XB-ART-59475
J Biol Chem
2022 Jan 23;2991:102740. doi: 10.1016/j.jbc.2022.102740.
Show Gene links
Show Anatomy links
Seawater fish use an electrogenic boric acid transporter, Slc4a11A, for boric acid excretion by the kidney.
Kato A, Kimura Y, Kurita Y, Chang MH, Kasai K, Fujiwara T, Hirata T, Doi H, Hirose S, Romero MF.
???displayArticle.abstract???
Boric acid is a vital micronutrient in animals; however, excess amounts are toxic to them. Little is known about whole-body boric acid homeostasis in animals. Seawater (SW) contains 0.4 mM boric acid, and since marine fish drink SW, their urinary system was used here as a model of the boric acid excretion system. We determined that the bladder urine of a euryhaline pufferfish (river pufferfish, Takifugu obscurus) acclimated to fresh water and SW contained 0.020 and 19 mM of boric acid, respectively (a 950-fold difference), indicating the presence of a powerful excretory renal system for boric acid. Slc4a11 is a potential animal homolog of the plant boron transporter BOR1; however, mammalian Slc4a11 mediates H+ (OH-) conductance but does not transport boric acid. We found that renal expression of the pufferfish paralog of Slc4a11, Slc4a11A, was markedly induced after transfer from fresh water to SW, and Slc4a11A was localized to the apical membrane of kidney tubules. When pufferfish Slc4a11A was expressed in Xenopus oocytes, exposure to media containing boric acid and a voltage clamp elicited whole-cell outward currents, a marked increase in pHi, and increased boron content. In addition, the activity of Slc4a11A was independent of extracellular Na+. These results indicate that pufferfish Slc4a11A is an electrogenic boric acid transporter that functions as a B(OH)4- uniporter, B(OH)3-OH- cotransporter, or B(OH)3/H+ exchanger. These observations suggest that Slc4a11A is involved in the kidney tubular secretion of boric acid in SW fish, probably induced by the negative membrane potential and low pH of urine.
???displayArticle.pubmedLink??? 36435196
???displayArticle.pmcLink??? PMC9803922
???displayArticle.link??? J Biol Chem
???displayArticle.grants??? [+]
P50 DK083007 NIDDK NIH HHS , R01 DK092408 NIDDK NIH HHS , R01 DK128844 NIDDK NIH HHS , R01 EY017732 NEI NIH HHS
Species referenced: Xenopus laevis
Genes referenced: slc4a11
GO keywords: excretion [+]
???attribute.lit??? ???displayArticles.show???
|
|
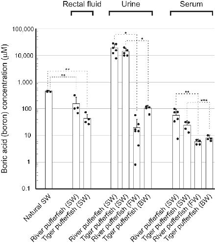
Figure 1. Urinary boric acid excretion by pufferfish in seawater (SW). Boric acid or boron concentrations of serum (n = 4–6), urine (n = 6–7), and rectal fluid (n = 4) of pufferfish acclimated to brackish water (BW), fresh water (FW), and natural SW are shown. Dots represent individual data. Bar graphs represent means ± SD. ∗p < 0.0001, ∗∗p < 0.0002, and ∗p < 0.05. |
|
|
Figure 2. Renal expression of Slc4a11A. A, phylogenetic tree of boric acid transporters in relation to the other human SLC4 family members. The boric acid transport activity of Takifugu Slc4a11A is shown in this study. The scale bar represents 0.1 amino acid substitution per site. B, tissue distribution of Slc4a11A and Slc4a11B. Semiquantitative RT–PCR was performed on various tissues of river pufferfish. Numbers indicate PCR cycles. Results from 27 PCR cycles show tissues with relatively high expression of the indicated genes, and those of 32 cycles show all tissues expressing the indicated genes from low to high levels (111, 162, 65). C, real-time PCR quantification of mRNAs for Slc4a11A and Slc4a11B in the kidneys of river pufferfish acclimated to FW and SW. Values are expressed relative to GAPDH. Dots represent individual data. Bar graphs represent means ± SD, n = 5. ∗p < 0.05. D, in situ hybridization of Slc4a11A and Slc4a11B in the kidney of river pufferfish in SW. Sense probes did not show labeling (data not shown). AE, anion exchanger; c, chicken; F, FW; NBC, Na+-HCO3– cotransporter; NDCBE, Na+-driven Cl–/HCO3– exchanger; S, SW; SLC4, solute carrier family 4; z, zebrafish. |
|
|
