Bmp4/7. A similar antagonistic effect of Pnhd on Admp is proposed to further modulate Smad1 activity gradients. |
|
|
Suppl. Fig. 1. Both exogenous and endogenous Pnhd are recognized by specific antibodies, related to Figure 1. A, Embryos were injected with flag-pnhd RNA (75 pg) and the lysates of the injected and control uninjected embryos at stage 11.5-12 were immunoblotted with 5F9 antibodies. There is no visible signal in control embryos, but a strong 35-37 kDa band is detected in pnhd-expressing embryos. B, Lysates were prepared from normal embryos at stage 12, immunoprecipitated with the Pnhd-specific antibodies 5F9, 8G12,11D5 or anti-Myc as indicated and immunoblotted with 5F9. |
|
|
https://www.dropbox.com/s/1kqy0c287omzh15/Screen%20Shot%202021-06-28%20at%202.00.40%20PM.jpg?dl=0 |
|
|
https://www.dropbox.com/s/534ejnyqd260wzt/Screen%20Shot%202021-06-28%20at%202.01.05%20PM.jpg?dl=0 |
|
|
Suppl. Fig. 4. Validation of Pnhd knockdown by immunoprecipitation, related to Figure 4. Four-cell embryos were injected in the marginal zone with PnhdMO2sp or control MO (40 ng each) as indicated. Sixty injected embryos were dissociated at stage 10 and cultured for 3 hrs. Conditioned media were immunoprecipitated with anti-Pnhd (5F9) or anti-HA antibodies and immunoblotted with 5F9. Pnhd-specific band has been eliminated in embryos injected with PnhdMO2sp. |
|
|
Suppl. Fig. 5. Enhancement of Admp ventralizing activity by PnhdMOsp, related to Figure 4. A, Experimental scheme. Marginal zone of four-cell embryos was injected with admp RNA (50 pg) or Pnhd MOsp (60 ng) as indicated. B-E, PnhdMOsp enhanced ventralization caused by Admp. Representative embryos are shown. F. Quantification of the data shown in B-E. Phenotypes were scored at stage 28 using dorsoanterior index (DAI). G, H, Immunoblotting of lysates of stage 11 embryos with anti-pSmad1, anti- Smad1 and anti-Erk1 antibodies. Normalized ratio of band intensities of pSmad1 relative to total Smad1 is indicated. Both PnhdMOsp (60 ng) and PnhdMOatg (10 ng) enhanced pSmad1 levels by Admp. Erk1 serves as a loading control. Data represent two to three independent experiments. |
|
|
Suppl. Fig. 6. Pnhd promotes elongation of ectodermal explants in the presence of Chordin, related to Figure 5. A-D. Two cell embryos were injected with 0.5 ng of pnhd and/or 0.15 ng of chordin RNA as indicated. Ectodermal explants were dissected at stage 9.5-10 as shown in Fig. 5A. The explants were cultured until stage 11. Scale bar in D is 500 μm. E. Embryos were injected as described in A-D. Ectoderm explants were dissected at stages 9.5-10 and cultured until stage 11 to examine admp and shh by RT-qPCR. Data are representative of three experiments. Means +/- standard errors are shown. Significance was determined by the Studentâs t-test, p<0.05 (*), p<0.01 (**). |
|
|
|
|
|
Figure 1. Screening gastrula secretome for Pnhd-associated proteins(A) Experimental scheme. Embryos were injected four times animally with FLAG-Pnhd RNA (500 pg) and dissociated at stage 10. After 3 h, conditioned media (CM) from dissociated FLAG-Pnhd-expressing and control embryos were combined and immunoprecipitated with anti-FLAG beads.(B) Coomassie blue staining of FLAG-Pnhd-containing and control protein pulldowns. Two bands of 36–38 kDa correspond to FLAG-Pnhd (arrow).(C) Immunoblot analysis of immunoprecipitates, CM, and cell lysates with anti-FLAG antibody. Heavy and light antibody chains are visible in addition to the specific Pnhd bands (arrowhead). Anti-Erk1 antibody serves as loading control for the lysates.(D) Numbers of identified peptides for top candidate secreted Pnhd-interacting proteins that were identified by mass spectrometry.(E) CM were combined from embryos expressing HA-Pnhd and FLAG-Admp as described in (A) and precipitated with anti-FLAG antibody. Supernatant (S) or cell pellet (P) fractions from dissociated cell lysates are also shown. Anti-HA antibody recognizes HA-Pnhd as 37- to 39-kDa bands, whereas anti-FLAG antibody detects the unprocessed form of FLAG-Admp (45 kDa) and mature FLAG-Admp (17 kDa, arrows). Anti-Erk1 antibody validates the separation of cytoplasmic and secreted proteins.(F) Admp binds endogenous Pnhd. CM from dissociated normal embryos (stage 10) or sibling embryos expressing FLAG-Pnhd were immunoprecipitated with anti-FLAG or anti-Pnhd (5F9) antibodies. After gel separation of protein precipitates, immunoblotting was carried out with the indicated antibodies. |
