XB-ART-58429
PLoS Biol
2021 Sep 01;199:e3001377. doi: 10.1371/journal.pbio.3001377.
Show Gene links
Show Anatomy links
A systemic cell cycle block impacts stage-specific histone modification profiles during Xenopus embryogenesis.
Pokrovsky D, Forné I, Straub T, Imhof A, Rupp RAW.
???displayArticle.abstract???
Forming an embryo from a zygote poses an apparent conflict for epigenetic regulation. On the one hand, the de novo induction of cell fate identities requires the establishment and subsequent maintenance of epigenetic information to harness developmental gene expression. On the other hand, the embryo depends on cell proliferation, and every round of DNA replication dilutes preexisting histone modifications by incorporation of new unmodified histones into chromatin. Here, we investigated the possible relationship between the propagation of epigenetic information and the developmental cell proliferation during Xenopus embryogenesis. We systemically inhibited cell proliferation during the G1/S transition in gastrula embryos and followed their development until the tadpole stage. Comparing wild-type and cell cycle-arrested embryos, we show that the inhibition of cell proliferation is principally compatible with embryo survival and cellular differentiation. In parallel, we quantified by mass spectrometry the abundance of a large set of histone modification states, which reflects the developmental maturation of the embryonic epigenome. The arrested embryos developed abnormal stage-specific histone modification profiles (HMPs), in which transcriptionally repressive histone marks were overrepresented. Embryos released from the cell cycle block during neurulation reverted toward normality on morphological, molecular, and epigenetic levels. These results suggest that the cell cycle block by HUA alters stage-specific HMPs. We propose that this influence is strong enough to control developmental decisions, specifically in cell populations that switch between resting and proliferating states such as stem cells.
???displayArticle.pubmedLink??? 34491983
???displayArticle.pmcLink??? PMC8535184
???displayArticle.link??? PLoS Biol
Species referenced: Xenopus tropicalis Xenopus laevis
Genes referenced: actc1 cdx2 elavl1 fadd fas foxd4l1 hba1 msr1 muc2 myh6 myod1 nkx2-5 odc1 otx2 pax6 pou5f3.2 prss1 rax tbxt tnni3 tuba4a twist1 zic1 zic2
GO keywords: G1/S transition of mitotic cell cycle [+]
???displayArticle.antibodies??? Ctnnb1 Ab17 H3f3a Ab40
Phenotypes: Xla Wt + Hsa.FADD(Fig.S2) [+]
Xla Wt + hydroxyurea + aphidicolin(Fig.2.A,B)
Xla Wt + hydroxyurea + aphidicolin(Fig. 3.A)
Xla Wt + hydroxyurea + aphidicolin(Fig.3.A)
Xla Wt + hydroxyurea + aphidicolin(Fig.3.B)
Xla Wt + hydroxyurea + aphidicolin(Fig.3.C)
Xla Wt + hydroxyurea + aphidicolin(Fig.5.A)
Xla Wt + hydroxyurea + aphidicolin(Fig.5.B)
Xla Wt + hydroxyurea + aphidicolin(Fig.S1.B)
Xla Wt + hydroxyurea + aphidicolin(Fig.S1.C)
Xla Wt + hydroxyurea + aphidicolin(Fig.S4)
Xla Wt + hydroxyurea + aphidicolin(Fig. 3.A)
Xla Wt + hydroxyurea + aphidicolin(Fig.3.A)
Xla Wt + hydroxyurea + aphidicolin(Fig.3.B)
Xla Wt + hydroxyurea + aphidicolin(Fig.3.C)
Xla Wt + hydroxyurea + aphidicolin(Fig.5.A)
Xla Wt + hydroxyurea + aphidicolin(Fig.5.B)
Xla Wt + hydroxyurea + aphidicolin(Fig.S1.B)
Xla Wt + hydroxyurea + aphidicolin(Fig.S1.C)
Xla Wt + hydroxyurea + aphidicolin(Fig.S4)
???attribute.lit??? ???displayArticles.show???
