|
Figure 1 The inhibitory potential of nicotine (Nic), phosphocholine (PC) and C-reactive protein (CRP) on the BzATP-induced release of IL-1β by human monocytic U937 cells is prevented by nitric oxide synthase (NOS) inhibitors. U937 cells were primed with LPS (1 µg/ml) for 5 h, and BzATP (2’/3’-O-(4-benzoylbenzoyl)adenosine-5’-triphosphate, tri(triethylammonium) salt; 100 µM) was added for another 30 min to trigger IL-1β release, which was measured by ELISA. The inhibitory potential of the nicotinic acetylcholine receptor (nAChR) agonists Nic (100 µM), PC (100 µM) and CRP (5 µg/ml) on the BzATP-induced release of IL-1β was investigated in absence and presence of the NOS inhibitors (A, B) L-NIO (N5-(1-iminoethyl)-L-ornithine dihydrochloride) and (C, D) L-NAME (N-omega-nitro-L-arginine methyl ester hydrochloride). The inhibitory potential of nAChR agonists on the BzATP-induced release was concentration-dependently prevented by all NOS inhibitors. (A, C) Some IL-1β values (untreated, LPS, LPS+BzATP, LPS+BzATP+Nic) served as controls for multiple NOS inhibitors (Supplementary Figures S1A, C). Data are presented as individual data points, bars represent median, whiskers percentiles 25 and 75. # p ≤ 0.05 significantly different from samples, in which BzATP was given alone, *p ≤ 0.05 significantly different from BzATP + nicotine. Kruskal-Wallis followed by Mann-Whitney rank sum test. |
|
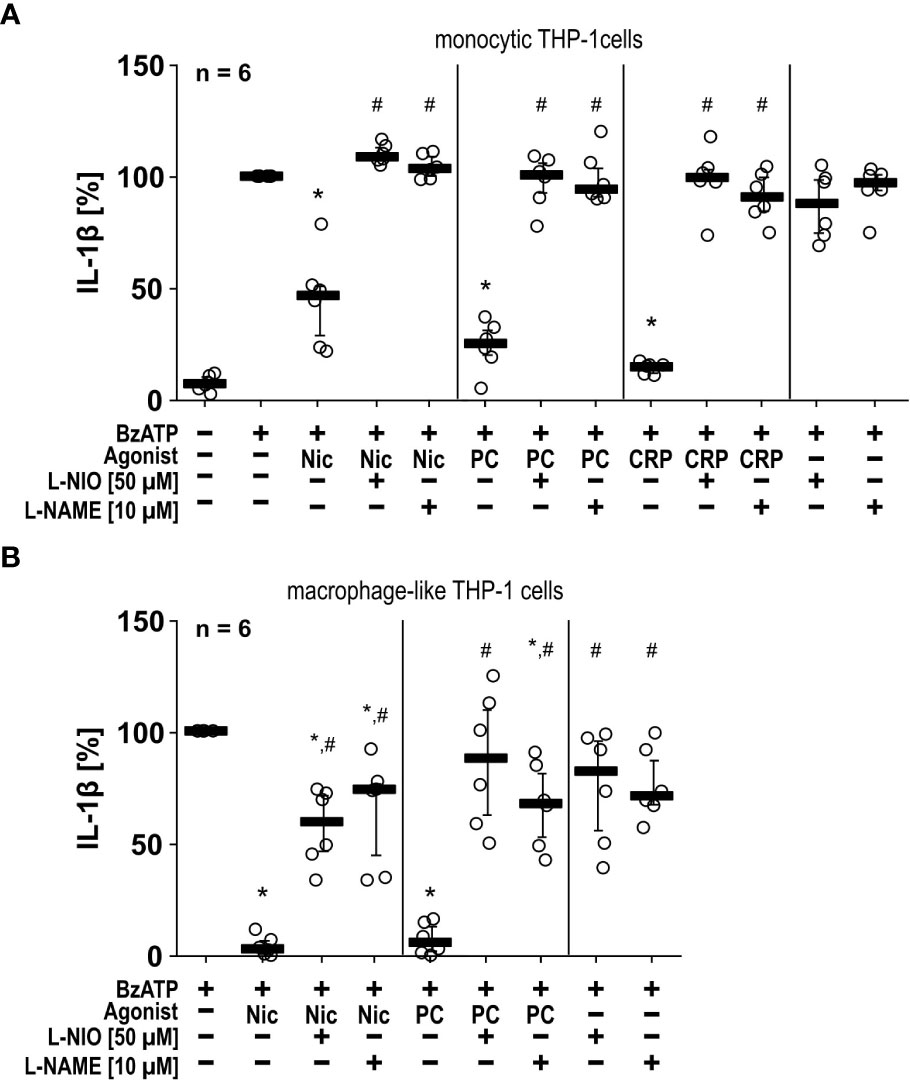
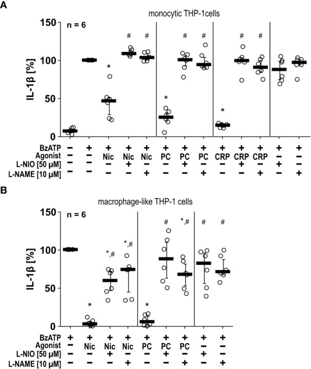
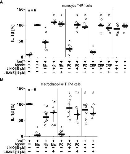
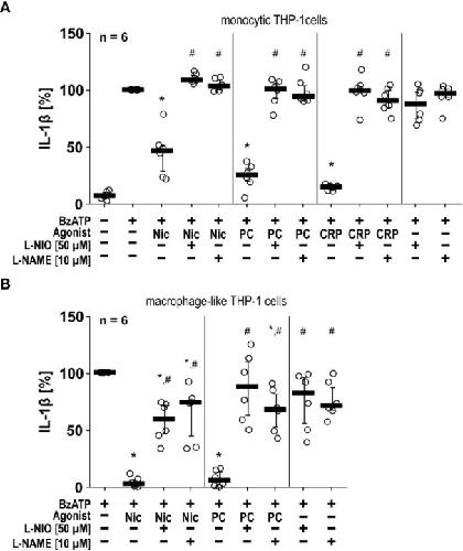
Figure 2 The inhibitory potential of nicotine (Nic), phosphocholine (PC) and C-reactive protein (CRP) on the BzATP-induced release of IL-1β by human monocytic and macrophage-like THP-1 cells is reversed by nitric oxide synthase (NOS) inhibitors. Monocytic (A) and differentiated macrophage-like (B) THP-1 cells were used. Cells were primed with lipopolysaccharide (LPS; 1 µg/ml, 5 h). Thereafter, the P2X7 receptor agonist BzATP ((2’/3’-O-(4-benzoylbenzoyl)adenosine-5’-triphosphate, tri(triethylammonium) salt) was added for another 40 min to trigger IL-1β release, which was measured by ELISA. The inhibitory potential of Nic (100 µM), PC (200 µM) and CRP (10 µg/ml) on the BzATP-induced release of IL-1β was investigated in absence and presence of the NOS inhibitors L-NIO (50 µM; N5-(1-iminoethyl)-L-ornithine dihydrochloride) or L-NAME (10 µM; N-omega-nitro-L-arginine methyl ester hydrochloride). (B) In experiments on macrophage-like THP-1 cells, the concentration of IL-1β released in response to BzATP was calculated by subtracting the IL-1β concentrations measured in supernatants of cells treated with LPS alone. In each experiment, the IL-1β concentration obtained after stimulation with BzATP was set to 100% and all other values were calculated accordingly. Data are presented as individual data points, bars represent median, whiskers encompass the 25th to 75th percentile. *p ≤ 0.05, different from LPS-primed cells stimulated with BzATP alone; #p ≤ 0.05 significantly different from samples, in which BzATP plus agonist was given. Friedman test followed by the Wilcoxon signed-rank test. |
|
Figure 3 The inhibitory potential of cholinergic agonists on BzATP-induced IL-1β release by monocytic cells depends on endothelial nitric oxide synthase (eNOS, NOS3) activity. (A) U937 cells were transfected with siRNA targeting eNOS or with control siRNA. Forty-eight hours after transfection, cells were primed with lipopolysaccharide (LPS; 1 µg/ml) for 5 h and BzATP ((2’/3’-O-(4-benzoylbenzoyl)adenosine-5’-triphosphate, tri(triethylammonium) salt; 100 µM) was given for additional 30 min in the presence or absence of nicotinic agonists nicotine (Nic; 100 µM), phosphocholine (PC; 100 µM) or C-reactive protein (CRP; 5 µg/ml). While in cells transfected with control siRNA, the BzATP-induced release of IL-1 β was inhibited by nicotinic agonists, the inhibitory activity of all agonists was blunted in eNOS siRNA-transfected cells. Data were analyzed by Kruskal-Wallis test followed by Mann-Whitney rank sum test. (B) Freshly isolated mouse peripheral blood mononuclear cells (PBMCs) isolated from wild-type (eNOS+/+) mice and mice deficient in eNOS (eNOS-/-) were left untreated or stimulated with BzATP for 30 min, in the presence or absence of nicotinic agonists Nic, PC, choline (Cho; 100 µM) or acetylcholine (ACh; 10 µM). BzATP induced the release of IL-1β in PBMCs obtained from all mouse strains. Nicotinic agonists significantly inhibited the IL-1β release by PBMCs from eNOS+/+ mice. In contrast, the IL-1β release by PBMCs from eNOS-/- mice was not affected by nicotinic agonists. Friedman test followed by the Wilcoxon signed-rank test. Data are presented as individual data points, bars represent median, whiskers percentiles 25 and 75. ∗p ≤ 0.05 significantly different from samples, in which BzATP was given alone #p ≤ 0.05 significantly different from corresponding samples control siRNA vs. eNOS siRNA and eNOS+/+ vs. eNOS-/-. |
|
Figure 4 The BzATP-induced release of IL-1β by monocytic and macrophage-like cells is inhibited by the NO donors SNAP and SIN-1. (A, B) Monocytic U937 cells were primed with lipopolysaccharide (LPS; 1 µg/ml) for 5 h, and BzATP ((2’/3’-O-(4-benzoylbenzoyl)adenosine-5’-triphosphate, tri(triethylammonium) salt; 100 µM) was added for another 30 min to trigger IL-1β release, which was measured by ELISA. The NO donor SNAP (S-nitroso-N-acetyl-DL-penicillamine) concentration-dependently inhibited the BzATP-induced release of IL-1β like nicotine (Nic; 100 µM), which served as a positive control (A). Addition of SIN-1 (1 mM) 30 min before BzATP (t = -30’) or shortly before BzATP (t = 0’) inhibited the BzATP-induced release of IL-1β (B). U937 cells were primed with LPS for 5 h, and nigericin (Nig) was added together with apyrase (0.5 U/ml) for another 30 min to trigger IL-1 β release. The Nig-induced IL-1β release was unimpaired by SIN-1 (C). Kruskal-Wallis followed by Mann-Whitney rank sum test (A–C). (D, E) Similar results were found on LPS-primed monocytic THP-1 cells stimulated with BzATP (D) or Nig (E) for 40 min in the presence and absence of SNAP and SIN-1. Acetylcholine (ACh; 10 µM) was used as a positive control. The IL-1β concentration in supernatants of primed THP-1 cells stimulated with BzATP or Nig alone was set to 100%, and all other values were calculated accordingly. Friedman test followed by the Wilcoxon signed-rank test. (F) Macrophage-like THP-1 cells were left untreated or primed with LPS (1 µg/ml, 5 h). Thereafter, BzATP (100 µM) was added for another 40 min to trigger IL-1β release. The amount of IL-1β released in response to BzATP was calculated by subtracting the IL-1β concentrations measured in supernatants of cells treated with LPS alone. In the presence of ACh (10 µM) the BzATP-induced release of IL-1β was blunted. Application of the NO donors SNAP or SIN-1 at different time points, reversed the BzATP-induced release of IL-1β. Friedman test followed by the Wilcoxon signed-rank test. (A–F) Data are presented as individual data points, bars represent median, whiskers percentiles 25 and 75. ∗ p ≤ 0.05 significantly different from samples, in which BzATP or Nig was given alone.
|
|
Figure 5 Inhibition of IL-1β release by the NO donors SNAP and SIN-1 in murine bone marrow-derived macrophages (BMDMs) and primary human monocytes. (A–D) Mouse BMDMs were primed with lipopolysaccharide (LPS; 1 µg/ml, 5 h). (A, C) Thereafter, ATP (1 mM) was added for another 40 min to trigger IL-1β release, which was measured by ELISA. Application of the NO donor SNAP (S-nitroso-N-acetyl-DL-penicillamine; 1 mM) 30 min prior to ATP (t = -30´) or shortly before ATP (t = 0´) reversed the ATP-induced release of IL-1β. Similar results were found by using SIN-1 (1 mM). (B, D) To test for P2X7 receptor-independent IL-1β release, nigericin (Nig; 50 µM) was added together with apyrase (0.5 U/ml) for 40 min to LPS-primed mouse BMDMs. The Nig-induced IL-1β release was unimpaired by SIN-1 at t = 0´ and slightly reversed in presence of SNAP and SIN-1 at t = -30´. The amount of IL-1β released in response to ATP/Nig was calculated by subtracting the IL-1β concentrations measured in supernatants of cells treated with LPS alone. ∗ p ≤ 0.05 significantly different from samples, in which ATP or Nig was given alone. (E–H) Similar