|
|
Figure 2. Pnhd inhibits Admp ventralizing activity(A) Experimental scheme. Marginal zone of four-cell embryos was injected with admp or flag-bmp4 RNA (50 pg) and flag-pnhd RNA (150 pg) as indicated.(B–G) Typical embryo phenotypes at stage 20 are shown. Arrows (B, D) point to neural tubes, asterisk in (C) marks a ventralized embryo. Scale bar: 400 μm in (G).(H) Quantification of the experiments shown in (B–G). Ventralization activity in stage 20 embryos has been scored as indicated at the bottom of the panel. Numbers of scored embryos are shown above each bar. Data are representative of three independent experiments.(I and J) Pnhd inhibits Smad1 phosphorylation in response to Admp but not BMP4. Embryos were injected as shown in (A) and harvested at stage 11 for immunoblotting with anti-phospho-Smad1 (pSmad1) and anti-Smad1 antibodies. Normalized ratios of pSmad1 to Smad1 levels are shown. Independent biological replicas are included for each group. Erk1, and β-catenin (βCat) levels control loading. |
|
|
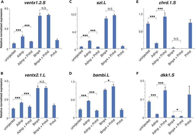
Figure 3. Pnhd regulates Admp-dependent dorsoventral markers(A–F) Embryos were injected as described in Figure 2A. RNA was extracted from injected embryos at stage 11.5. RT-qPCR analysis of ventral (vent1, vent2, szl, and bambi, A–D) or dorsal (chrd1 and dkk1, E, F) markers is shown. These data are representative of four experiments. Means ± SD are shown. Significance was determined by the Student's t test, ∗p < 0.05, ∗∗p < 0.01, ∗∗∗p < 0.001, p > 0.05, non-significant (N.S.). |
|
|
Figure 4. Admp activity is enhanced by Pnhd depletion(A) Experimental scheme. Marginal zone of four-cell embryos was injected with admp RNA (50 pg) or PnhdMO2sp (40 ng) as indicated.(B–F) Pnhd MO2sp enhanced ventralization caused by Admp. Representative embryos are shown. (F) Quantification of the data shown in (B–E). Phenotypic scoring was done when uninjected embryos reached stage 28 using dorsoanterior index (DAI). Bar in E, 200 µm.(G and H) Immunoblotting of lysates of stage 11 embryos with anti-pSmad1, anti-Smad1, and anti-Erk1 antibodies. (G), control MO; (H), PnhdMO2sp. Normalized ratio of band intensities of pSmad1 relative to total Smad1 is indicated. Erk1 serves as a loading control. Independent biological replicas are included for each group (G, H). Data represent two to three independent experiments.(I) The effect of Admp on marginal zone markers is enhanced in Pnhd morphants. RNA was extracted from injected embryos at stage 11.5. RT-qPCR analysis of ventral (szl and bambi) or dorsal (chrd1 and dkk1) markers is shown. These data are representative of three experiments. Means ± SD are shown. Significance was determined by the Student's t test, ∗∗p < 0.01, ∗∗∗p < 0.001. |
|
|
Figure 5. Pnhd cooperates with BMP inhibitors to trigger explant elongation(A) Two-cell-stage embryos were injected with pnhd (0.5 ng), chordin (0.15 ng), or truncated BMP receptor (tBR, 0.45 ng) RNA as indicated. Ectoderm explants were dissected at stages 9.5–10 and cultured until stage 14 for morphological examination.(B–G) Representative group morphology is shown. Arrows in (D and F) point to elongating explants. These experiments were repeated 3–7 times. Scale bar: 500 μm in (G). |
|
|
