Click here to close
Hello! We notice that you are using Internet Explorer, which is not supported by Xenbase and may cause the site to display incorrectly.
We suggest using a current version of Chrome,
FireFox, or Safari.
Front Pharmacol
2023 Jan 01;14:1087171. doi: 10.3389/fphar.2023.1087171.
Show Gene links
Show Anatomy links
Dopamine-induced arrestin recruitment and desensitization of the dopamine D4 receptor is regulated by G protein-coupled receptor kinase-2.
Burström V, Ågren R, Betari N, Valle-León M, Garro-Martínez E, Ciruela F, Sahlholm K.
???displayArticle.abstract???
The dopamine D4 receptor (D4R) is expressed in the retina, prefrontal cortex, and autonomic nervous system and has been implicated in attention deficit hyperactivity disorder (ADHD), substance use disorders, and erectile dysfunction. D4R has also been investigated as a target for antipsychotics due to its high affinity for clozapine. As opposed to the closely related dopamine D2 receptor (D2R), dopamine-induced arrestin recruitment and desensitization at the D4R have not been studied in detail. Indeed, some earlier investigations could not detect arrestin recruitment and desensitization of this receptor upon its activation by agonist. Here, we used a novel nanoluciferase complementation assay to study dopamine-induced recruitment of β-arrestin2 (βarr2; also known as arrestin3) and G protein-coupled receptor kinase-2 (GRK2) to the D4R in HEK293T cells. We also studied desensitization of D4R-evoked G protein-coupled inward rectifier potassium (GIRK; also known as Kir3) current responses in Xenopus oocytes. Furthermore, the effect of coexpression of GRK2 on βarr2 recruitment and GIRK response desensitization was examined. The results suggest that coexpression of GRK2 enhanced the potency of dopamine to induce βarr2 recruitment to the D4R and accelerated the rate of desensitization of D4R-evoked GIRK responses. The present study reveals new details about the regulation of arrestin recruitment to the D4R and thus increases our understanding of the signaling and desensitization of this receptor.
FIGURE 1. Arrestin recruitment to the D4R as measured by a modified NanoBiT complementation bioluminescence assay. (A) A dopamine concentration-dependent increase in luminescence was observed in cells co-transfected with D4R-NP and LgBiT-βarr2, but not with either construct alone. (B) Kinetic experiments revealed a blockade of the dopamine-induced luminescence increase upon application of the D4R antagonist clozapine. (C) Dopamine concentration-response curve for the increase in luminescence in cells co-transfected with D2R-NP and LgBiT-βarr2, or with negative control (D2R-NP expressed alone). (D) Kinetic experiments revealed a blockade of the dopamine-induced luminescence increase upon application of the D2R antagonist raclopride. Asterisks and horizontal bars indicate intervals of statistically significant differences between HBSS control conditions and clozapine or raclopride. ***; p < 0.001, repeated measures ANOVA with Sidak’s multiple comparisons test. Luminescence data are expressed as fractions of the signal observed in vehicle-treated wells (A, C) or prior to dopamine application (B, D). Each data point in (A–D) represents mean ± SEM of eight replicate wells from one representative experiment performed three to five times. SEM bands are shown in (B, D). For some data points, SEM bars or bands are obscured by the symbols representing the means.
FIGURE 2. Assessment of GRK2 recruitment to the D4R and the D2R. (A) Concentration-response relationships for dopamine-induce luminescence increase in cells co-expressing D4R-NP with GRK2-LgBiT, or either construct expressed alone. Measurements were taken 3 min after the addition of dopamine. (B) Kinetic experiments revealed a transient increase in dopamine-induced luminescence in cells co-expressing D4R-NP with GRK2-LgBiT. (C) Concentration-response relationships for dopamine-induce luminescence increase in cells co-expressing D2R-NP with GRK2-LgBiT. Measurements were taken 3 min after the addition of dopamine. (D) Kinetic experiments showing the time course of the dopamine-induced luminescence increase in cells co-expressing D2R-NP with GRK2-LgBiT and the blockade of the response to dopamine upon application of the D2R antagonist raclopride. Asterisks and horizontal bar indicate an interval of statistically significant differences between the raclopride and HBSS control conditions. ***; p < 0.001, repeated measures ANOVA with Sidak’s multiple comparisons test. Luminescence data are expressed as fractions of the signal observed in vehicle-treated wells (A, C), or prior to dopamine application (B, D). Data points represent mean ± SEM from eight replicate wells from one representative example out of three independent experiments. SEM bands are shown in (B, D). For some data points, SEM bars or bands are obscured by the symbols representing the means.