experiments were performed on primary human monocytes enriched from freshly collected human whole blood. Cells were primed with LPS (5 ng/ml, 20 min pulse) during the enrichment process. After 3 h, BzATP ((2’/3’-O-(4-benzoylbenzoyl)adenosine-5’-triphosphate, tri(triethylammonium) salt; 100 µM); (E, G) or Nig (F, H) was added for another 30 min to trigger IL-1β release. The IL-1β concentration in experiments, in which primed cells were stimulated with BzATP or Nig alone, was set to 100% and all other values were calculated accordingly. ∗ p ≤ 0.05 significantly different from samples, in which BzATP was given alone. (A–H) Data are presented as individual data points, bars represent median, whiskers percentiles 25 and 75. Friedman test followed by the Wilcoxon signed-rank test. |
|
Figure 6 The NO and peroxynitrite donor SIN-1 inhibits BzATP-induced ion channel functions of heterologously expressed human P2X7 receptors (hP2X7R). (A–C) Two-electrode voltage-clamp measurements were performed on Xenopus laevis oocytes expressing the hP2X7R. (A) In control experiments (ctrl) application of the P2X7R agonist BzATP ((2’/3’-O-(4-benzoylbenzoyl)adenosine-5’-triphosphate, tri(triethylammonium) salt; 10 µM; 2 min; black bar “1”) resulted in a current stimulation (ΔIBzATP1). After a wash out period, the oocytes were incubated for 2 h in oocyte Ringer’s solution as a control (ctrl). Thereafter, the BzATP-induced effect was determined for a second time (black bar “2”; ΔIBzATP2). (B) After determination of the ΔIBzATP1, oocytes were incubated for 2 h with SIN-1 (1 mM). Subsequently, the ΔIBzATP2 was determined. (C) The normalized ΔIBzATP values from experiments as shown in panel A and B (ΔIBzATP2/ΔIBzATP1) were statistically analyzed (∗ p ≤ 0.05 significantly different from ctrl). Data are presented as individual data points, bars represent median, whiskers encompass the 25th to 75th percentile. (D, E) Calcium imaging experiments were performed on hP2X7 receptor expressing HEK cells. Intracellular Ca2+ levels ([Ca2+]i) of HEK-P2X7R cells were recorded as Fura-2/AM (Fura-2) fluorescence intensity ratio of 340:380 nm excitation (mean ± SEM). (D) In control experiments (no SIN-1), application of BzATP (100 µM) induced a rise in [Ca2+]i. (E) Application of SIN-1 (1 mM) did not cause significant alterations in [Ca2+]i. In the presence of SIN-1 the BzATP-induced rise in [Ca2+]i was blunted (p ≤ 0.05 significantly different from BzATP-induced effect in (D). At the end of the experiment, a positive control for cell viability and the Ca2+ imaging setup was included: forskolin (Fsk, 40 µM) was applied to induce a cyclic adenosine monophosphate-triggered rise in [Ca2+]i. Friedman test followed by the Wilcoxon signed-rank test. |
|
Figure 7 The NO and peroxynitrite donor SIN-1 inhibits the BzATP-induced ion channel functions in human P2X7 receptor (hP2X7R) expressing HEK cells via the cysteine C377 in the C-terminal intracellular loop. (A, B) Depicted are representative current curves of whole-cell patch-clamp measurements. (A, C) In control experiments (ctrl) on human wild-type (WT) P2X7R expressing HEK cells (WT hP2X7-HEK), consecutive application of the P2X7R agonist BzATP (100 µM) induced repetitive ion current stimulations (BzATP1 and 2). (B, C) In the presence of SIN-1 (1 mM), the BzATP-induced ion current was blunted. (C) Similar experiments were performed on HEK cells expressing hP2X7R mutants generated by replacing cysteine 377 or 388 by an alanine (hP2X7_C377A; hP2X7_C388A) in the C-terminal intracellular loop. The BzATP-induced current changes (ΔIBzATP1, ΔIBzATP2) were normalized (ΔIBzATP2/ΔIBzATP1). (C) All BzATP-induced current changes (ΔIBzATP) are shown as individual data points, bars represent median, whiskers encompass the 25th to 75th percentile. *p ≤ 0.05, Friedman test followed by the Wilcoxon signed-rank test. |
|
