Click here to close
Hello! We notice that you are using Internet Explorer, which is not supported by Xenbase and may cause the site to display incorrectly.
We suggest using a current version of Chrome,
FireFox, or Safari.
???displayArticle.abstract???
Xenopus laevis tadpoles possess high regenerative ability and can regenerate functional tails after amputation. An early event in regeneration is the induction of undifferentiated cells that form the regenerated tail. We previously reported that interleukin-11 (il11) is upregulated immediately after tail amputation to induce undifferentiated cells of different cell lineages, indicating a key role of il11 in initiating tail regeneration. As Il11 is a secretory factor, Il11 receptor-expressing cells are thought to mediate its function. X. laevis has a gene annotated as interleukin 11 receptor subunit alpha on chromosome 1L (il11ra.L), a putative subunit of the Il11 receptor complex, but its function has not been investigated. Here, we show that nuclear localization of phosphorylated Stat3 induced by Il11 is abolished in il11ra.L knocked-out culture cells, strongly suggesting that il11ra.L encodes an Il11 receptor component. Moreover, knockdown of il11ra.L impaired tadpoletail regeneration, suggesting its indispensable role in tail regeneration. We also provide a model showing that Il11 functions via il11ra.L-expressing cells in a non-cell autonomous manner. These results highlight the importance of il11ra.L-expressing cells in tail regeneration.
Figure 1. X. laevis Il11ra.L functions as an Il11 receptor component. (A) Gene expression involved in Il11 signaling in the XTC-YF cell line. (BâD) Oocyte culture supernatants were subjected to SDS-PAGE, followed by (B) CBB staining and (C) Western blotting using anti-FLAG antibody and (D) mouse IgG2b isotype control. Size of the synthesized proteins estimated by their amino acid sequences was: Il11, 22.2 kDa; Lif, 25.5 kDa; and GST, 28.4 kDa. Arrowheads in (B) indicate the synthesized proteins. The 66.4-kDa bands (asterisk) in (B) the CBB staining represent BSA contained in the culture medium. (EâQ) Detection of XTC-YF P-Stat3 nuclear translocation by immunostaining. (Top) P-Stat3 signal is shown in red. (Middle) Nuclei were stained with DAPI. (Bottom) Merged images of P-Stat3 and DAPI staining. Data shown are representative of 3 independent experiments (except the experimental condition of Il11 50 ng/mL; nâ=â2). Scale bars: 50 µm. Raw images of the gel and blots are shown in Fig. S8.
Figure 3. il11ra.L is widely and constitutively expressed in the intact tadpole and regenerating tail. (A) In situ hybridization of il11ra.L on a section of intact tadpole (upper) with an antisense probe, and (lower) with a sense probe. Anterior is left and dorsal is up. Scale bars: 500 µm. nâ=â4. (BâD) In situ hybridization of il11ra.L in a section of a regenerating tail. Anterior is left and dorsal is up. Arrowheads indicate notable signals. Scale bars: 500 µm. High magnification images of boxed areas in (C) and (D) are shown below. Scale bars: 100 µm. 1 dpa, nâ=â5; 3 dpa, nâ=â4; 5 dpa, nâ=â5.
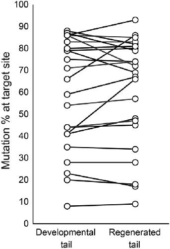
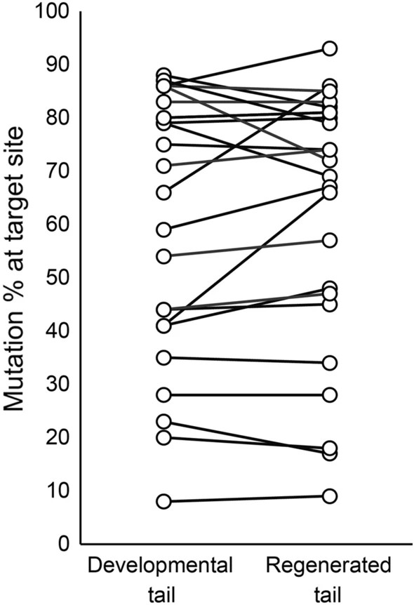
Figure 4. il11ra.L KO cells can contribute to form the regenerated tail. Estimated mutation ratio at the guide RNA #1 target site of the developmental and regenerated tail of each individual is shown. Linked points represent the same individual. nâ=â24. Pâ=â0.44, paired t-test. Representative result of 2 experiments is shown. The result of the second experiment is shown in Fig. S7.
