Click here to close
Hello! We notice that you are using Internet Explorer, which is not supported by Xenbase and may cause the site to display incorrectly.
We suggest using a current version of Chrome,
FireFox, or Safari.
???displayArticle.abstract???
24-Methylene-cholesterol is a necessary substrate for the biosynthesis of physalin and withanolide, which show promising anticancer activities. It is difficult and costly to prepare 24-methylene-cholesterol via total chemical synthesis. In this study, we engineered the biosynthesis of 24-methylene-cholesterol in Saccharomyces cerevisiae by disrupting the two enzymes (i.e., ERG4 and ERG5) in the yeast's native ergosterol pathway, with ERG5 being replaced with the DHCR7 (7-dehydrocholesterol reductase) enzyme. Three versions of DHCR7 originating from different organisms-including the DHCR7 from Physalis angulata (PhDHCR7) newly discovered in this study, as well as the previously reported OsDHCR7 from Oryza sativa and XlDHCR7 from Xenopus laevis-were assessed for their ability to produce 24-methylene-cholesterol. XlDHCR7 showed the best performance, producing 178 mg/L of 24-methylene-cholesterol via flask-shake cultivation. The yield could be increased up to 225 mg/L, when one additional copy of the XlDHCR7 expression cassette was integrated into the yeast genome. The 24-methylene-cholesterol-producing strain obtained in this study could serve as a platform for characterizing the downstream enzymes involved in the biosynthesis of physalin or withanolide, given that 24-methylene-cholesterol is a common precursor of these chemicals.
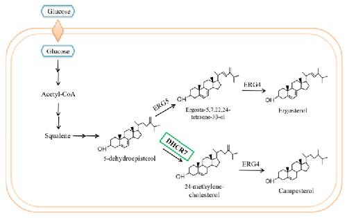
Figure 1. Schematic diagram illustrating the construction of the campesterol and 24-methylene-cholesterol biosynthesis pathways, based on the native ergosterol biosynthesis pathway in Saccharomyces cerevisiae. The campesterol biosynthesis pathway was constructed by disrupting ERG5 and expressing the heterologous 7-dehydrocholesterol reductase gene (DHCR7). The 24-methylene-cholesterol biosynthetic pathway was constructed from the campesterol biosynthesis pathway via the disruption of ERG4. Sterol biosynthesis uses a common acetyl-CoA precursor.
Figure 2. Full-length amino acid sequence alignment of DHCR7s from Physalis angulata, Xenopus laevis, and Oryza sativa. Blue triangles represent the putative NADPH binding sites; red pentagrams represent the putative binding sites for the hydroxyl groups of sterol acceptors.
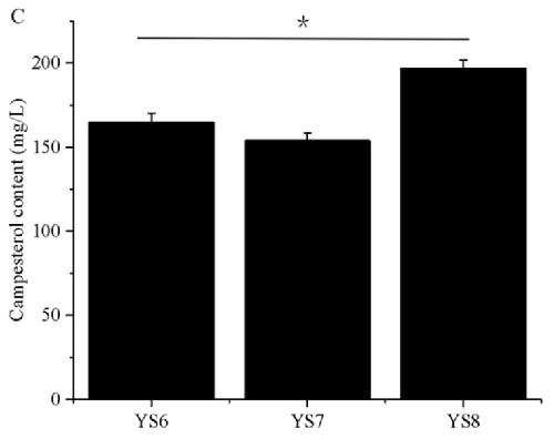
Figure 3. Identification of fermentation products in the recombinant strains via gas chromatography–mass spectrometry (GC–MS): (A) GC–MS-extracted ion profiles of the control strain YS5 producing ergosterol and YS6–8 strains producing the campesterol product. (B) Mass-fragmented patterns of the campesterol and ergosterol products. (C) Quantification of the campesterol product extracted from the strains of YS6, YS7, and YS8. Error bars represent standard deviations (n = 3). Asterisks indicate significant differences compared to YS6 and YS7; Student’s t-test, * p < 0.05.
Figure 4. Identification of fermentation products in recombinant yeast strains via gas chromatography–mass spectrometry (GC–MS): (A) GC–MS patterns of the parent strain YS5 producing ergosterol, and YS9–11 strains producing the 24-methylene-cholesterol product. (B) Mass chromatography of the 24-methylene-cholesterol product as well as its authentic standard. (C) Quantification of the 24-methylene-cholesterol produced by the strains YS9, YS10, and YS11. Error bars represent standard deviations (n = 3). Asterisks indicate significant differences compared to YS9 and YS10; Student’s t-test, * p < 0.05.