Figure 8 Location of cysteines C377 and C388 in the rat P2X7 receptor (rP2X7R) in the open channel conformation. In all figures, the C-terminal residues 400-595 to the end of the 595 residues long subunits are hidden for simplicity. (A) Side view of the large extracellular domain harboring the ATP binding sites, the six transmembrane domains (3 x TM1 in white, 3 x TM2, in yellow), and an interfacial helically structured domain lying parallel to the membrane plane. Also shown are the three S342 residues, which constitute the channel gate (46). (B) Enlarged side view of the transmembrane domains, the S342 residues (cyan) and the position of two (of three each) residues C377 and C388 in the interfacial region. The other blue spheres indicate additional cysteines of the cysteine-rich domain. (C) Perpendicular view from the cytoplasmic side on the numerous cysteine residues of the interfacial region and the transmembrane domains above. |
|
Figure 9 Schematic summary of the proposed metabotropic signaling mechanism. In mononuclear phagocytes extracellular ATP originating from activated cells or spilled cytoplasm of damaged cells trigger the ionotropic function of the P2X7R, resulting in NLRP3 inflammasome assembly, activation of caspase-1, cleavage of pro-IL-1β and release of bioactive IL-1β. Activation of nAChRs by classical and unconventional agonists down-regulates the response of the ATP-sensitive P2X7R, impairs NLRP3 inflammasome assembly and, consequently, the maturation as well as the release of IL-1β. We provide evidence that this inhibitory effect of nAChR stimulation on the secretion of IL-1β is mediated via endothelial NOS and modification of the P2X7R. ACh, acetylcholine; ATP, adenosine triphosphate; CRP, C-reactive protein; DAMP, danger-associated molecular pattern; IL-1β, interleukin-1β; LPS, lipopolysaccharide; nAChRs, nicotinic acetylcholine receptors; NF-κB, nuclear factor κB; NLRP3, NACHT, LRR, and PYD domains-containing protein 3; NOS, NO synthase; P2X7R, P2X7 receptor; PAMP, pathogen-associated molecular pattern; PC, phosphocholine; SNAP, S-nitroso-N-acetyl-DL-penicillamine; TLR, Toll-like receptors. |
|
Supplementary Figure S1: The inhibitory potential of nicotine (Nic), phosphocholine (PC) and C-reactive protein (CRP) on the BzATP-induced release of interleukin-1β (IL-1β) by human monocytic U937 cells is reversed by nitric oxide synthase (NOS) inhibitors. U937 cells were primed with LPS (1 µg/ml) for 5 h, and BzATP (2’/3’-O-(4-benzoylbenzoyl)adenosine-5’-triphosphate, tri(triethylammonium) salt; 100 µM) was added for another 30 min to trigger IL-1β release, which was measured by ELISA. The inhibitory potential of the nicotinic acetylcholine receptor (nAChR) agonists Nic (100 µM), PC (100 µM) and CRP (5 µg/ml) on the BzATP-induced release of IL-1β was investigated in absence and presence of a panel of NOS inhibitors: A, B) N-PLA (N-omega-allyl-L-arginine hydrochloride) and C, D) 1400 W (1400 W dihydrochloride). The inhibitory potential of nAChR agonists on the BzATP-induced release was concentration-dependently reversed by all NOS inhibitors. Some IL-1β values (untreated, LPS, LPS+BzATP, LPS+BzATP+Nic) served as controls for multiple NOS inhibitors (Figure 1A, C). Data are presented as individual data points, bars represent median, whiskers percentiles 25 and 75. # p ≤ 0.05 significantly different from samples, in which BzATP was given alone, * p ≤ 0.05 significantly different from BzATP + nicotine. Kruskal-Wallis followed by Mann-Whitney rank sum test. |
|
Supplementary Figure S2: Flow cytometry analyses confirmed that differentiated THP-1 cells expressed cell surface markers typical for M1-like macrophages. A) Representative histograms of CD80, CD14, HLA-DR and CD38 expression in M0- and M1-like THP-1 cell-derived macrophages. B) Quantification of macrophage subsets according to the cell surface marker expression in M0- and M1-like THP-1 cell-derived macrophages (n = 6). Data were analyzed by Kruskal-Wallis test followed by the Mann-Whitney rank sum test and presented as individual data points, bars represent median, whiskers percentiles 25 and 75. ∗ p ≤ 0.05 significantly different from corresponding M0-like macrophages. |
|