Figure 3. Multiple alignment of amino acid sequences of Slc4a11 family. The amino acid residues that are conserved among Slc4a11 family members are shaded. Transmembrane (TM) regions are indicated by solid bars labeled as TM1–TM12. The accession numbers of mfSlc4a11A, mfSlc4a11B, and hSLC4A11 are AB534190, AB534191, and NM_032034, respectively. h, human; mf, mefugu. Red box of mfSlc4a11A indicates the peptide antigen used to generate the mfSlc4a11A antibody. |
|
|
Figure 4. Validation of the antibody against Slc4a11. A, Western blot analysis of HEK293 cells transfected with pcDNA3 (mock), pcDNA3-Slc4a11A, or pcDNA3-Slc4a11B. The membrane fractions of the cells were incubated with (+) or without (–) glycosidases and analyzed using anti-Slc4a11 antiserum (left) and antigen-absorbed antiserum (right). B, polarized distribution of Slc4a11A and Slc4a11B in MDCK cells. Anti-Slc4a11 antiserum (green), anti-ZO-1 antibody (red), and Hoechst 33342 (blue) were used to stain MDCK cells transiently transfected with pcDNA3-Slc4a11A or pcDNA3-Slc4a11B. Confocal XY maximum projection image and XZ (vertical) sections are shown. C-E, anti-Slc4a11 antiserum (left panel), preimmune serum (center panel), or antigen-absorbed antiserum (right panel) (green) were used with anti-ZO-1 antibody (red) and Hoechst 33342 (blue) to stain MDCK cells transiently transfected with pcDNA3-Slc4a11A, pcDNA3-Slc4a11B, or pcDNA3 (mock). Confocal XY maximum projection images are shown. |
|
|
Figure 5. Immunolocalization of Slc4a11 in renal tubules of SW-acclimated river pufferfish. Serial frozen sections of mefugu kidney were stained with anti-Slc4a11 antiserum (A and C) or antigen-absorbed anti-Slc4a11 antiserum (B and D) (green), anti-Na+-K+-ATPase (NKA) antibody (red), and Hoechst (blue). Bars represent 20 μm. c, collecting duct; p, proximal tubule; Slc4, solute carrier family 4; SW, seawater. |
|
|
Figure 6. Boric acid transport mediated by Slc4a11A. A, representative traces of boric acid–elicited currents and changes in intracellular pH of voltage-clamped oocytes (holding potential Vh: −60 mV) injected with Slc4a11A or water (control). B, current–voltage (I–V) relationships of oocytes expressing Slc4a11A and control oocytes in the presence or the absence of 20 mM boric acid. Values are means ± SD, n = 5 to 8. C, representative traces of boric acid–elicited changes of membrane potential (Vm) of oocytes injected with Slc4a11A and water (control). D, Michaelis–Menten curve fitted to boric acid–elicited currents of oocytes expressing Slc4a11A at +60 mV. Boric acid–elicited currents were measured by the addition of 1, 3, 5, 10, and 20 mM boric acid and were calculated as I(boric acid) – I(no boric acid). Maximum current (Imax) and Michaelis–Menten constant (Km) are shown. Values are means ± SEM, n = 3. E, boric acid uptake by voltage-clamped oocytes. Slc4a11A oocytes and control oocytes were voltage clamped (Vh: 0 mV) in ND96 containing 10 mM boric acid for 10 min, and the amount of boron in each oocyte was measured by ICP-MS. Dots represent individual data. Bar graphs represent means ± SD, n = 6. F, time course of boric acid uptake by unclamped oocytes. Oocytes were incubated in an ND96 medium containing 20 mM boric acid for 30, 60, and 90 min, and the amount of boron in each oocyte was measured by ICP-MS. Values are means ± SD, n = 4. G, boric acid uptake by unclamped oocytes. Oocytes were incubated in test solutions for 24 to 40 h, and the amount of boron in each oocyte was measured by ICP-MS. Dots represent individual data. Bar graphs represent means ± SD, n = 4. No VC, unclamped. H, rates of boric acid influx in voltage-clamped (Vh: 0 mV) and unclamped oocytes. The rates were calculated from data shown in (E and F). Dots represent individual data. Bar graphs represent means ± SD, n = 4 to 6. I, time course of boric acid efflux by unclamped oocyte. Oocytes were incubated in an ND96 medium containing 20 mM boric acid for 24 h until saturated, followed by incubation in ND96 for 5, 10, and 20 min, and the amount of boron in each oocyte was measured by ICP-MS. Values are means ± SD, n = 4. ICP-MS, inductively coupled plasma mass spectrometry; Slc4, solute carrier family 4. |