Supplementary Fig. S1 Expression of Il11 signaling molecules in XTC-YF culture cell line and establishment of XTC-YF il11ra.L KO cell lines. (A) Expression levels of genes related to Il11 signaling measured by quantitative RT-PCR using 3 lots of RNA extracted from XTC-YF. Relative expression levels of the genes normalized by those of ef1a are shown in logarithmic scale. Bars indicate the mean value. (B and C) Genomic il11ra.L sequences of established XTC-YF il11ra.L KO cell lines. (B) KO1 and KO2 were established with guide RNA #1, (C) KO3 and KO4 were established with guide RNA #2. PAM, protospacer adjacent motif.
Supplementary Fig. S2 Construction of mRNAs of (left) N-terminal 3Ãflag-tagged il11.L, (center) N-terminal 3Ãflag-tagged gst, and (right) C-terminal flag-tagged lif.L.
Supplementary Fig. S3 Heteroduplex mobility assay (HMA) for detection of gene editing. (A) Schematic figure of HMA. (B and C) HMA on amputated tails. Genomic loci including the target site of (B) guide RNA #1 or (C) #2 were amplified by PCR. Smeared bands representing multiple heteroduplexes are shown from the PCR products derived from embryos injected with guide RNA and cas9 mRNA (KD), whereas single bands are shown from control embryos injected with only cas9 mRNA (cas9). Numbers represent the serial numbers of samples. M, Marker lane. Full-length gel images are presented in Fig. S9.
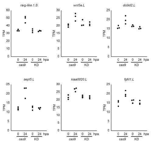
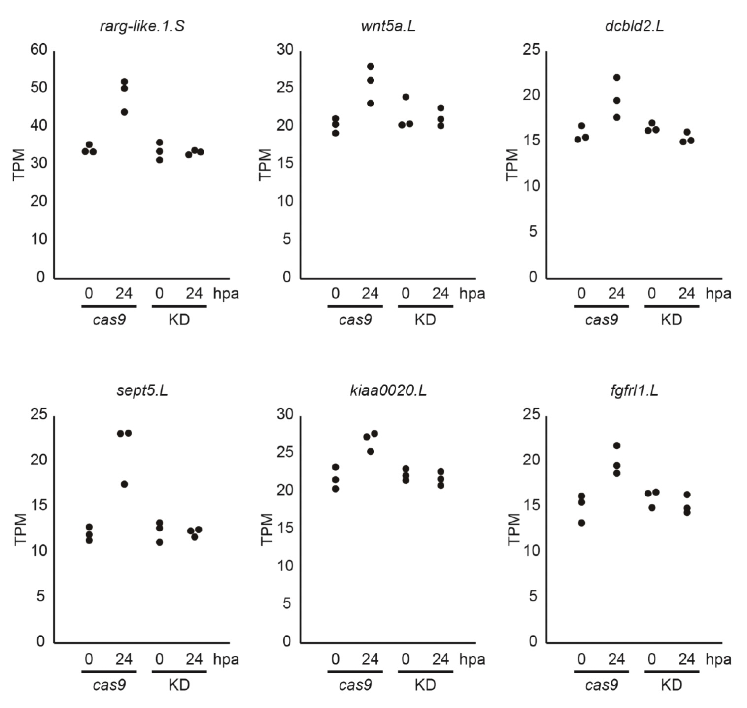
Supplementary Fig. S4 Expression of genes that are significantly upregulated in cas9 24 hpatail stumps compared with cas9 0 hpatail, and 0 and 24 hpail11ra.L KD tail stumps. TPM, transcriptions per million.