Figure 6. Pnhd synergizes with BMP inhibitors to induce notochord markers(A) Experimental scheme. Two-cell embryos were injected into animal pole region with pnhd (0.5 ng) RNA, chordin (0.15 ng), or truncated BMP receptor (tBR, 0.45 ng) RNA as indicated in (B, C). Ectoderm explants were dissected at stages 9.5–10 and cultured until stage 14 to examine notochord markers admp, shh, and emi3 by RT-qPCR.(B) Pnhd synergizes with Chordin to induce admp.S, shh.L, and emi3, but not sox2, at stage 14.(C) Pnhd synergizes with tBR to induce admp.S and shh.L, but not sox2.(D) Chordin inhibits the induction of cdx4.L by pnhd. These data are representative of three experiments. Means ± SD are shown. Significance was determined by the Student's t test, ∗p < 0.05, ∗∗p < 0.01, ∗∗∗p < 0.001. |
|
|
Figure 7. Pnhd is required for notochord specification(A–L) PnhdMOsp or PnhdMO2sp (40 ng each) were injected four times into marginal zone as shown in Figure 2A. When control embryos reached stage 14, injected or uninjected embryos were fixed for whole-mount in situ hybridization with the notochord-specific probes chrd.1 (A–D) and not (E–H) or the somitic marker myod1 (I–L). Dorsal view is shown, anterior is up. Arrows in (A, E, I) demarcate the width of chrd.1 or not expression domains or the gap in myod1 expression. (D, H, L) Quantification of notochord width (marked by chrd.1, not, or the gap in myod1) relative to embryo width. Means ± SD are shown. Number of scored embryos per group is shown above each bar. The data are representative of three independent experiments. Scale bar: 300 μm in (K). |
|
|
Figure 8. A model of Pnhd effects on dorsal mesoderm, Admp, and Smad1 activityMajor activators of Smad1 phosphorylation in the Xenopus gastrula are ventrolaterally expressed Bmp4/7 and dorsal Admp. Pnhd transcripts are distributed in the ventrolateral marginal zone, complementary to the dorsal expression of admp. Dorsal organizer signals, such as Chordin, reduce Smad1 phosphorylation triggered by Bmp4/7. A similar antagonistic effect of Pnhd on Admp is proposed to further modulate Smad1 activity gradients. |
References [+] :
Anders,
Differential expression analysis for sequence count data.
2010, Pubmed
Anders, Differential expression analysis for sequence count data. 2010, Pubmed
Anders, HTSeq--a Python framework to work with high-throughput sequencing data. 2015, Pubmed
Bayramov, Novel functions of Noggin proteins: inhibition of Activin/Nodal and Wnt signaling. 2011, Pubmed , Xenbase
Bell, Cell fate specification and competence by Coco, a maternal BMP, TGFbeta and Wnt inhibitor. 2003, Pubmed , Xenbase
Ben-Zvi, Scaling of the BMP activation gradient in Xenopus embryos. 2008, Pubmed , Xenbase
Cheng, The lefty-related factor Xatv acts as a feedback inhibitor of nodal signaling in mesoderm induction and L-R axis development in xenopus. 2000, Pubmed , Xenbase
Corallo, Emilin3 is required for notochord sheath integrity and interacts with Scube2 to regulate notochord-derived Hedgehog signals. 2013, Pubmed
Dale, Bone morphogenetic protein 4: a ventralizing factor in early Xenopus development. 1992, Pubmed , Xenbase
De Robertis, Dorsal-ventral patterning and neural induction in Xenopus embryos. 2004, Pubmed , Xenbase
Dollar, Regulation of Lethal giant larvae by Dishevelled. 2005, Pubmed , Xenbase
Dosch, Requirement for anti-dorsalizing morphogenetic protein in organizer patterning. 2000, Pubmed , Xenbase
Eroshkin, Noggin4 is a long-range inhibitor of Wnt8 signalling that regulates head development in Xenopus laevis. 2016, Pubmed , Xenbase
Faure, Endogenous patterns of TGFbeta superfamily signaling during early Xenopus development. 2000, Pubmed , Xenbase
Graff, Studies with a Xenopus BMP receptor suggest that ventral mesoderm-inducing signals override dorsal signals in vivo. 1994, Pubmed , Xenbase
Harland, In situ hybridization: an improved whole-mount method for Xenopus embryos. 1991, Pubmed , Xenbase
Harland, Formation and function of Spemann's organizer. 1997, Pubmed
Hopwood, MyoD expression in the forming somites is an early response to mesoderm induction in Xenopus embryos. 1989, Pubmed , Xenbase
Hsu, The Xenopus dorsalizing factor Gremlin identifies a novel family of secreted proteins that antagonize BMP activities. 1998, Pubmed , Xenbase