|
|
Figure 7. Voltage-clamp analyses of Na+-independent electrogenic boric acid transport activity of Slc4a11A. A, current–voltage (I–V) relationships of Slc4a11A or water-injected (control) oocytes in a solution containing 20 mM boric acid and various cations. Boric acid–elicited currents calculated by subtraction are shown (n = 3 to 6). B, dose-dependent inhibition of boric acid transport activity of Slc4a11A by NMDG. Boric acid–elicited currents of Slc4a11A oocytes (holding potential Vh: +60 mV) in the presence of various concentrations of NMDG are shown. Values are means ± SD (n = 4 to 10). NMDG, N-methyl-d-glucamine; Slc4, solute carrier family 4. |
|
|
Figure 8. Ion-selective microelectrode analysis during Vm clamping and pH dependence of Na+-independent electrogenic boric acid transport activity of Slc4a11A. Representative traces of boric acid–elicited currents (holding potential Vh: −60 or 0 mV) and changes in intracellular pH of Slc4a11A (A) and control (B) oocytes. Oocytes were analyzed in ND96 (indicated by Na+) or similar media in which Na+ was replaced with Li+, choline, or K+. C, representative traces of boric acid–elicited currents (holding potential, −20 mV) and intracellular [Na+] of Slc4a11A oocyte. D, current–voltage (I–V) relationship of 5 mM boric acid–elicited currents in various pH conditions. Values are means (n = 4 to 5). Slc4, solute carrier family 4. |
|
|
Figure 9. Activity of Slc4a11A in HEK293 and yeast cells. A, the whole-cell current was measured in untransfected HEK293 cells (control) or HEK293 cells expressing eGFP-Slc4a11A. The cells were incubated in a solution containing 20 mM boric acid and 145 mM Na+ or Na+-free media in which all Na+ was replaced with choline or NMDG. B, concentration of boron in the yeast cells expressing Slc4a11s or AtBOR1. Cells were incubated in a medium containing 20 mM boric acid; boron concentration in these cells was measured by ICP-MS. Dots represent individual data. Values are means ± SD. ∗p < 0.002. eGFP, enhanced GFP; HEK293, human embryonic kidney 293 cell line; ICP-MS, inductively coupled plasma mass spectrometry; NMDG, N-methyl-d-glucamine; Slc4, solute carrier family 4. |
|
|
Figure 10. Model of electrogenic boric acid transport activity of Slc4a11A. A, schematic representation of B(OH)4− uniporter (left) or B(OH)3-OH− cotransporter (right) activity of Slc4a11A in Xenopus oocytes. B(OH)3/H+ exchange activity is equivalent with B(OH)3-OH− cotransport activity. B, hypothetical model of the epithelial secretion system for boric acid in the collecting duct cell of SW fish. Apical Slc4a11A mediates the B(OH)4− uniport (left) or B(OH)3-OH− cotransport (right), and the negative membrane potential and acidic pH of urine may be the driving forces for the luminal boric acid secretion. The activity of Slc4a11A may be coupled with apical H+-efflux systems, such as the Na+/H+ exchanger 3 (NHE3) or V-type H+-ATPase. Basolateral entry of boric acid from the plasma to the cytoplasm may be mediated by AQPs. AQP, aquaporin; Slc4a, solute carrier family 4; SW, seawater. |
|
|
Figure 1. Urinary boric acid excretion by pufferfish in seawater (SW). Boric acid or boron concentrations of serum (n = 4–6), urine (n = 6–7), and rectal fluid (n = 4) of pufferfish acclimated to brackish water (BW), fresh water (FW), and natural SW are shown. Dots represent individual data. Bar graphs represent means ± SD. ∗p < 0.0001, ∗∗p < 0.0002, and ∗p < 0.05. |
|
|