FIGURE 3. βarr2-induced desensitization of D4R in Xenopus oocytes. Oocytes were injected with D4R cRNA together with RGS4 and GIRK1/4 channel subunit cRNAs, in addition to variable amounts of βarr2 cRNA, as indicated. (A) Peak-normalized and averaged traces of GIRK currents evoked by 1 μM dopamine in oocytes co-injected with varying amounts of βarr2 cRNA. (B) D4R desensitization rate expressed as residual GIRK response (fraction of initial peak response) after 415 s application of 1 µM dopamine. Data from the experiments shown in (A) Asterisks denote statistically significant effects of GRK2 coexpression vs control. ***; p < 0.001, **; p = 0.004, n.s.; not significant, one-way ANOVA with Dunnett’s test for multiple comparisons. (C) Peak amplitudes of GIRK current responses shown in (A) Data points represent mean ± SEM from three to nine oocytes, as indicated. Superimposed symbols in bar graphs represent individual data points. No statistically significant effects of GRK2 coexpression on current amplitude were observed (Kruskal–Wallis test with Dunn’s correction for multiple comparisons).
FIGURE 4. Impact of GRK2 co-expression on arrestin recruitment to the D4R and on desensitization of D4R-evoked GIRK responses. (A) Concentration-dependence of dopamine-induced luminescence increase in cells co-expressing LgBiT- βarr2 and D4R-NP, with and without exogenous GRK2 expression. Each data point represents mean ± SEM of data from eight replicate wells. Curves shown from one representative experiment out of a total of four. Data from all experiments are shown in (B, C). (B) Co-transfection of 10 µg of GRK2 significantly decreased the dopamine EC50 in the βarr2 recruitment assay by about 3-fold. *; p = 0.026, Student’s paired t-test. (C) Co-transfection of 10 µg of GRK2 did not significantly affect the Top parameter. ns; not significant, p = 0.125, Wilcoxon matched-pairs signed rank test. (D) Concentration-dependence of dopamine-induced luminescence increase in cells co-expressing LgBiT- βarr2 and D2R-NP, with and without exogenous GRK2 expression. Each data point represents mean ± SEM of data from eight replicate wells. Curves shown from one representative experiment out of a total of four. Data from all experiments are shown in (E, F). (E) Co-transfection of 10 µg of GRK2 significantly decreased the dopamine EC50 in the βarr2 recruitment assay by about 10-fold. **; p = 0.002, Student’s paired t-test. (F) Co-transfection of 10 µg of GRK2 significantly decreased the Top parameter. **; p = 0.003, Student’s paired t-test. (G) Peak-normalized and averaged traces of GIRK currents evoked by 1 μM dopamine in oocytes co-injected with D4R, RGS4, GIRK1/4, 1.9 ng βarr2, and 0 or 0.3 ng GRK2 cRNAs, as indicated. Data points represent mean ± SEM from six or seven oocytes. (H) Residual GIRK responses (fraction of initial peak response) after 415 s of dopamine application, representing the rate of desensitization under the conditions shown in (G). Co-expression of