Supplementary Fig. S5 il11ra.L expression in single cell RNA-seq of regenerating tails reported by Aztekin et al.1 is visualized with the web platform (Xenopus tail regeneration at single cell resolution; https://marionilab.cruk.cam.ac.uk/XenopusRegeneration/).
Supplementary Fig. S6 Schematic of the putative mechanism of Il11 function. (A) Putative models of the mechanism of Il11 function. Direct model; Il11 directly activates stem cells or precursors of each tissue in the tail. Indirect model; Il11 triggers downstream events that activate stem cells or precursors of each tissue in the tail. Il11R, Il11 receptor complex. (B) Experimental procedure.
(C) Putative behaviors of il11ra.L KO cells in both models and results of the mutation ratio comparison.
Supplementary Fig. S7 Second result of the mutation ratio estimation of developmental and regenerated tails. n=16. P=0.79, paired t-test.
Akira,
Molecular cloning of APRF, a novel IFN-stimulated gene factor 3 p91-related transcription factor involved in the gp130-mediated signaling pathway.
1994, Pubmed
Akira,
Molecular cloning of APRF, a novel IFN-stimulated gene factor 3 p91-related transcription factor involved in the gp130-mediated signaling pathway.
1994,
Pubmed Andre,
Wnt5a and Wnt11 regulate mammalian anterior-posterior axis elongation.
2015,
Pubmed Aztekin,
Appendage regeneration is context dependent at the cellular level.
2021,
Pubmed Aztekin,
Identification of a regeneration-organizing cell in the Xenopus tail.
2019,
Pubmed
,
Xenbase Beck,
Beyond early development: Xenopus as an emerging model for the study of regenerative mechanisms.
2009,
Pubmed
,
Xenbase Chang,
Genome editing with RNA-guided Cas9 nuclease in zebrafish embryos.
2013,
Pubmed Chen,
Control of muscle regeneration in the Xenopus tadpole tail by Pax7.
2006,
Pubmed
,
Xenbase Dehairs,
CRISP-ID: decoding CRISPR mediated indels by Sanger sequencing.
2016,
Pubmed Delwart,
Genetic relationships determined by a DNA heteroduplex mobility assay: analysis of HIV-1 env genes.
1993,
Pubmed Ernst,
Molecular pathways: IL11 as a tumor-promoting cytokine-translational implications for cancers.
2014,
Pubmed Fang,
Translational profiling of cardiomyocytes identifies an early Jak1/Stat3 injury response required for zebrafish heart regeneration.
2013,
Pubmed Gargioli,
Cell lineage tracing during Xenopus tail regeneration.
2004,
Pubmed
,
Xenbase Gearing,
Molecular cloning and expression of cDNA encoding a murine myeloid leukaemia inhibitory factor (LIF).
1987,
Pubmed Hardcastle,
baySeq: empirical Bayesian methods for identifying differential expression in sequence count data.
2010,
Pubmed Hatta-Kobayashi,
Acute phase response in amputated tail stumps and neural tissue-preferential expression in tail bud embryos of the Xenopus neuronal pentraxin I gene.
2016,
Pubmed
,
Xenbase Hwang,
Efficient genome editing in zebrafish using a CRISPR-Cas system.
2013,
Pubmed Karow,
Mediation of interleukin-11-dependent biological responses by a soluble form of the interleukin-11 receptor.
1996,
Pubmed Kato,
Low-temperature incubation improves both knock-in and knock-down efficiencies by the CRISPR/Cas9 system in Xenopus laevis as revealed by quantitative analysis.