Figure 2. Renal expression of Slc4a11A.A, phylogenetic tree of boric acid transporters in relation to the other human SLC4 family members. The boric acid transport activity of Takifugu Slc4a11A is shown in this study. The scale bar represents 0.1 amino acid substitution per site. B, tissue distribution of Slc4a11A and Slc4a11B. Semiquantitative RT–PCR was performed on various tissues of river pufferfish. Numbers indicate PCR cycles. Results from 27 PCR cycles show tissues with relatively high expression of the indicated genes, and those of 32 cycles show all tissues expressing the indicated genes from low to high levels (111, 162, 65). C, real-time PCR quantification of mRNAs for Slc4a11A and Slc4a11B in the kidneys of river pufferfish acclimated to FW and SW. Values are expressed relative to GAPDH. Dots represent individual data. Bar graphs represent means ± SD, n = 5. ∗p < 0.05. D, in situ hybridization of Slc4a11A and Slc4a11B in the kidney of river pufferfish in SW. Sense probes did not show labeling (data not shown). AE, anion exchanger; c, chicken; F, FW; NBC, Na+-HCO3– cotransporter; NDCBE, Na+-driven Cl–/HCO3– exchanger; S, SW; SLC4, solute carrier family 4; z, zebrafish. |
|
|
Figure 3. Multiple alignment of amino acid sequences of Slc4a11 family. The amino acid residues that are conserved among Slc4a11 family members are shaded. Transmembrane (TM) regions are indicated by solid bars labeled as TM1–TM12. The accession numbers of mfSlc4a11A, mfSlc4a11B, and hSLC4A11 are AB534190, AB534191, and NM_032034, respectively. h, human; mf, mefugu. Red box of mfSlc4a11A indicates the peptide antigen used to generate the mfSlc4a11A antibody. |
|
|
Figure 4. Validation of the antibody against Slc4a11. A, Western blot analysis of HEK293 cells transfected with pcDNA3 (mock), pcDNA3-Slc4a11A, or pcDNA3-Slc4a11B. The membrane fractions of the cells were incubated with (+) or without (–) glycosidases and analyzed using anti-Slc4a11 antiserum (left) and antigen-absorbed antiserum (right). B, polarized distribution of Slc4a11A and Slc4a11B in MDCK cells. Anti-Slc4a11 antiserum (green), anti-ZO-1 antibody (red), and Hoechst 33342 (blue) were used to stain MDCK cells transiently transfected with pcDNA3-Slc4a11A or pcDNA3-Slc4a11B. Confocal XY maximum projection image and XZ (vertical) sections are shown. C-E, anti-Slc4a11 antiserum (left panel), preimmune serum (center panel), or antigen-absorbed antiserum (right panel) (green) were used with anti-ZO-1 antibody (red) and Hoechst 33342 (blue) to stain MDCK cells transiently transfected with pcDNA3-Slc4a11A, pcDNA3-Slc4a11B, or pcDNA3 (mock). Confocal XY maximum projection images are shown. |
|
|
Figure 5. Immunolocalization of Slc4a11 in renal tubules of SW-acclimated river pufferfish. Serial frozen sections of mefugu kidney were stained with anti-Slc4a11 antiserum (A and C) or antigen-absorbed anti-Slc4a11 antiserum (B and D) (green), anti-Na+-K+-ATPase (NKA) antibody (red), and Hoechst (blue). Bars represent 20 μm. c, collecting duct; p, proximal tubule; Slc4, solute carrier family 4; SW, seawater. |
|
|
Figure 6. Boric acid transport mediated by Slc4a11A.A, representative traces of boric acid–elicited currents and changes in intracellular pH of voltage-clamped oocytes (holding potential Vh: −60 mV) injected with Slc4a11A or water (control). B, current–voltage (I–V) relationships of oocytes expressing Slc4a11A and control oocytes in the presence or the absence of 20 mM boric acid. Values are means ± SD, n = 5 to 8. C, representative traces of boric acid–elicited changes of membrane potential (Vm) of oocytes injected with Slc4a11A and water (control). D, Michaelis–Menten curve fitted to boric acid–elicited currents of oocytes expressing Slc4a11A at +60 mV. Boric acid–elicited currents were measured by the addition of 1, 3, 5, 10, and 20 mM boric acid and were calculated as I(boric acid) – I(no boric acid). Maximum current (Imax) and Michaelis–Menten constant (Km) are shown. Values are means ± SEM, n = 3. E, boric acid uptake by voltage-clamped oocytes. Slc4a11A oocytes and control oocytes were voltage clamped (Vh: 0 mV) in ND96 containing 10 mM boric acid for 10 min, and the amount of boron in each oocyte was measured by ICP-MS. Dots represent individual data. Bar graphs represent means ± SD, n = 6. F, time course of boric acid uptake by unclamped oocytes. Oocytes were incubated in an ND96 medium containing 20 mM boric acid for 30, 60, and 90 min, and the amount of boron in each oocyte was measured by ICP-MS. Values