Supplementary Figure S3: Reduction of mRNA expression of endothelial nitic oxide synthase (eNOS, NOS3) upon siRNA transfection. U937 cells were left untreated (U937) or transfected with control siRNA or with siRNA specifically targeting eNOS (NOS3). Forty-eight hours after transfection, the mRNA expression of eNOS was analyzed by real-time RT-PCR. Transfection with gene-specific siRNA efficiently down-regulated the mRNA expression of NOS3. Data were analyzed by Kruskal-Wallis test followed by the Mann-Whitney rank sum test and presented as individual data points, bars represent median, whiskers percentiles 25 and 75. ∗ p ≤ 0.05 significantly different from samples transfected with control siRNA. # p ≤ 0.05 significantly different from untreated samples. |
|
Supplementary Figure S4: The ATP-induced release of interleukin (IL)-1β by mouse peripheral blood mononuclear cells (PBMCs) is inhibited by the NO donor SIN-1. Freshly isolated mouse PBMCs from wild-type mice were left untreated or stimulated with ATP (1 mM) for 30 min, in the presence or absence of SIN-1. Addition of SIN-1 30 min before ATP (SIN-1 t = -30’) or shortly before ATP (SIN-1 t = 0’) inhibited the ATP-induced release of IL-1β. Data are presented as individual data points, bars represent median, whiskers percentiles 25 and 75. ∗ p ≤ 0.05 significantly different from samples in which ATP was given alone. Friedman test followed by the Wilcoxon signed-rank test. |
|
Supplementary Figure S5: Gating strategy in flow cytometry analysis to test for the purity of RosetteSepTM enriched human monocytes obtained from blood samples of one healthy volunteer. A) Representative single cell surface marker histograms of CD14, CD16, HLA-DR and CD45 of one out of three experiments on RosetteSepTM enriched human monocytes. B-F) Monocyte Gating strategy. B) Selection of blood immune cells based on their side scatter – area (SSC-A) vs. CD45 properties. (C) CD16 vs. CD14 plot: gating to select monocytes based on their characteristic ┐ shape. (D) CD16 vs. HLA-DR plot: gating to select HLA-DR positive cells and remove natural killer (NK) cells and neutrophils. (E) CD14 vs. HLA-DR: gating to exclude the B cells (HLA-DR high/CD14 low) from the monocytes. (F) Percentage of classical, intermediate, and non-classical monocyte subsets. Representative results of one out of three experiments. |
|
Supplementary Figure S6: Sequence Alignment of the rat (rP2X7) and human (hP2X7) P2X7 receptor. Sequence alignment using Clustal Omega software (https://www.ebi.ac.uk/Tools/msa/clustalo/; DOI: 10.1093/nar/gkac240) revealed 80.17 % sequence identity. Two highly conserved regions are marked (yellow). The highlighted region in red denotes the conserved active site residues of cysteine C377 and C388 |
|
Figure 1. The inhibitory potential of nicotine (Nic), phosphocholine (PC) and C-reactive protein (CRP) on the BzATP-induced release of IL-1β by human monocytic U937 cells is prevented by nitric oxide synthase (NOS) inhibitors. U937 cells were primed with LPS (1 µg/ml) for 5 h, and BzATP (2’/3’-O-(4-benzoylbenzoyl)adenosine-5’-triphosphate, tri(triethylammonium) salt; 100 µM) was added for another 30 min to trigger IL-1β release, which was measured by ELISA. The inhibitory potential of the nicotinic acetylcholine receptor (nAChR) agonists Nic (100 µM), PC (100 µM) and CRP (5 µg/ml) on the BzATP-induced release of IL-1β was investigated in absence and presence of the NOS inhibitors (A, B) L-NIO (N5-(1-iminoethyl)-L-ornithine dihydrochloride) and (C, D) L-NAME (N-omega-nitro-L-arginine methyl ester hydrochloride). The inhibitory potential of nAChR agonists on the BzATP-induced release was concentration-dependently prevented by all NOS inhibitors. (A, C) Some IL-1β values (untreated, LPS, LPS+BzATP, LPS+BzATP+Nic) served as controls for multiple NOS inhibitors (
Supplementary Figures S1A, C
). Data are presented as individual data points, bars represent median, whiskers percentiles 25 and 75. # p ≤ 0.05 significantly different from samples, in which BzATP was given alone, *p ≤ 0.05 significantly different from BzATP + nicotine. Kruskal-Wallis followed by Mann-Whitney rank sum test. |
|