GRK2 significantly decreased the residual response amplitude. **; p = 0.005, Mann-Whitney test. (I) Peak currents for the conditions shown in (G). Superimposed symbols in bar graphs represent data from individual oocytes. No statistically significant effects of GRK2 coexpression on current amplitude were observed (ns; not significant, p = 0.090, Student’s unpaired t-test). For some data points in (A, D), SEM bars are obscured by the symbols representing the means.
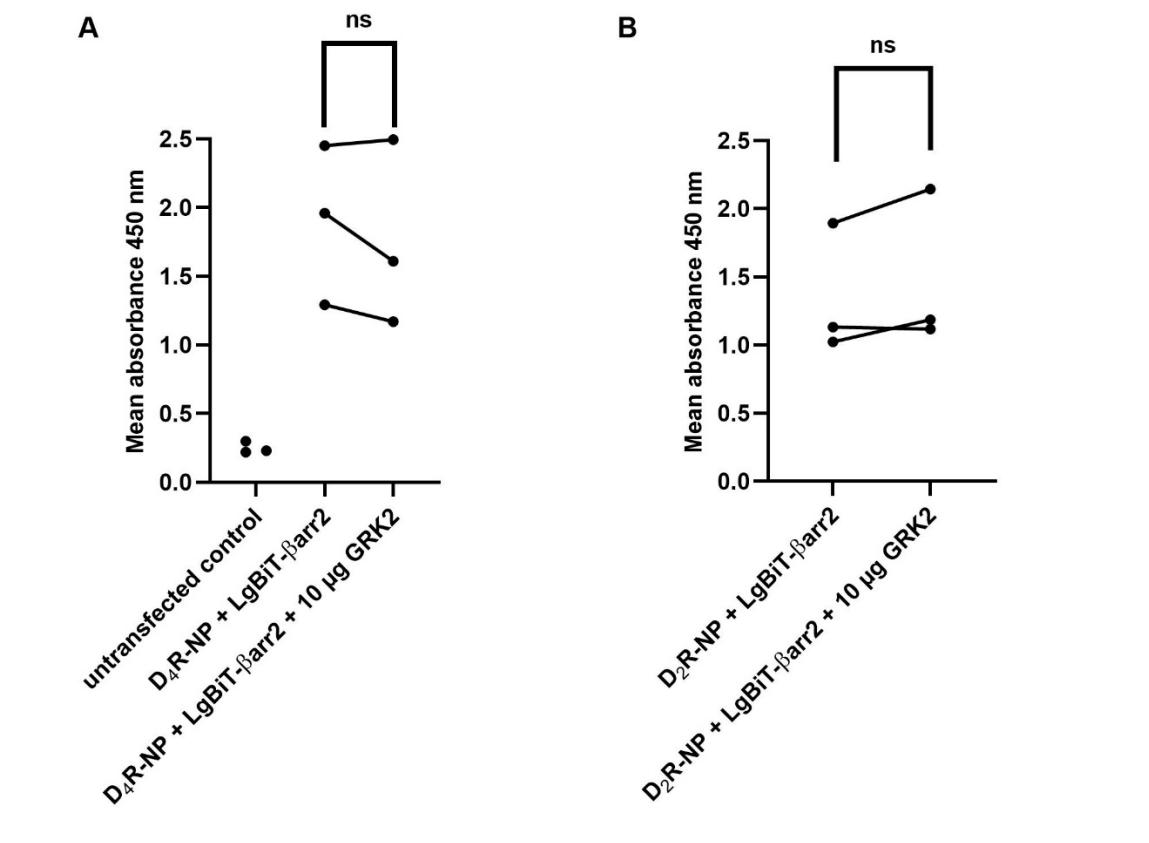
Supplementary Figure 1. Surface expression, as determined by anti-FLAG whole-cell ELISA, of (A) D4R-NP and (B) D2R-NP in HEK 293T cells cotransfected with either receptor construct
and LgBit-βarr2 with or without exogenous GRK2. ns; not significant, Student’s paired t-test.
Ågren,
G protein-coupled receptor kinase-2 confers isoform-specific calcium sensitivity to dopamine D2 receptor desensitization.
2021, Pubmed,
Xenbase
Ågren,
G protein-coupled receptor kinase-2 confers isoform-specific calcium sensitivity to dopamine D2 receptor desensitization.
2021,
Pubmed
,
Xenbase Asghari,
Modulation of intracellular cyclic AMP levels by different human dopamine D4 receptor variants.
1995,
Pubmed Beaulieu,
The physiology, signaling, and pharmacology of dopamine receptors.
2011,
Pubmed Beaulieu,
An Akt/beta-arrestin 2/PP2A signaling complex mediates dopaminergic neurotransmission and behavior.
2005,
Pubmed Bonaventura,
Key role of the dopamine D4 receptor in the modulation of corticostriatal glutamatergic neurotransmission.
2017,
Pubmed Bonvicini,
DRD4 48 bp multiallelic variants as age-population-specific biomarkers in attention-deficit/hyperactivity disorder.
2020,
Pubmed Celver,
Arrestin-dependent but G-protein coupled receptor kinase-independent uncoupling of D2-dopamine receptors.
2013,
Pubmed
,
Xenbase Chio,
D4 dopamine receptor-mediated signaling events determined in transfected Chinese hamster ovary cells.
1994,
Pubmed Defagot,
Quantitative analysis of the dopamine D4 receptor in the mouse brain.
2000,
Pubmed Di Ciano,
Dopamine D4 receptors in psychostimulant addiction.
2014,
Pubmed Dixon,
NanoLuc Complementation Reporter Optimized for Accurate Measurement of Protein Interactions in Cells.
2016,
Pubmed Doupnik,
RGS proteins reconstitute the rapid gating kinetics of gbetagamma-activated inwardly rectifying K+ channels.
1997,
Pubmed
,
Xenbase England,
NanoLuc: A Small Luciferase Is Brightening Up the Field of Bioluminescence.
2016,
Pubmed Forster,
A Split Luciferase Complementation Assay for the Quantification of β-Arrestin2 Recruitment to Dopamine D2-Like Receptors.
2020,
Pubmed García-Pedraza,
Dopamine D4 receptor subtype activation reduces the rat cardiac parasympathetic discharge.
2020,
Pubmed González,
Dopamine D4 receptor, but not the ADHD-associated D4.7 variant, forms functional heteromers with the dopamine D2S receptor in the brain.
2012,
Pubmed Kazmi,
Selective reconstitution of human D4 dopamine receptor variants with Gi alpha subtypes.
