Click here to close Hello! We notice that you are using Internet Explorer, which is not supported by Xenbase and may cause the site to display incorrectly. We suggest using a current version of Chrome, FireFox, or Safari.
XB-ART-59003
Gene 2022 Apr 20;819:146236. doi: 10.1016/j.gene.2022.146236.
Show Gene links Show Anatomy links

Pro- and anti-apoptotic microRNAs are differentially regulated during estivation in Xenopus laevis.

Biggar Y, Ingelson-Filpula WA, Storey KB.


???displayArticle.abstract???
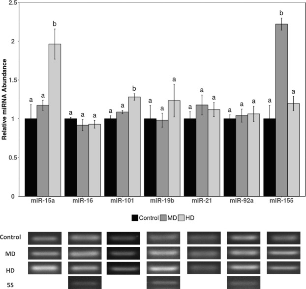
Xenopus laevis, the African clawed frog, undergoes seasonal estivation to survive periods of drought when its lake-bed habitats dry up. The frog can lose ∼30% of its total body water, leading to conditions of impaired blood flow and ischemia which risk cellular survival under these harsh conditions. MicroRNAs are short, noncoding, single-stranded RNAs 21-24 nt long that have been widely implicated in hypometabolic responses, and serve functions including apoptosis survival. The levels of three pro-apoptotic and four anti-apoptotic miRNAs were measured in liver and skeletal muscle of estivating X. laevis, and bioinformatic analysis was performed to verify potential mRNA targets of these miRNAs. Members of pro-apoptotic miRNAs miR-15a, miR-16, and miR-101 showed upregulation as a result of dehydration stress, while anti-apoptotic miRNAs miR-19b, miR-21, miR-92a, and miR-155 showed differential regulation between the two tissues. Together, these miRNAs act in a more diverse fashion than arbitrarily pro- or anti-apoptotic, and encompass functions ranging from the inhibition of cell proliferation through cell cycle arrest to the prevention of skeletal muscle atrophy.

???displayArticle.pubmedLink??? 35114277
???displayArticle.link??? Gene


Species referenced: Xenopus laevis
Genes referenced: bcl2 bcl2l11 fh mcl1 pdcd4 pten
GO keywords: apoptotic process


???attribute.lit??? ???displayArticles.show???