|
|
Fig 1. Experimental design. Top part: a schematic representation of Xenopus laevis embryonic development. Developmental stages (NF) according to Nieuwkoop and Faber (1994). Stages used for mass spectrometry of histone modifications and embryonic analyses are characterized by the following features: NF13âlate gastrula, germ layer specified; NF18âneurula, germ layer patterning and differentiation; NF25âtailbud stage, organogenesis; NF32âearly tadpole, body plan established. Bottom part: We perform 2 types of experiments: Experiment type A (G1/S block)âembryos are split in 2 groups, which from NF10.5 on are continuously incubated in HUA solution or control solution (DMSO as carrier). Experiment type B (transient arrest)âembryos are split in 3 groups: continuous Mock, continuous HUA, and transient HUA. In the last group, HUA solution is replaced at NF13 with DMSO solution. DMSO, dimethyl sulfoxide; HUA, hydroxyurea and aphidicolin; HUAwo, HUA washout. https://doi.org/10.1371/journal.pbio.3001377.g001 |
|
|
Fig 2. Continuous HUA treatment inhibits mitotic activity from gastrula to tadpole stages. (A) ICC for the mitotic histone mark H3S10Ph. Black dots represent mitotic cells. Elongated, older embryos are recorded as anterior halves, i.e., at the same magnification as younger stages, and in whole mount views as inserts. Scale bars: 1 mm. (B) Abundance of mitotic cells in Mock- and HUA-treated embryos. Box plots based on H3S10Ph-positive cells present on the recorded surface of embryos (n = 3 biological replicates/condition; Student t test [unpaired, two-tailed]; *** p < 0.001). The individual quantitative observations can be found in S1 Data. HUA, hydroxyurea and aphidicolin; ICC, immunocytochemical staining. https://doi.org/10.1371/journal.pbio.3001377.g002 |
|
|
Fig 3. Morphological development of HUA-arrested embryos. (A) During gastrulation, Mock and HUA embryos are indistinguishable. At NF18, the latter show a delay in neural tube closure. More severe malformations are detectable at stages NF25 and NF32, most notably reduced eye formation and absence of tail bud. Scale bars: 1 mm. (B) Cell size at the tailbud stage. Flattened Z-stack images show fields from embryonic skin at constant magnification (scale bars: 20 μm). Immunofluorescence detects cell borders (beta-catenin), nuclei (DAPI), and mitotic cells (H3S10Ph). GIFs from Z-stacks are presented in the Supporting information (S1 and S2 Videos). (C) Whole mount RNA in situ hybridization for indicated marker genes. Images are representative for the majority of Mock- or HUA-treated embryos from 3 biological experiments. While mRNAs of α-tubulin and rx1 (skin, neuronal), α-globin, tnni3, actc1, and mhc-α (mesodermal) are detected in both conditions, xbra and foxd5a (tail blastema) are absent in HUA embryos. Numbers indicate embryos positive for the marker over the total number of analyzed embryos. Scale bars: 1 mm. HUA, hydroxyurea and aphidicolin. https://doi.org/10.1371/journal.pbio.3001377.g003 |
|
|