are means ± SD, n = 4. G, boric acid uptake by unclamped oocytes. Oocytes were incubated in test solutions for 24 to 40 h, and the amount of boron in each oocyte was measured by ICP-MS. Dots represent individual data. Bar graphs represent means ± SD, n = 4. No VC, unclamped. H, rates of boric acid influx in voltage-clamped (Vh: 0 mV) and unclamped oocytes. The rates were calculated from data shown in (E and F). Dots represent individual data. Bar graphs represent means ± SD, n = 4 to 6. I, time course of boric acid efflux by unclamped oocyte. Oocytes were incubated in an ND96 medium containing 20 mM boric acid for 24 h until saturated, followed by incubation in ND96 for 5, 10, and 20 min, and the amount of boron in each oocyte was measured by ICP-MS. Values are means ± SD, n = 4. ICP-MS, inductively coupled plasma mass spectrometry; Slc4, solute carrier family 4. |
|
|
Figure 7. Voltage-clamp analyses of Na+-independent electrogenic boric acid transport activity of Slc4a11A.A, current–voltage (I–V) relationships of Slc4a11A or water-injected (control) oocytes in a solution containing 20 mM boric acid and various cations. Boric acid–elicited currents calculated by subtraction are shown (n = 3 to 6). B, dose-dependent inhibition of boric acid transport activity of Slc4a11A by NMDG. Boric acid–elicited currents of Slc4a11A oocytes (holding potential Vh: +60 mV) in the presence of various concentrations of NMDG are shown. Values are means ± SD (n = 4 to 10). NMDG, N-methyl-d-glucamine; Slc4, solute carrier family 4. |
|
|
Figure 8. Ion-selective microelectrode analysis during Vmclamping and pH dependence of Na+-independent electrogenic boric acid transport activity of Slc4a11A. Representative traces of boric acid–elicited currents (holding potential Vh: −60 or 0 mV) and changes in intracellular pH of Slc4a11A (A) and control (B) oocytes. Oocytes were analyzed in ND96 (indicated by Na+) or similar media in which Na+ was replaced with Li+, choline, or K+. C, representative traces of boric acid–elicited currents (holding potential, −20 mV) and intracellular [Na+] of Slc4a11A oocyte. D, current–voltage (I–V) relationship of 5 mM boric acid–elicited currents in various pH conditions. Values are means (n = 4 to 5). Slc4, solute carrier family 4. |
|
|
Figure 9. Activity of Slc4a11A in HEK293 and yeast cells.A, the whole-cell current was measured in untransfected HEK293 cells (control) or HEK293 cells expressing eGFP-Slc4a11A. The cells were incubated in a solution containing 20 mM boric acid and 145 mM Na+ or Na+-free media in which all Na+ was replaced with choline or NMDG. B, concentration of boron in the yeast cells expressing Slc4a11s or AtBOR1. Cells were incubated in a medium containing 20 mM boric acid; boron concentration in these cells was measured by ICP-MS. Dots represent individual data. Values are means ± SD. ∗p < 0.002. eGFP, enhanced GFP; HEK293, human embryonic kidney 293 cell line; ICP-MS, inductively coupled plasma mass spectrometry; NMDG, N-methyl-d-glucamine; Slc4, solute carrier family 4. |
|
|
Figure 10. Model of electrogenic boric acid transport activity of Slc4a11A.A, schematic representation of B(OH)4− uniporter (left) or B(OH)3-OH− cotransporter (right) activity of Slc4a11A in Xenopus oocytes. B(OH)3/H+ exchange activity is equivalent with B(OH)3-OH− cotransport activity. B, hypothetical model of the epithelial secretion system for boric acid in the collecting duct cell of SW fish. Apical Slc4a11A mediates the B(OH)4− uniport (left) or B(OH)3-OH− cotransport (right), and the negative membrane potential and acidic pH of urine may be the driving forces for the luminal boric acid secretion. The activity of Slc4a11A may be coupled with apical H+-efflux systems, such as the Na+/H+ exchanger 3 (NHE3) or V-type H+-ATPase. Basolateral entry of boric acid from the plasma to the cytoplasm may be mediated by AQPs. AQP, aquaporin; Slc4a, solute carrier family 4; SW, seawater. |
References [+] :
Aparicio,
Whole-genome shotgun assembly and analysis of the genome of Fugu rubripes.