2021,
Pubmed
,
Xenbase Kawakami,
Involvement of Wnt-5a in chondrogenic pattern formation in the chick limb bud.
1999,
Pubmed Kilian,
The role of Ppt/Wnt5 in regulating cell shape and movement during zebrafish gastrulation.
2003,
Pubmed Kim,
Graph-based genome alignment and genotyping with HISAT2 and HISAT-genotype.
2019,
Pubmed Liao,
featureCounts: an efficient general purpose program for assigning sequence reads to genomic features.
2014,
Pubmed Lin,
Requirement for Wnt and FGF signaling in Xenopus tadpole tail regeneration.
2008,
Pubmed
,
Xenbase Mahboubi,
IL-11 activates human endothelial cells to resist immune-mediated injury.
2000,
Pubmed Matadeen,
The dynamics of signal triggering in a gp130-receptor complex.
2007,
Pubmed Naito,
CRISPRdirect: software for designing CRISPR/Cas guide RNA with reduced off-target sites.
2015,
Pubmed Nicola,
Leukemia inhibitory factor (LIF).
2015,
Pubmed Phipps,
Model systems for regeneration: Xenopus.
2020,
Pubmed
,
Xenbase Porrello,
Transient regenerative potential of the neonatal mouse heart.
2011,
Pubmed Pudney,
Establishment of a cell line (XTC-2) from the South African clawed toad, Xenopus laevis.
1973,
Pubmed
,
Xenbase Schafer,
IL-11 is a crucial determinant of cardiovascular fibrosis.
2017,
Pubmed Schindelin,
Fiji: an open-source platform for biological-image analysis.
2012,
Pubmed Schmelzer,
Glycosylation pattern and disulfide assignments of recombinant human differentiation-stimulating factor.
1993,
Pubmed Slack,
Regeneration research today.
2003,
Pubmed Stahl,
Choice of STATs and other substrates specified by modular tyrosine-based motifs in cytokine receptors.
1995,
Pubmed Stoick-Cooper,
Advances in signaling in vertebrate regeneration as a prelude to regenerative medicine.
2007,
Pubmed Sugiura,
Differential gene expression between the embryonic tail bud and regenerating larval tail in Xenopus laevis.
2004,
Pubmed
,
Xenbase Sugiura,
Xenopus Wnt-5a induces an ectopic larval tail at injured site, suggesting a crucial role for noncanonical Wnt signal in tail regeneration.
2009,
Pubmed
,
Xenbase Tanaka,
The cellular basis for animal regeneration.
2011,
Pubmed
,
Xenbase Taniguchi,
Spinal cord is required for proper regeneration of the tail in Xenopus tadpoles.
2008,
Pubmed
,
Xenbase Tsujioka,
Unique gene expression profile of the proliferating Xenopus tadpole tail blastema cells deciphered by RNA-sequencing analysis.
2015,
Pubmed
,
Xenbase Tsujioka,
interleukin-11 induces and maintains progenitors of different cell lineages during Xenopus tadpole tail regeneration.
2017,
Pubmed
,
Xenbase Waléria-Aleixo,
Heteroduplex mobility assay for rapid, sensitive and specific detection of mycobacteria.
2000,
Pubmed Wei,
Neurotrophins and the anti-inflammatory agents interleukin-4 (IL-4), IL-10, IL-11 and transforming growth factor-beta1 (TGF-beta1) down-regulate T cell costimulatory molecules B7 and CD40 on cultured rat microglia.
1999,
Pubmed Yamaguchi,
A Wnt5a pathway underlies outgrowth of multiple structures in the vertebrate embryo.
1999,
Pubmed Yin,
Involvement of IL-6 signal transducer gp130 in IL-11-mediated signal transduction.
1993,
Pubmed Zhong,
Stat3: a STAT family member activated by tyrosine phosphorylation in response to epidermal growth factor and interleukin-6.
1994,
Pubmed