Fig 4. Mitotic activity shapes stage-specific HMPs. (A) Heatmap of the absolute histone modification states abundance, normalized to the corresponding R10 spiketides. Data in columns represent an average from 3 biological replicates/condition. Color key: row Z-score. The individual quantitative observations can be found in S2 Data. (B) Ratio heatmap of relative histone modifications abundance for selected histone marks. In the first step, relative distributions of the indicated modification states were calculated in percentages within each tryptic peptide (see S4 Fig). Then, HUA values were divided by Mock values to produce the relative change for each histone modification state between the 2 conditions. Color key is based on the Log10 scale. Numerical values in the cells indicate the fold-change. Values greater than 1.0 indicate an increase in HUA condition; values smaller than 1.0 indicate a higher abundance in Mock condition. NA, not applicable, when values in Mock were 0. Asterisks (*), adj.p < 0.1 (BenjaminiâHochberg procedure). âp,â propionylated (naturally unmodified); âun,â tryptic peptide, which has no modification state. The direct comparison of relative histone PTMs abundance is shown in S4 Fig, with p-values indicated in S5 Table. HMP, histone modification profile; HUA, hydroxyurea and aphidicolin; PTM, posttranslational modification of histone. https://doi.org/10.1371/journal.pbio.3001377.g004 |
|
|
Fig 5. The HUA effects on embryogenesis are reversible. Embryos, which were transiently incubated in HUA solution and thus mitotically arrested, were returned to Mock solution at NF13. (A) Abundance of mitotic cells in Mock, HUA-treated, and HUAwo embryos. Box plots based on H3S10Ph-positive cells present on the recorded surface of embryos, displayed in S5 Fig (n ⥠3 biological replicates/condition; Student t test [unpaired, two-tailed]; *** p < 0.001; * p < 0.05; n.s., not significant). The individual quantitative observations can be found in S3 Data. (B) Morphological and molecular features of embryos at the early tadpole stage. In contrast to continuous HUA-treated embryos, HUAwo embryos regain eye cups, fin, and tailbud structures. In addition, they express foxd5a and xbra mRNAs in the growth zone of the tailbud, comparable to Mock embryos. Numbers indicate embryos positive for the marker over the total number of analyzed embryos (n = 3 biological replicates/condition). Scale bars: 1 mm. HUA, hydroxyurea and aphidicolin; HUAwo, HUA washout. https://doi.org/10.1371/journal.pbio.3001377.g005 |
|
|
Fig 6. HUA effects on stage-specific HMPs are reversible. (A) Heatmap of the relative histone modification states abundance under the indicated conditions. As before, the relative distributions of the indicated modification states are calculated in percentages within each tryptic peptide. Data in columns are collected from early tadpole stage embryos NF32 (n = 1 biological replicate), independently from the data of experiment type A. Note: Relative differences between Mock and HUA samples of experiment type B are highly similar to the results of experiment type A (S6 Fig). Color key, row Z-score. The individual quantitative observations can be found in S4 Data. (B) Ratio heatmap of relative histone modification abundance for selected histone marks. First, the relative distributions of the indicated modification states are calculated as percentages within each tryptic peptide (S6 Fig). Then, the relative values are presented as ratios between sample pairs indicated on top, showing the relative change for each histone modification state between the 2 conditions. Color key is based on the Log10 scale. Numerical values in the cells indicate the fold-change. âp,â propionylated (naturally unmodified). Values greater than 1.0 indicate an increase