2002, Pubmed
Aparicio, Whole-genome shotgun assembly and analysis of the genome of Fugu rubripes. 2002, Pubmed
Armstrong, Boron supplementation of a semipurified diet for weanling pigs improves feed efficiency and bone strength characteristics and alters plasma lipid metabolites. 2000, Pubmed
Beyenbach, Kidneys sans glomeruli. 2004, Pubmed
Beyenbach, Renal proximal tubule of flounder. I. Physiological properties. 1986, Pubmed
Boron, Intracellular pH transients in squid giant axons caused by CO2, NH3, and metabolic inhibitors. 1976, Pubmed
Chang, Euryhaline pufferfish NBCe1 differs from nonmarine species NBCe1 physiology. 2012, Pubmed , Xenbase
Desir, Congenital hereditary endothelial dystrophy with progressive sensorineural deafness (Harboyan syndrome). 2008, Pubmed
Devirian, The physiological effects of dietary boron. 2003, Pubmed
Dinour, A novel missense mutation in the sodium bicarbonate cotransporter (NBCe1/SLC4A4) causes proximal tubular acidosis and glaucoma through ion transport defects. 2004, Pubmed , Xenbase
Fort, Impact of boron deficiency on Xenopus laevis: a summary of biological effects and potential biochemical roles. 2002, Pubmed , Xenbase
Howe, A review of boron effects in the environment. 1998, Pubmed
Islam, Identification and apical membrane localization of an electrogenic Na⁺/Ca²⁺ exchanger NCX2a likely to be involved in renal Ca²⁺ excretion by seawater fish. 2011, Pubmed , Xenbase
Islam, Identification and lateral membrane localization of cyclin M3, likely to be involved in renal Mg2+ handling in seawater fish. 2014, Pubmed , Xenbase
Jalimarada, Ion transport function of SLC4A11 in corneal endothelium. 2013, Pubmed
Kao, Human SLC4A11-C functions as a DIDS-stimulatable H⁺(OH⁻) permeation pathway: partial correction of R109H mutant transport. 2015, Pubmed
Kao, SLC4A11 function: evidence for H+(OH-) and NH3-H+ transport. 2020, Pubmed
Kao, Multifunctional ion transport properties of human SLC4A11: comparison of the SLC4A11-B and SLC4A11-C variants. 2016, Pubmed
Kato, Identification of renal transporters involved in sulfate excretion in marine teleost fish. 2009, Pubmed , Xenbase
Kato, Takifugu obscurus is a euryhaline fugu species very close to Takifugu rubripes and suitable for studying osmoregulation. 2005, Pubmed
Kato, Differential expression of Na+-Cl- cotransporter and Na+-K+-Cl- cotransporter 2 in the distal nephrons of euryhaline and seawater pufferfishes. 2011, Pubmed
Kato, Membrane Transport Proteins Expressed in the Renal Tubular Epithelial Cells of Seawater and Freshwater Teleost Fishes. 2022, Pubmed
Khaliq, The Physiological Role of Boron on Health. 2018, Pubmed
Kikkawa, Location and behavior of dorsal determinants during first cell cycle in Xenopus eggs. 1996, Pubmed , Xenbase
Kumar, Genetic analysis of two Indian families affected with congenital hereditary endothelial dystrophy: two novel mutations in SLC4A11. 2007, Pubmed
Kurita, Identification of intestinal bicarbonate transporters involved in formation of carbonate precipitates to stimulate water absorption in marine teleost fish. 2008, Pubmed , Xenbase
Liman, Subunit stoichiometry of a mammalian K+ channel determined by construction of multimeric cDNAs. 1992, Pubmed , Xenbase
Litovitz, Clinical manifestations of toxicity in a series of 784 boric acid ingestions. 1988, Pubmed
Loganathan, Functional assessment of SLC4A11, an integral membrane protein mutated in corneal dystrophies. 2016, Pubmed , Xenbase
Lopez, Slc4a11 gene disruption in mice: cellular targets of sensorineuronal abnormalities. 2009, Pubmed
Maren, Renal acid-base physiology in marine teleost, the long-horned sculpin (Myoxocephalus octodecimspinosus). 1992, Pubmed
Miwa, Boron transport in plants: co-ordinated regulation of transporters. 2010, Pubmed
Miwa, Plants tolerant of high boron levels. 2007, Pubmed