Figure 5. Real-time PCR analysis of XlDHCR7 in strains YS11 and YS12, with different 24-methylene-cholesterol yields: (A) YS12 has 1.55-fold higher mRNA levels of XlDHCR7 compared to YS11. (B) 24-Methylene-cholesterol content in the strains with heterologous expression of XlDHCR7—YS12 compared with YS11. An additional copy of XlDHCR7 increased 24-methylene-cholesterol production by 23%. Error bars represent standard deviations (n = 3). Asterisks indicate significant differences compared to YS11; Student’s t-test, * p < 0.05.
Figure 6. Characteristics of the optimal strain YS12 in shake-flask fermentation with glucose. Error bars represent standard deviations (n = 3).
BARBIER,
Isolation of 24-methylene-cholesterol from honey bees (Apis mellifica L.
1959, Pubmed
BARBIER,
Isolation of 24-methylene-cholesterol from honey bees (Apis mellifica L.
1959,
Pubmed BARBIER,
[Isolation of 24-methylene cholesterol from the pollen of different plants].
1960,
Pubmed Damu,
Isolation, structures, and structure - cytotoxic activity relationships of withanolides and physalins from Physalis angulata.
2007,
Pubmed Dar,
Attenuation of Glutamate-Induced Excitotoxicity by Withanolide-A in Neuron-Like Cells: Role for PI3K/Akt/MAPK Signaling Pathway.
2018,
Pubmed Demonty,
Continuous dose-response relationship of the LDL-cholesterol-lowering effect of phytosterol intake.
2009,
Pubmed Du,
Engineering Yarrowia lipolytica for Campesterol Overproduction.
2016,
Pubmed
,
Xenbase Dubey,
Improving the inhibition of β-amyloid aggregation by withanolide and withanoside derivatives.
2021,
Pubmed Fukushima,
Comparative Characterization of the Leaf Tissue of Physalis alkekengi and Physalis peruviana Using RNA-seq and Metabolite Profiling.
2016,
Pubmed He,
Overexpression of a sterol C-24(28) reductase increases ergosterol production in Saccharomyces cerevisiae.
2003,
Pubmed Karst,
Ertosterol biosynthesis in Saccharomyces cerevisiae: mutants deficient in the early steps of the pathway.
1977,
Pubmed Kikuchi,
Collection, mapping, and annotation of over 28,000 cDNA clones from japonica rice.
2003,
Pubmed Lian,
Recent advances in metabolic engineering of Saccharomyces cerevisiae: New tools and their applications.
2018,
Pubmed Ma,
Physalin B not only inhibits the ubiquitin-proteasome pathway but also induces incomplete autophagic response in human colon cancer cells in vitro.
2015,
Pubmed Magalhães,
In-vitro and in-vivo antitumour activity of physalins B and D from Physalis angulata.
2006,
Pubmed Prabhu,
The sterol-based transcriptional control of human 7-dehydrocholesterol reductase (DHCR7): Evidence of a cooperative regulatory program in cholesterol synthesis.
2014,
Pubmed Qian,
Increased campesterol synthesis by improving lipid content in engineered Yarrowia lipolytica.
2020,
Pubmed Ro,
Production of the antimalarial drug precursor artemisinic acid in engineered yeast.
2006,
Pubmed Shin,
Physalin A regulates the Nrf2 pathway through ERK and p38 for induction of detoxifying enzymes.
2019,
Pubmed Song,
Engineering the lactococcal mevalonate pathway for increased sesquiterpene production.
2014,
Pubmed Sun,
Identification of novel knockout targets for improving terpenoids biosynthesis in Saccharomyces cerevisiae.
2014,
Pubmed Tan,
Rational synthetic pathway refactoring of natural products biosynthesis in actinobacteria.
2017,
Pubmed Tsukagoshi,
Ajuga Δ24-Sterol Reductase Catalyzes the Direct Reductive Conversion of 24-Methylenecholesterol to Campesterol.
2016,
Pubmed Wriessnegger,
Lipid analysis of mitochondrial membranes from the yeast Pichia pastoris.
2009,
Pubmed Ye,
Engineering microbes for isoprene production.
2016,
Pubmed Young,
Combinatorial metabolic pathway assembly approaches and toolkits for modular assembly.
2021,
Pubmed Zweytick,
Biochemical characterization and subcellular localization of the sterol C-24(28) reductase, erg4p, from the yeast saccharomyces cerevisiae.
2000,
Pubmed