in HUA condition; values smaller than 1.0 indicate a higher abundance in Mock condition. NA, not applicable, when values in Mock were 0. The first 2 columns illustrate the similarity between experiment types A and B; the information in the third column shows the similarity between HUAwo and Mock samples. Asterisks (*), adj.p < 0.1 (BenjaminiâHochberg procedure) between indicated conditions. The direct comparison of relative histone PTMs abundance is shown in S6 Fig. HMP, histone modification profile; HUA, hydroxyurea and aphidicolin; HUAwo, HUA washout. https://doi.org/10.1371/journal.pbio.3001377.g006 |
|
|
S1 Fig. HUA treatment reduces survival and impacts morphogenesis. (A) Embryonic survival curves under Mock, HUA, or HUAwo condition. Data from n ⥠3 biological replicates/condition; mean ± SEM. The individual quantitative observations can be found in S5 Data (sheet 1). (B) The first morphological effect of HUA treatment is apparent at stage NF19 as a delay in neural tube closure (in mock, black arrowhead points to the dorsal midline; in HUA, 2 black arrows point to separate neural folds). Under higher magnification, HUA embryos contain larger cells. After hatching (stage NF37/38), HUA-treated embryos lack tails, have reduced eyes and malformed fins, and are largely deficient in melanocytes. (C) Comparison of temporal expression profiles for selected marker genes in Mock and HUA conditions by qRT/PCR, normalized to odc mRNA. Genes are grouped according to their activation time point. N = 3 biological replicates/condition; mean ± SEM. Significant difference was detected only in case of pax6 expression level at NF32 stage (Student t test [two-tailed, paired]; * p < 0.05). No other significant differences were detected between the 2 conditions. The individual quantitative observations can be found in S5 Data (sheet 2). CNS, central nervous system; HUA, hydroxyurea and aphidicolin; HUAwo, HUA washout; qRT/PCR, quantitative real-time polymerase chain reaction. https://doi.org/10.1371/journal.pbio.3001377.s001 |
|
|
S2 Fig. Apoptosis in HUA- and Mock-treated embryos. Wild-type embryos were injected with FADD apoptosis inducing plasmid in one blastomere at 4-cell stage as a positive control. FADD-injected and FADD-uninjected wild-type embryos together with Mock and HUA embryos were ICC stained against activated cas-3. Signal from cas-3 staining can be observed on the skin of the embryos as small blue dots; dashed ovals highlight FADD-induced cas-3 staining; white asterisks indicate blastocoel background staining, scale bar: 1 mm. HUA embryos do not demonstrate an increased level of apoptosis compared to Mock siblings. cas-3, caspase-3; FADD, Fas-associated protein with death domain; HUA, hydroxyurea and aphidicolin; ICC, immunocytochemical staining. https://doi.org/10.1371/journal.pbio.3001377.s002 |
|
|
S3 Fig. Visualization of the data from experimental series A and B. (A) PCA for Mock- and HUA-treated HPMs (Exp. A). Each data point represents 64 modification states, measured by LCâMS/MS in PRM mode, with absolute abundance calculated with R10 spiketide normalization. Mock and HUA data sets are partially separated, with younger HUA samples intermingling with older Mock samples. (B) MA-plot detailing the distribution of Log2 transformed relative histone PTM abundance [Log2(%)] over Log2 transformed fold-change between HUA and Mock conditions [Log2(fold-change)] (Exp. A). Histone PTMs different between HUA and Mock conditions with adj.p < 0.1 (BenjaminiâHochberg procedure) highlighted in red. Lower abundant modifications tend to have larger variability. (C) Volcano plot shows the distribution of Log2 transformed fold-change [Log2(fold-change)] over negative Log2 transformed adj.p-value [âLog2(adj.p)] between HUA and Mock conditions (Exp. A). Baseline in gray: 3.3219 as âLog2(0.1). Histone PTMs different between HUA and Mock with adj.p < 0.1 (BenjaminiâHochberg procedure) are above the baseline, highlighted in red. One-quarter of the analyzed histone PTMs is significantly different between Mock and HUA conditions. (D) Boxplot indicates the distribution of Log2 transformed fold-changes [Log2(fold-change)] between HUA and Mock conditions in Exp. A and Exp. B. Median is shown. The results from Exp. A and Exp. B are similar. The direct comparison of relative abundance of the histone PTMs is shown in S6 Fig. The individual quantitative observations can be found in S6 Data. HPM, xxxx; HUA, hydroxyurea and aphidicolin; LCâMS/MS, liquid chromatographyâtandem mass spectrometry; PCA, principal component analysis; PRM, parallel reaction monitoring; PTM, posttranslational modification of histone. https://doi.org/10.1371/journal.pbio.3001377.s003 |
|
|
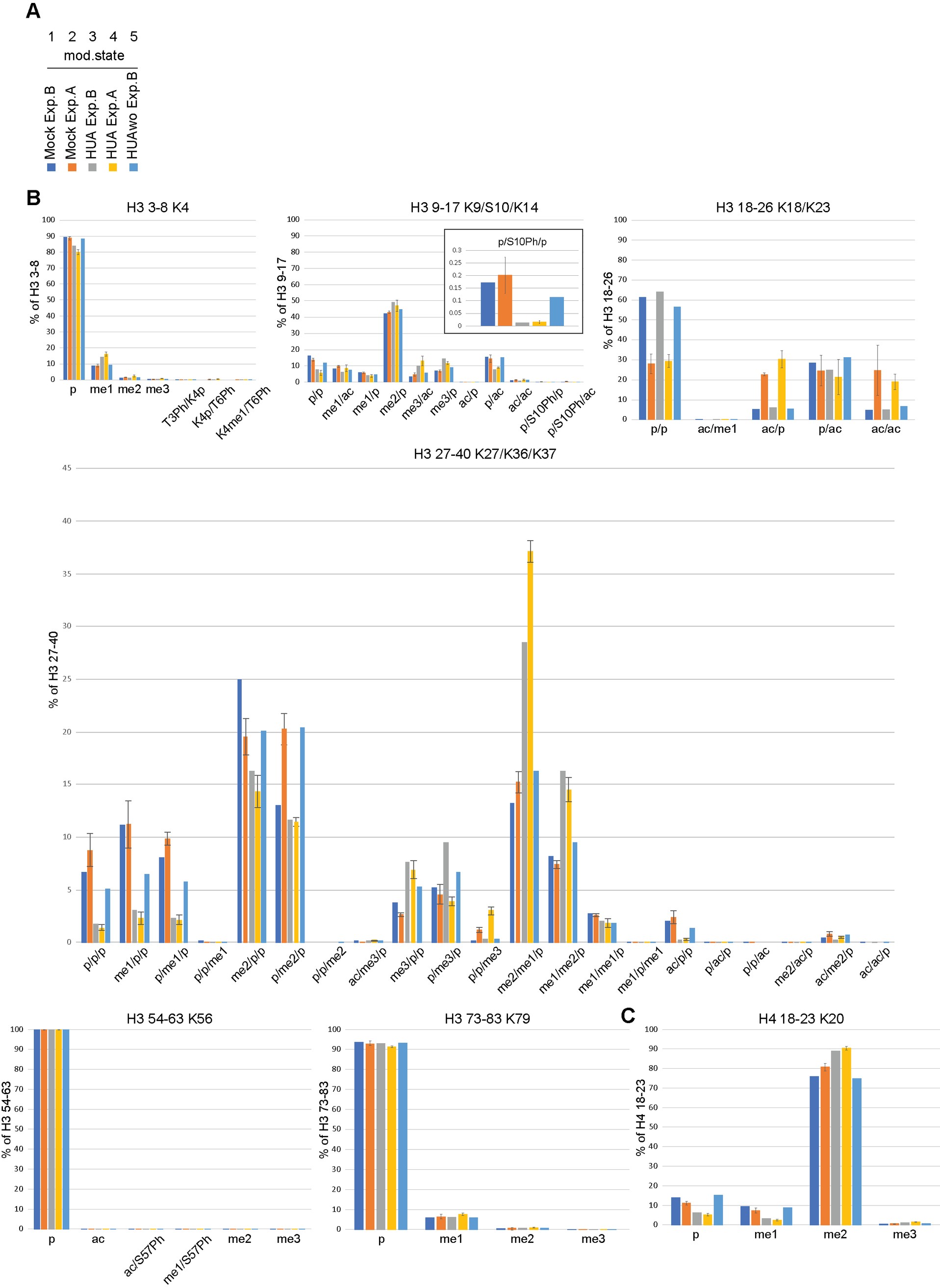
S4 Fig. Relative histone PTM abundance in HUA- and Mock-treated embryos. (A) Individual relative histone PTM distribution for histone H3. Data are first normalized to R10 spiketide signals, then added up to 100% for all modification states measured for each specific tryptic peptide, from which the relative contribution of each state is then calculated. The insert in H3 9â17 K9/S10/K14 plot shows a zoom-in for the H3S10Ph mark. (B) Individual relative histone PTM distribution for histone H4. N = 3 biological replicates/condition; mean ± SEM. âp,â propionylated (naturally unmodified). The individual quantitative observations can be found in S5 Table. ac, acetylation; HUA, hydroxyurea and aphidicolin; me, methylation; Ph, phosphorylation; PTM, posttranslational modification of histone. https://doi.org/10.1371/journal.pbio.3001377.s004 |
|
|
S6 Fig. Comparison of relative histone PTM abundance from experimental series type A and B. Relative histone PTMs abundance was calculated as described in Materials and methods. The insert in H3 9–17 K9/S10/K14 plot shows a zoom-in for the H3S10Ph mark. (A) Color coding of sample types. Panels (B) and (C): individual relative histone PTM distributions for histone H3 and H4, respectively. “p,” propionylated (naturally unmodified). The individual quantitative observations can be found in S6 Table. ac, acetylation; me, methylation; Ph, phosphorylation; PTM, posttranslational modification of histone. https://doi.org/10.1371/journal.pbio.3001377.s006 |
|
|
S7 Fig. Absolute quantification of histone posttranslational modification states by LCâMS/MS using scheduled PRM method. (A) Pipeline of mass spectrometry analysis of histone modifications from Xenopus laevis. Bulk histones are isolated from purified nuclei of embryos from 4 sampled stages (see Fig 1) by acidic extraction and SDS-PAGE. Propionylation blocks all endogenously unmodified and monomethylated lysine residues from being cleaved in the subsequent trypsin digest, thereby creating an optimized peptide pool for Mass Spec analysis. Due to this step, naturally unmodified lysine residues are labeled as âp,â tryptic peptides which have no modification states indicated as âun.