Myers, Mouse Slc4a11 expressed in Xenopus oocytes is an ideally selective H+/OH- conductance pathway that is stimulated by rises in intracellular and extracellular pH. 2016, Pubmed , Xenbase
Nakagawa, Cell-type specificity of the expression of Os BOR1, a rice efflux boron transporter gene, is regulated in response to boron availability for efficient boron uptake and xylem loading. 2007, Pubmed
Nawata, Rh glycoprotein expression is modulated in pufferfish (Takifugu rubripes) during high environmental ammonia exposure. 2010, Pubmed
Nielsen, Update on human health effects of boron. 2014, Pubmed
Ogando, SLC4A11 is an EIPA-sensitive Na(+) permeable pHi regulator. 2013, Pubmed
O'Neill, Requirement of borate cross-linking of cell wall rhamnogalacturonan II for Arabidopsis growth. 2001, Pubmed
Oshita, Synthesis of chitosan resin possessing a phenylarsonic acid moiety for collection/concentration of uranium and its determination by ICP-AES. 2008, Pubmed
Park, NaBC1 is a ubiquitous electrogenic Na+ -coupled borate transporter essential for cellular boron homeostasis and cell growth and proliferation. 2004, Pubmed , Xenbase
Park, Borate transport and cell growth and proliferation. Not only in plants. 2005, Pubmed
Parker, Human BTR1, a new bicarbonate transporter superfamily member and human AE4 from kidney. 2001, Pubmed
Quade, pH dependence of the Slc4a11-mediated H+ conductance is influenced by intracellular lysine residues and modified by disease-linked mutations. 2020, Pubmed , Xenbase
Ramprasad, Novel SLC4A11 mutations in patients with recessive congenital hereditary endothelial dystrophy (CHED2). Mutation in brief #958. Online. 2007, Pubmed
Riazuddin, Missense mutations in the sodium borate cotransporter SLC4A11 cause late-onset Fuchs corneal dystrophy. 2010, Pubmed
Romero, Cloning and functional expression of rNBC, an electrogenic Na(+)-HCO3- cotransporter from rat kidney. 1998, Pubmed , Xenbase
Romero, The SLC4 family of bicarbonate (HCO₃⁻) transporters. 2013, Pubmed
Rowe, The response of trout and zebrafish embryos to low and high boron concentrations is U-shaped. 1998, Pubmed
Schoderboeck, Effects assessment: boron compounds in the aquatic environment. 2011, Pubmed
Sciortino, Cation and voltage dependence of rat kidney electrogenic Na(+)-HCO(-)(3) cotransporter, rkNBC, expressed in oocytes. 1999, Pubmed , Xenbase
Sultana, Mutational spectrum of the SLC4A11 gene in autosomal recessive congenital hereditary endothelial dystrophy. 2007, Pubmed
Sutton, Boron-toxicity tolerance in barley arising from efflux transporter amplification. 2007, Pubmed
Takano, Saccharomyces cerevisiae Bor1p is a boron exporter and a key determinant of boron tolerance. 2007, Pubmed
Takano, Arabidopsis boron transporter for xylem loading. 2002, Pubmed
Tanaka, Physiological roles and transport mechanisms of boron: perspectives from plants. 2008, Pubmed
Uluisik, The importance of boron in biological systems. 2018, Pubmed
Ushio, Boric acid transport activity of human aquaporins expressed in Xenopus oocytes. 2022, Pubmed , Xenbase
Vilas, Oligomerization of SLC4A11 protein and the severity of FECD and CHED2 corneal dystrophies caused by SLC4A11 mutations. 2012, Pubmed
Vilas, Transmembrane water-flux through SLC4A11: a route defective in genetic corneal diseases. 2013, Pubmed , Xenbase
Vithana, Mutations in sodium-borate cotransporter SLC4A11 cause recessive congenital hereditary endothelial dystrophy (CHED2). 2006, Pubmed
Vithana, SLC4A11 mutations in Fuchs endothelial corneal dystrophy. 2008, Pubmed
Weir, Toxicologic studies on borax and boric acid. 1972, Pubmed
Xie, Molecular characterization of the murine Slc26a6 anion exchanger: functional comparison with Slc26a1. 2002, Pubmed , Xenbase
Zhang, Human SLC4A11 Is a Novel NH3/H+ Co-transporter. 2015, Pubmed