Figure 2. The inhibitory potential of nicotine (Nic), phosphocholine (PC) and C-reactive protein (CRP) on the BzATP-induced release of IL-1β by human monocytic and macrophage-like THP-1 cells is reversed by nitric oxide synthase (NOS) inhibitors. Monocytic (A) and differentiated macrophage-like (B) THP-1 cells were used. Cells were primed with lipopolysaccharide (LPS; 1 µg/ml, 5 h). Thereafter, the P2X7 receptor agonist BzATP ((2’/3’-O-(4-benzoylbenzoyl)adenosine-5’-triphosphate, tri(triethylammonium) salt) was added for another 40 min to trigger IL-1β release, which was measured by ELISA. The inhibitory potential of Nic (100 µM), PC (200 µM) and CRP (10 µg/ml) on the BzATP-induced release of IL-1β was investigated in absence and presence of the NOS inhibitors L-NIO (50 µM; N5-(1-iminoethyl)-L-ornithine dihydrochloride) or L-NAME (10 µM; N-omega-nitro-L-arginine methyl ester hydrochloride). (B) In experiments on macrophage-like THP-1 cells, the concentration of IL-1β released in response to BzATP was calculated by subtracting the IL-1β concentrations measured in supernatants of cells treated with LPS alone. In each experiment, the IL-1β concentration obtained after stimulation with BzATP was set to 100% and all other values were calculated accordingly. Data are presented as individual data points, bars represent median, whiskers encompass the 25th to 75th percentile. *p ≤ 0.05, different from LPS-primed cells stimulated with BzATP alone; #p ≤ 0.05 significantly different from samples, in which BzATP plus agonist was given. Friedman test followed by the Wilcoxon signed-rank test. |
|
Figure 3. The inhibitory potential of cholinergic agonists on BzATP-induced IL-1β release by monocytic cells depends on endothelial nitric oxide synthase (eNOS, NOS3) activity. (A) U937 cells were transfected with siRNA targeting eNOS or with control siRNA. Forty-eight hours after transfection, cells were primed with lipopolysaccharide (LPS; 1 µg/ml) for 5 h and BzATP ((2’/3’-O-(4-benzoylbenzoyl)adenosine-5’-triphosphate, tri(triethylammonium) salt; 100 µM) was given for additional 30 min in the presence or absence of nicotinic agonists nicotine (Nic; 100 µM), phosphocholine (PC; 100 µM) or C-reactive protein (CRP; 5 µg/ml). While in cells transfected with control siRNA, the BzATP-induced release of IL-1 β was inhibited by nicotinic agonists, the inhibitory activity of all agonists was blunted in eNOS siRNA-transfected cells. Data were analyzed by Kruskal-Wallis test followed by Mann-Whitney rank sum test. (B) Freshly isolated mouse peripheral blood mononuclear cells (PBMCs) isolated from wild-type (eNOS+/+) mice and mice deficient in eNOS (eNOS-/-) were left untreated or stimulated with BzATP for 30 min, in the presence or absence of nicotinic agonists Nic, PC, choline (Cho; 100 µM) or acetylcholine (ACh; 10 µM). BzATP induced the release of IL-1β in PBMCs obtained from all mouse strains. Nicotinic agonists significantly inhibited the IL-1β release by PBMCs from eNOS+/+ mice. In contrast, the IL-1β release by PBMCs from eNOS-/- mice was not affected by nicotinic agonists. Friedman test followed by the Wilcoxon signed-rank test. Data are presented as individual data points, bars represent median, whiskers percentiles 25 and 75. ∗p ≤ 0.05 significantly different from samples, in which BzATP was given alone #p ≤ 0.05 significantly different from corresponding samples control siRNA vs. eNOS siRNA and eNOS+/+ vs. eNOS-/-. |
|
Figure 4. The BzATP-induced release of IL-1β by monocytic and macrophage-like cells is inhibited by the NO donors SNAP and SIN-1. (A, B) Monocytic U937 cells were primed with lipopolysaccharide (LPS; 1 µg/ml) for 5 h, and BzATP ((2’/3’-O-(4-benzoylbenzoyl)adenosine-5’-triphosphate, tri(triethylammonium) salt; 100 µM) was added for another 30 min to trigger IL-1β release, which was measured by ELISA. The NO donor SNAP (S-nitroso-N-acetyl-DL-penicillamine) concentration-dependently inhibited the BzATP-induced release of IL-1β like nicotine (Nic; 100 µM), which served as a positive control (A). Addition of SIN-1 (1 mM) 30 min before BzATP (t = -30’) or shortly before BzATP (t = 0’) inhibited the BzATP-induced release of IL-1β (B). U937 cells were primed with LPS for 5 h, and nigericin (Nig) was added together with apyrase (0.5 U/ml) for another 30 min to trigger IL-1 β release. The Nig-induced IL-1β release was unimpaired by SIN-1 (C). Kruskal-Wallis followed by Mann-Whitney rank sum test (A–C). (D, E) Similar