â After propionylation, but before trypsin digest, we add to each sample a so-called R10 library (S2 Table), which consists of isotopically heavy-labeled arginine peptides (R10). The individual R10 peptides are mixed in equimolar concentration and mimic 64 histone H3 and H4 modification states. These isotopically heavy-labeled peptides serve as an internal and intersample control, allowing to minimize technical variations and to quantitate abundance of histone modification states on the absolute scale. (B) Representation of the R10 spike-in peptide control. Each of the analyzed endogenous histone modification states has a synthetized R10 peptide analog. Due to the same chemical properties, endogenous tryptic peptides and their R10 spiketide analogs elute at the same RT; however, they can be distinguished based on the mass to charge (m/z) ratio. Additionally, R10 spiketides help with peak identification based on RT and detail fragmentation spectra for isobaric peptides. LCâMS/MS, liquid chromatographyâtandem mass spectrometry; PRM, parallel reaction monitoring; RT, retention time. https://doi.org/10.1371/journal.pbio.3001377.s007 |
References [+] :
Alabert,
Two distinct modes for propagation of histone PTMs across the cell cycle.
2015, Pubmed
Alabert, Two distinct modes for propagation of histone PTMs across the cell cycle. 2015, Pubmed
Alabert, Domain Model Explains Propagation Dynamics and Stability of Histone H3K27 and H3K36 Methylation Landscapes. 2020, Pubmed
Alekseyenko, Reciprocal interactions of human C10orf12 and C17orf96 with PRC2 revealed by BioTAP-XL cross-linking and affinity purification. 2014, Pubmed
Anderson, Desynchronizing Embryonic Cell Division Waves Reveals the Robustness of Xenopus laevis Development. 2017, Pubmed , Xenbase
Barrera, Genome-wide mapping and analysis of active promoters in mouse embryonic stem cells and adult organs. 2008, Pubmed
Beck, The role of PR-Set7 in replication licensing depends on Suv4-20h. 2012, Pubmed
Beck, Analysis of the developing Xenopus tail bud reveals separate phases of gene expression during determination and outgrowth. 1998, Pubmed , Xenbase
Blythe, beta-Catenin primes organizer gene expression by recruiting a histone H3 arginine 8 methyltransferase, Prmt2. 2010, Pubmed , Xenbase
Bogdanović, The epigenome in early vertebrate development. 2012, Pubmed , Xenbase
Bracken, Genome-wide mapping of Polycomb target genes unravels their roles in cell fate transitions. 2006, Pubmed
Brownlee, Importin α Partitioning to the Plasma Membrane Regulates Intracellular Scaling. 2019, Pubmed , Xenbase
Buchholz, More similar than you think: Frog metamorphosis as a model of human perinatal endocrinology. 2015, Pubmed , Xenbase
Challa, Damage-induced chromatome dynamics link Ubiquitin ligase and proteasome recruitment to histone loss and efficient DNA repair. 2021, Pubmed
Chen, Reduction in cell size during development of the spinal cord. 1999, Pubmed , Xenbase
Creyghton, Histone H3K27ac separates active from poised enhancers and predicts developmental state. 2010, Pubmed
Desnitskiy, Cell cycles during early steps of amphibian embryogenesis: A review. 2018, Pubmed , Xenbase
Di Micco, Interplay between oncogene-induced DNA damage response and heterochromatin in senescence and cancer. 2011, Pubmed