Imai, Cis-acting transcriptional repression establishes a sharp boundary in chordate embryos. 2012, Pubmed
Inomata, Scaling of dorsal-ventral patterning by embryo size-dependent degradation of Spemann's organizer signals. 2013, Pubmed , Xenbase
Inui, Self-regulation of the head-inducing properties of the Spemann organizer. 2012, Pubmed , Xenbase
Itoh, Nuclear localization is required for Dishevelled function in Wnt/beta-catenin signaling. 2005, Pubmed , Xenbase
Joubin, Molecular interactions continuously define the organizer during the cell movements of gastrulation. 1999, Pubmed
Kao, The entire mesodermal mantle behaves as Spemann's organizer in dorsoanterior enhanced Xenopus laevis embryos. 1988, Pubmed , Xenbase
Kenwrick, Pilot morpholino screen in Xenopus tropicalis identifies a novel gene involved in head development. 2004, Pubmed , Xenbase
Kiecker, Molecular specification of germ layers in vertebrate embryos. 2016, Pubmed
Kim, HISAT: a fast spliced aligner with low memory requirements. 2015, Pubmed
Kimelman, Mesoderm induction: from caps to chips. 2006, Pubmed , Xenbase
Kjolby, Genome-wide identification of Wnt/β-catenin transcriptional targets during Xenopus gastrulation. 2017, Pubmed , Xenbase
Kumano, ADMP2 is essential for primitive blood and heart development in Xenopus. 2006, Pubmed , Xenbase
Lee, Embryonic dorsal-ventral signaling: secreted frizzled-related proteins as inhibitors of tolloid proteinases. 2006, Pubmed , Xenbase
Marques, The activity of the Nodal antagonist Cerl-2 in the mouse node is required for correct L/R body axis. 2004, Pubmed
Mayor, Induction of the prospective neural crest of Xenopus. 1995, Pubmed , Xenbase
Meno, lefty-1 is required for left-right determination as a regulator of lefty-2 and nodal. 1998, Pubmed
Montague, Conserved regulation of Nodal-mediated left-right patterning in zebrafish and mouse. 2018, Pubmed
Moos, Anti-dorsalizing morphogenetic protein is a novel TGF-beta homolog expressed in the Spemann organizer. 1995, Pubmed , Xenbase
Muraoka, Sizzled controls dorso-ventral polarity by repressing cleavage of the Chordin protein. 2006, Pubmed
Niehrs, Regionally specific induction by the Spemann-Mangold organizer. 2004, Pubmed
Ossipova, Pinhead signaling regulates mesoderm heterogeneity via the FGF receptor-dependent pathway. 2020, Pubmed , Xenbase
Peng, Xenopus laevis: Practical uses in cell and molecular biology. Solutions and protocols. 1991, Pubmed , Xenbase
Peyrot, A revised model of Xenopus dorsal midline development: differential and separable requirements for Notch and Shh signaling. 2011, Pubmed , Xenbase
Piccolo, The head inducer Cerberus is a multifunctional antagonist of Nodal, BMP and Wnt signals. 1999, Pubmed , Xenbase
Piccolo, Dorsoventral patterning in Xenopus: inhibition of ventral signals by direct binding of chordin to BMP-4. 1996, Pubmed , Xenbase
Reversade, Regulation of ADMP and BMP2/4/7 at opposite embryonic poles generates a self-regulating morphogenetic field. 2005, Pubmed , Xenbase
Sasai, Regulation of neural induction by the Chd and Bmp-4 antagonistic patterning signals in Xenopus. 1995, Pubmed , Xenbase
Sasai, Xenopus chordin: a novel dorsalizing factor activated by organizer-specific homeobox genes. 1994, Pubmed , Xenbase
Schohl, Beta-catenin, MAPK and Smad signaling during early Xenopus development. 2002, Pubmed , Xenbase
Suzuki, A truncated bone morphogenetic protein receptor affects dorsal-ventral patterning in the early Xenopus embryo. 1994, Pubmed , Xenbase
Tuazon, Temporally coordinated signals progressively pattern the anteroposterior and dorsoventral body axes. 2015, Pubmed , Xenbase
von Dassow, Induction of the Xenopus organizer: expression and regulation of Xnot, a novel FGF and activin-regulated homeo box gene. 1993, Pubmed , Xenbase
Willot, Cooperative action of ADMP- and BMP-mediated pathways in regulating cell fates in the zebrafish gastrula. 2002, Pubmed , Xenbase
Yan, The BMP ligand Pinhead together with Admp supports the robustness of embryonic patterning. 2019, Pubmed