results were found on LPS-primed monocytic THP-1 cells stimulated with BzATP (D) or Nig (E) for 40 min in the presence and absence of SNAP and SIN-1. Acetylcholine (ACh; 10 µM) was used as a positive control. The IL-1β concentration in supernatants of primed THP-1 cells stimulated with BzATP or Nig alone was set to 100%, and all other values were calculated accordingly. Friedman test followed by the Wilcoxon signed-rank test. (F) Macrophage-like THP-1 cells were left untreated or primed with LPS (1 µg/ml, 5 h). Thereafter, BzATP (100 µM) was added for another 40 min to trigger IL-1β release. The amount of IL-1β released in response to BzATP was calculated by subtracting the IL-1β concentrations measured in supernatants of cells treated with LPS alone. In the presence of ACh (10 µM) the BzATP-induced release of IL-1β was blunted. Application of the NO donors SNAP or SIN-1 at different time points, reversed the BzATP-induced release of IL-1β. Friedman test followed by the Wilcoxon signed-rank test. (A–F) Data are presented as individual data points, bars represent median, whiskers percentiles 25 and 75. ∗ p ≤ 0.05 significantly different from samples, in which BzATP or Nig was given alone. |
|
Figure 5. Inhibition of IL-1β release by the NO donors SNAP and SIN-1 in murine bone marrow-derived macrophages (BMDMs) and primary human monocytes. (A–D) Mouse BMDMs were primed with lipopolysaccharide (LPS; 1 µg/ml, 5 h). (A, C) Thereafter, ATP (1 mM) was added for another 40 min to trigger IL-1β release, which was measured by ELISA. Application of the NO donor SNAP (S-nitroso-N-acetyl-DL-penicillamine; 1 mM) 30 min prior to ATP (t = -30´) or shortly before ATP (t = 0´) reversed the ATP-induced release of IL-1β. Similar results were found by using SIN-1 (1 mM). (B, D) To test for P2X7 receptor-independent IL-1β release, nigericin (Nig; 50 µM) was added together with apyrase (0.5 U/ml) for 40 min to LPS-primed mouse BMDMs. The Nig-induced IL-1β release was unimpaired by SIN-1 at t = 0´ and slightly reversed in presence of SNAP and SIN-1 at t = -30´. The amount of IL-1β released in response to ATP/Nig was calculated by subtracting the IL-1β concentrations measured in supernatants of cells treated with LPS alone. ∗ p ≤ 0.05 significantly different from samples, in which ATP or Nig was given alone. (E–H) Similar experiments were performed on primary human monocytes enriched from freshly collected human whole blood. Cells were primed with LPS (5 ng/ml, 20 min pulse) during the enrichment process. After 3 h, BzATP ((2’/3’-O-(4-benzoylbenzoyl)adenosine-5’-triphosphate, tri(triethylammonium) salt; 100 µM); (E, G) or Nig (F, H) was added for another 30 min to trigger IL-1β release. The IL-1β concentration in experiments, in which primed cells were stimulated with BzATP or Nig alone, was set to 100% and all other values were calculated accordingly. ∗ p ≤ 0.05 significantly different from samples, in which BzATP was given alone. (A–H) Data are presented as individual data points, bars represent median, whiskers percentiles 25 and 75. Friedman test followed by the Wilcoxon signed-rank test. |
|
Figure 6. The NO and peroxynitrite donor SIN-1 inhibits BzATP-induced ion channel functions of heterologously expressed human P2X7 receptors (hP2X7R). (A–C) Two-electrode voltage-clamp measurements were performed on Xenopus laevis oocytes expressing the hP2X7R. (A) In control experiments (ctrl) application of the P2X7R agonist BzATP ((2’/3’-O-(4-benzoylbenzoyl)adenosine-5’-triphosphate, tri(triethylammonium) salt; 10 µM; 2 min; black bar “1”) resulted in a current stimulation (ΔIBzATP1). After a wash out period, the oocytes were incubated for 2 h in oocyte Ringer’s solution as a control (ctrl). Thereafter, the BzATP-induced effect was determined for a second time (black bar “2”; ΔIBzATP2). (B) After determination of the ΔIBzATP1, oocytes were incubated for 2 h with SIN-1 (1 mM). Subsequently, the ΔIBzATP2 was determined. (C) The normalized ΔIBzATP values from experiments as shown in panel A and B (ΔIBzATP2/ΔIBzATP1) were statistically analyzed (∗ p ≤ 0.05 significantly different from ctrl). Data are presented as individual data points, bars