Ferrari, Polycomb-dependent H3K27me1 and H3K27me2 regulate active transcription and enhancer fidelity. 2014, Pubmed
Hajkova, Chromatin dynamics during epigenetic reprogramming in the mouse germ line. 2008, Pubmed
Hall, A cellular memory of developmental history generates phenotypic diversity in C. elegans. 2010, Pubmed
Harris, Neuronal determination without cell division in Xenopus embryos. 1991, Pubmed , Xenbase
Hartenstein, Early neurogenesis in Xenopus: the spatio-temporal pattern of proliferation and cell lineages in the embryonic spinal cord. 1989, Pubmed , Xenbase
Hemberger, Epigenetic dynamics of stem cells and cell lineage commitment: digging Waddington's canal. 2009, Pubmed
Hontelez, Embryonic transcription is controlled by maternally defined chromatin state. 2015, Pubmed , Xenbase
Irie, The phylum Vertebrata: a case for zoological recognition. 2018, Pubmed
Jadhav, Replicational Dilution of H3K27me3 in Mammalian Cells and the Role of Poised Promoters. 2020, Pubmed
Jambhekar, Author Correction: Roles and regulation of histone methylation in animal development. 2020, Pubmed
Jensen, Phenotypic differentiation of aphidicolin-selected human neuroblastoma cultures after long-term exposure to nerve growth factor. 1987, Pubmed
Kebede, Novel types and sites of histone modifications emerge as players in the transcriptional regulation contest. 2015, Pubmed
Kimelman, The events of the midblastula transition in Xenopus are regulated by changes in the cell cycle. 1987, Pubmed , Xenbase
Koç, Hydroxyurea arrests DNA replication by a mechanism that preserves basal dNTP pools. 2004, Pubmed
Lawrence, Lateral Thinking: How Histone Modifications Regulate Gene Expression. 2016, Pubmed
Lee, Stability of histone modifications across mammalian genomes: implications for 'epigenetic' marking. 2009, Pubmed
Li, Bivalent Histone Modifications and Development. 2018, Pubmed
Liebler, Targeted quantitation of proteins by mass spectrometry. 2013, Pubmed
Lindeman, Prepatterning of developmental gene expression by modified histones before zygotic genome activation. 2011, Pubmed
MacLean, Skyline: an open source document editor for creating and analyzing targeted proteomics experiments. 2010, Pubmed
Maurer-Schultze, An in vivo study on the synchronizing effect of hydroxyurea. 1988, Pubmed
Méchali, Eukaryotic DNA replication origins: many choices for appropriate answers. 2010, Pubmed , Xenbase
Mutlu, Distinct functions and temporal regulation of methylated histone H3 during early embryogenesis. 2019, Pubmed
Myers, Targeted and extended acetylation of histones H4 and H3 at active and inactive genes in chicken embryo erythrocytes. 2001, Pubmed
Nakamura, Proteome dynamics at broken replication forks reveal a distinct ATM-directed repair response suppressing DNA double-strand break ubiquitination. 2021, Pubmed
Nazaretyan, Replication Rapidly Recovers and Continues in the Presence of Hydroxyurea in Escherichia coli. 2018, Pubmed
Newport, A major developmental transition in early Xenopus embryos: I. characterization and timing of cellular changes at the midblastula stage. 1982, Pubmed , Xenbase
Ng, Lysine-79 of histone H3 is hypomethylated at silenced loci in yeast and mammalian cells: a potential mechanism for position-effect variegation. 2003, Pubmed
Otsuki, Dorsal-Ventral Differences in Neural Stem Cell Quiescence Are Induced by p57KIP2/Dacapo. 2019, Pubmed