2000,
Pubmed Keck,
Dopamine D4 Receptor-Selective Compounds Reveal Structure-Activity Relationships that Engender Agonist Efficacy.
2019,
Pubmed Kim,
Differential regulation of the dopamine D2 and D3 receptors by G protein-coupled receptor kinases and beta-arrestins.
2001,
Pubmed Kozielewicz,
Structural insight into small molecule action on Frizzleds.
2020,
Pubmed Laschet,
A dynamic and screening-compatible nanoluciferase-based complementation assay enables profiling of individual GPCR-G protein interactions.
2019,
Pubmed Lauzon,
Dopamine D4-receptor modulation of cortical neuronal network activity and emotional processing: Implications for neuropsychiatric disorders.
2010,
Pubmed Li,
Meta-analysis shows significant association between dopamine system genes and attention deficit hyperactivity disorder (ADHD).
2006,
Pubmed Lichter,
A hypervariable segment in the human dopamine receptor D4 (DRD4) gene.
1993,
Pubmed Lindsley,
Return of D4 Dopamine Receptor Antagonists in Drug Discovery.
2017,
Pubmed Liu,
D2S, D2L, D3, and D4 dopamine receptors couple to a voltage-dependent potassium current in N18TG2 x mesencephalon hybrid cell (MES-23.5) via distinct G proteins.
1999,
Pubmed Longo,
Transient mammalian cell transfection with polyethylenimine (PEI).
2013,
Pubmed Lyu,
Ultra-large library docking for discovering new chemotypes.
2019,
Pubmed Mann,
New phosphosite-specific antibodies to unravel the role of GRK phosphorylation in dopamine D2 receptor regulation and signaling.
2021,
Pubmed Matsumoto,
Full-length cDNA cloning and distribution of human dopamine D4 receptor.
1995,
Pubmed Meador-Woodruff,
Dopamine receptor mRNA expression in human striatum and neocortex.
1996,
Pubmed Missale,
Dopamine receptors: from structure to function.
1998,
Pubmed Namkung,
G protein-coupled receptor kinase-2 constitutively regulates D2 dopamine receptor expression and signaling independently of receptor phosphorylation.
2009,
Pubmed Newman-Tancredi,
Agonist and antagonist properties of antipsychotics at human dopamine D4.4 receptors: G-protein activation and K+ channel modulation in transfected cells.
2008,
Pubmed
,
Xenbase Pack,
The dopamine D2 receptor can directly recruit and activate GRK2 without G protein activation.
2018,
Pubmed Pavletić,
Highly Potent and Selective Dopamine D4 Receptor Antagonists Potentially Useful for the Treatment of Glioblastoma.
2022,
Pubmed Pirzer,
Benzyl Phenylsemicarbazides: A Chemistry-Driven Approach Leading to G Protein-Biased Dopamine D4 Receptor Agonists with High Subtype Selectivity.
2019,
Pubmed Sahlholm,
Differential voltage-sensitivity of D2-like dopamine receptors.
2008,
Pubmed
,
Xenbase Sahlholm,
Agonist-specific voltage sensitivity at the dopamine D2S receptor--molecular determinants and relevance to therapeutic ligands.
2011,
Pubmed
,
Xenbase Sánchez-Soto,
Evidence for Noncanonical Neurotransmitter Activation: Norepinephrine as a Dopamine D2-Like Receptor Agonist.
2016,
Pubmed Skinbjerg,
Arrestin3 mediates D(2) dopamine receptor internalization.
2009,
Pubmed Spooren,
Resistance of the dopamine D4 receptor to agonist-induced internalization and degradation.
2010,
Pubmed Urs,
Distinct cortical and striatal actions of a β-arrestin-biased dopamine D2 receptor ligand reveal unique antipsychotic-like properties.
2016,
Pubmed Van Tol,
Cloning of the gene for a human dopamine D4 receptor with high affinity for the antipsychotic clozapine.
1991,
Pubmed Van Tol,
Multiple dopamine D4 receptor variants in the human population.
1992,
Pubmed Wang,
D4 dopamine receptor high-resolution structures enable the discovery of selective agonists.
2017,
Pubmed Wedemeyer,
Functional activation by central monoamines of human dopamine D(4) receptor polymorphic variants coupled to GIRK channels in Xenopus oocytes.
2007,
Pubmed
,
Xenbase Werner,
D2, D3, and D4 dopamine receptors couple to G protein-regulated potassium channels in Xenopus oocytes.
1996,
Pubmed
,
Xenbase Wingler,
Conformational Basis of G Protein-Coupled Receptor Signaling Versatility.
2020,
Pubmed Zheng,
Cytoplasmic recruitment of Mdm2 as a common characteristic of G protein-coupled receptors that undergo desensitization.
2020,
Pubmed