represent median, whiskers encompass the 25th to 75th percentile. (D, E) Calcium imaging experiments were performed on hP2X7 receptor expressing HEK cells. Intracellular Ca2+ levels ([Ca2+]i) of HEK-P2X7R cells were recorded as Fura-2/AM (Fura-2) fluorescence intensity ratio of 340:380 nm excitation (mean ± SEM). (D) In control experiments (no SIN-1), application of BzATP (100 µM) induced a rise in [Ca2+]i. (E) Application of SIN-1 (1 mM) did not cause significant alterations in [Ca2+]i. In the presence of SIN-1 the BzATP-induced rise in [Ca2+]i was blunted (p ≤ 0.05 significantly different from BzATP-induced effect in (D). At the end of the experiment, a positive control for cell viability and the Ca2+ imaging setup was included: forskolin (Fsk, 40 µM) was applied to induce a cyclic adenosine monophosphate-triggered rise in [Ca2+]i. Friedman test followed by the Wilcoxon signed-rank test. |
|
Figure 7. The NO and peroxynitrite donor SIN-1 inhibits the BzATP-induced ion channel functions in human P2X7 receptor (hP2X7R) expressing HEK cells via the cysteine C377 in the C-terminal intracellular loop. (A, B) Depicted are representative current curves of whole-cell patch-clamp measurements. (A, C) In control experiments (ctrl) on human wild-type (WT) P2X7R expressing HEK cells (WT hP2X7-HEK), consecutive application of the P2X7R agonist BzATP (100 µM) induced repetitive ion current stimulations (BzATP1 and 2). (B, C) In the presence of SIN-1 (1 mM), the BzATP-induced ion current was blunted. (C) Similar experiments were performed on HEK cells expressing hP2X7R mutants generated by replacing cysteine 377 or 388 by an alanine (hP2X7_C377A; hP2X7_C388A) in the C-terminal intracellular loop. The BzATP-induced current changes (ΔIBzATP1, ΔIBzATP2) were normalized (ΔIBzATP2/ΔIBzATP1). (C) All BzATP-induced current changes (ΔIBzATP) are shown as individual data points, bars represent median, whiskers encompass the 25th to 75th percentile. *p ≤ 0.05, Friedman test followed by the Wilcoxon signed-rank test. |
|
Figure 8. Location of cysteines C377 and C388 in the rat P2X7 receptor (rP2X7R) in the open channel conformation. In all figures, the C-terminal residues 400-595 to the end of the 595 residues long subunits are hidden for simplicity. (A) Side view of the large extracellular domain harboring the ATP binding sites, the six transmembrane domains (3 x TM1 in white, 3 x TM2, in yellow), and an interfacial helically structured domain lying parallel to the membrane plane. Also shown are the three S342 residues, which constitute the channel gate (46). (B) Enlarged side view of the transmembrane domains, the S342 residues (cyan) and the position of two (of three each) residues C377 and C388 in the interfacial region. The other blue spheres indicate additional cysteines of the cysteine-rich domain. (C) Perpendicular view from the cytoplasmic side on the numerous cysteine residues of the interfacial region and the transmembrane domains above. |
|
Figure 9. Schematic summary of the proposed metabotropic signaling mechanism. In mononuclear phagocytes extracellular ATP originating from activated cells or spilled cytoplasm of damaged cells trigger the ionotropic function of the P2X7R, resulting in NLRP3 inflammasome assembly, activation of caspase-1, cleavage of pro-IL-1β and release of bioactive IL-1β. Activation of nAChRs by classical and unconventional agonists down-regulates the response of the ATP-sensitive P2X7R, impairs NLRP3 inflammasome assembly and, consequently, the maturation as well as the release of IL-1β. We provide evidence that this inhibitory effect of nAChR stimulation on the secretion of IL-1β is mediated via endothelial NOS and modification of the P2X7R. ACh, acetylcholine; ATP, adenosine triphosphate; CRP, C-reactive protein; DAMP, danger-associated molecular pattern; IL-1β, interleukin-1β; LPS, lipopolysaccharide; nAChRs, nicotinic acetylcholine receptors; NF-κB, nuclear factor κB; NLRP3, NACHT, LRR, and PYD domains-containing protein 3; NOS, NO synthase; P2X7R, P2X7 receptor; PAMP, pathogen-associated molecular pattern; PC, phosphocholine; SNAP, S-nitroso-N-acetyl-DL-penicillamine; TLR, Toll-like receptors. |