Perez-Riverol, The PRIDE database and related tools and resources in 2019: improving support for quantification data. 2019, Pubmed
Pesavento, Certain and progressive methylation of histone H4 at lysine 20 during the cell cycle. 2008, Pubmed
Pokholok, Genome-wide map of nucleosome acetylation and methylation in yeast. 2005, Pubmed
Probst, Pericentric heterochromatin: dynamic organization during early development in mammals. 2008, Pubmed
Ramon-Cañellas, From Early to Late Neurogenesis: Neural Progenitors and the Glial Niche from a Fly's Point of View. 2019, Pubmed
Rankin, A Molecular atlas of Xenopus respiratory system development. 2015, Pubmed , Xenbase
Rappsilber, Protocol for micro-purification, enrichment, pre-fractionation and storage of peptides for proteomics using StageTips. 2007, Pubmed
Roberts, How neurons generate behavior in a hatchling amphibian tadpole: an outline. 2010, Pubmed , Xenbase
Rollins, Morphogenesis and regulated gene activity are independent of DNA replication in Xenopus embryos. 1991, Pubmed , Xenbase
Rugg-Gunn, Distinct histone modifications in stem cell lines and tissue lineages from the early mouse embryo. 2010, Pubmed
Sabbattini, An H3K9/S10 methyl-phospho switch modulates Polycomb and Pol II binding at repressed genes during differentiation. 2014, Pubmed
Sabherwal, aPKC phosphorylates p27Xic1, providing a mechanistic link between apicobasal polarity and cell-cycle control. 2014, Pubmed , Xenbase
Sawicka, Histone H3 phosphorylation - a versatile chromatin modification for different occasions. 2012, Pubmed
Schneider, Stage-specific histone modification profiles reveal global transitions in the Xenopus embryonic epigenome. 2011, Pubmed , Xenbase
Silva, Establishment of histone h3 methylation on the inactive X chromosome requires transient recruitment of Eed-Enx1 polycomb group complexes. 2003, Pubmed
Smith, Enhancer biology and enhanceropathies. 2014, Pubmed
Steffen, What are memories made of? How Polycomb and Trithorax proteins mediate epigenetic memory. 2014, Pubmed
Thuret, Analysis of neural progenitors from embryogenesis to juvenile adult in Xenopus laevis reveals biphasic neurogenesis and continuous lengthening of the cell cycle. 2015, Pubmed , Xenbase
Tsubouchi, Reprogramming and the pluripotent stem cell cycle. 2013, Pubmed
Vastenhouw, Chromatin signature of embryonic pluripotency is established during genome activation. 2010, Pubmed
Villar-Garea, Developmental regulation of N-terminal H2B methylation in Drosophila melanogaster. 2012, Pubmed
Wang, Histone modifications and mitosis: countermarks, landmarks, and bookmarks. 2013, Pubmed
Weintraub, The myoD gene family: nodal point during specification of the muscle cell lineage. 1991, Pubmed
Wen, Histone methyltransferase Dot1L plays a role in postembryonic development in Xenopus tropicalis. 2015, Pubmed , Xenbase
Willems, The functional diversity of Aurora kinases: a comprehensive review. 2018, Pubmed
Wu, Dynamic regulation of the PR-Set7 histone methyltransferase is required for normal cell cycle progression. 2010, Pubmed
Xu, A model for mitotic inheritance of histone lysine methylation. 2011, Pubmed
Yeo, A role for programmed cell death during early neurogenesis in xenopus. 2003, Pubmed , Xenbase
Zee, Origins and formation of histone methylation across the human cell cycle. 2012, Pubmed
Zhang, The interplay of histone modifications - writers that read. 2015, Pubmed
