Click here to close Hello! We notice that you are using Internet Explorer, which is not supported by Xenbase and may cause the site to display incorrectly. We suggest using a current version of Chrome, FireFox, or Safari.
XB-ART-59028
Front Genet 2022 Jan 01;13:766424. doi: 10.3389/fgene.2022.766424.
Show Gene links Show Anatomy links

Activation of DNA Transposons and Evolution of piRNA Genes Through Interspecific Hybridization in Xenopus Frogs.

Suda K, Hayashi SR, Tamura K, Takamatsu N, Ito M.


???displayArticle.abstract???
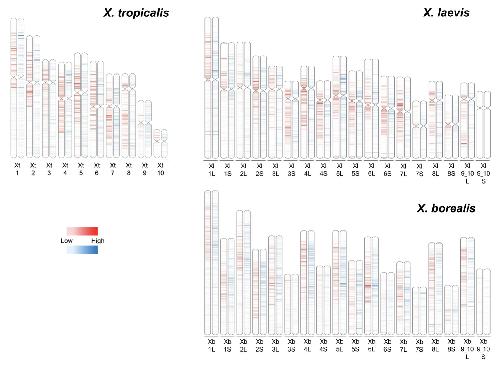
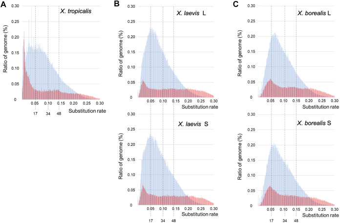
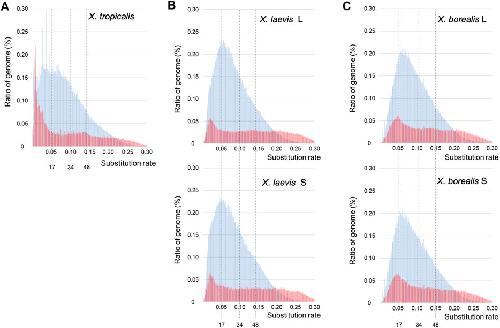
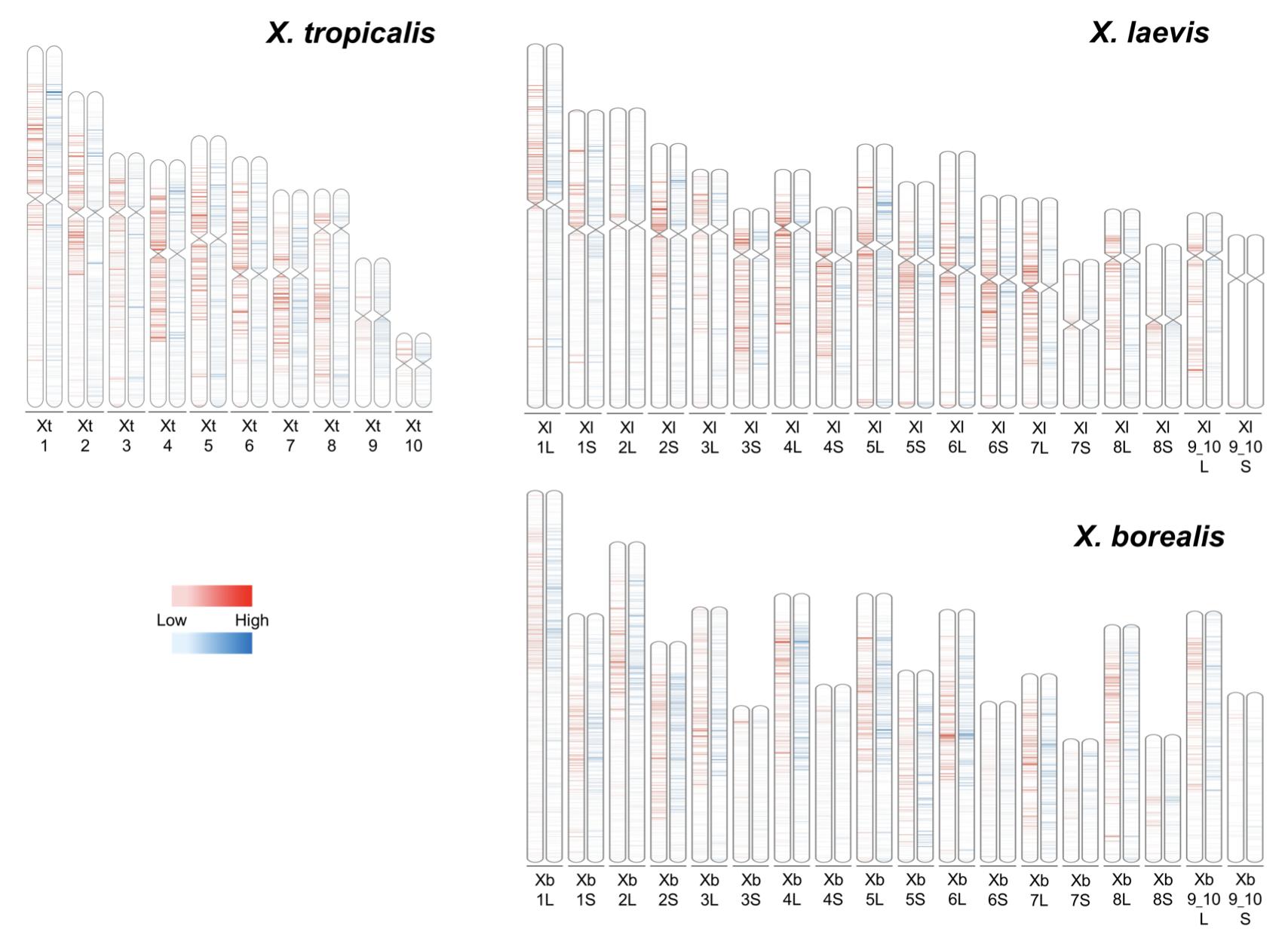
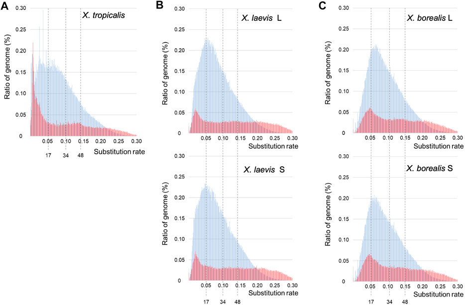
Interspecific hybridization between two closely related species sometimes resulted in a new species with allotetraploid genomes. Many clawed frog species belonging to the Xenopus genus have diverged from the allotetraploid ancestor created by the hybridization of two closely related species with the predicted L and S genomes. There are species-specific repeated sequences including transposable elements in each genome of organisms that reproduce sexually. To understand what happened on and after the hybridization of the two distinct systems consisting of repeated sequences and their corresponding piRNAs, we isolated small RNAs from ovaries and testes of three Xenopus species consisting of allotetraploid X. laevis and X. borealis and diploid X. tropicalis as controls. After a comprehensive sequencing and selection of piRNAs, comparison of their sequences showed that most piRNA sequences were different between the ovaries and testes in all three species. We compared piRNA and genome sequences and specified gene clusters for piRNA expression in each genome. The synteny and homology analyses showed many distinct piRNA clusters among the three species and even between the two L and/or S subgenomes, indicating that most clusters of the two allotetraploid species changed after hybridization. Moreover, evolutionary analysis showed that DNA transposons including Kolobok superfamily might get activated just after hybridization and then gradually inactivated. These findings suggest that some DNA transposons and their piRNAs might greatly influence allotetraploid genome evolution after hybridization.

???displayArticle.pubmedLink??? 35173768
???displayArticle.pmcLink??? PMC8841583
???displayArticle.link??? Front Genet


Species referenced: Xenopus tropicalis Xenopus laevis Xenopus borealis
Genes referenced: tes
GO keywords: transposon integration [+]


???attribute.lit??? ???displayArticles.show???
References [+] :
Alonge, RaGOO: fast and accurate reference-guided scaffolding of draft genomes. 2019, Pubmed