|
FIGURE 1 Evaluation of CORT response in selected genes. Premetamorphic tadpoles at Nieuwkoop and Faber stage 54 (NF54) were treated with vehicle control or 100 nM CORT (corticosterone) for 24 hours followed by tail RNA extraction and quantitative PCR to quantify mRNA expression using gene specific primers for (A) calmodulin binding transcription activator 1 (camta1), (B) frizzled related protein (frzb), (C) GrpE like 1, mitochondrial (grpel1) (D) muscle associated receptor tyrosine kinase (musk), (E) serine dehydratase (sds), (F) sulfotransferase family 6B member 1 (sult6b1), and (G) ubiquitin specific peptidase 2 (usp2). Bars represent mean mRNA levels relative to the housekeeping gene rpl8 and normalized to a vehicle control sample. n = 10 tail samples per treatment. Error bars represent SE. Letters indicate significant groups, p < 0.05. |
|
FIGURE 2 Hormone induction specificity of frzb in tadpole tails. Premetamorphic tadpoles (NF 54) were treated with vehicle, 100 nM CORT (corticosterone), 10 nM T3 (triiodothyronine), and CORT+T3 for 24 h. Tails were dissected, followed by RNA extraction and quantitative PCR for frzb and the housekeeping gene rpl8. Bars represent mean mRNA levels relative to rpl8 and normalized to a vehicle control sample. n = 10 tail samples per treatment. Error bars represent SE. Letters indicate significant groups, p < 0.05. |
|
FIGURE 3 Tissue expression profile of frzb in tadpoles. Premetamorphic tadpoles (NF 54) were treated with vehicle and 100 nM CORT (corticosterone) for 24 hours. Tails (A), livers (B), and brains (C) were dissected, followed by RNA extraction and quantitative PCR to measure mRNA expression of frzb and the housekeeping gene rpl8. Bars represent mean mRNA levels relative to rpl8 and normalized to a vehicle control sample. n = 10 tail samples per treatment. Error bars represent SE. Letters indicate significant groups, p < 0.05. |
|
FIGURE 4 Developmental expression profile of klf9, frzb, and ush1g in tadpole tails throughout metamorphosis. Tails from tadpoles at the indicated NF stages were harvested, followed by tail RNA extraction and quantitative PCR to measure mRNA expression levels of klf9 (A), frzb (B), ush1g (C) and the housekeeping gene rpl8. Bars represent mean mRNA levels relative to rpl8 and normalized to a vehicle control sample. n = 10 tail samples per treatment. Error bars represent SE. Letters indicate significant groups, p < 0.05. |
|
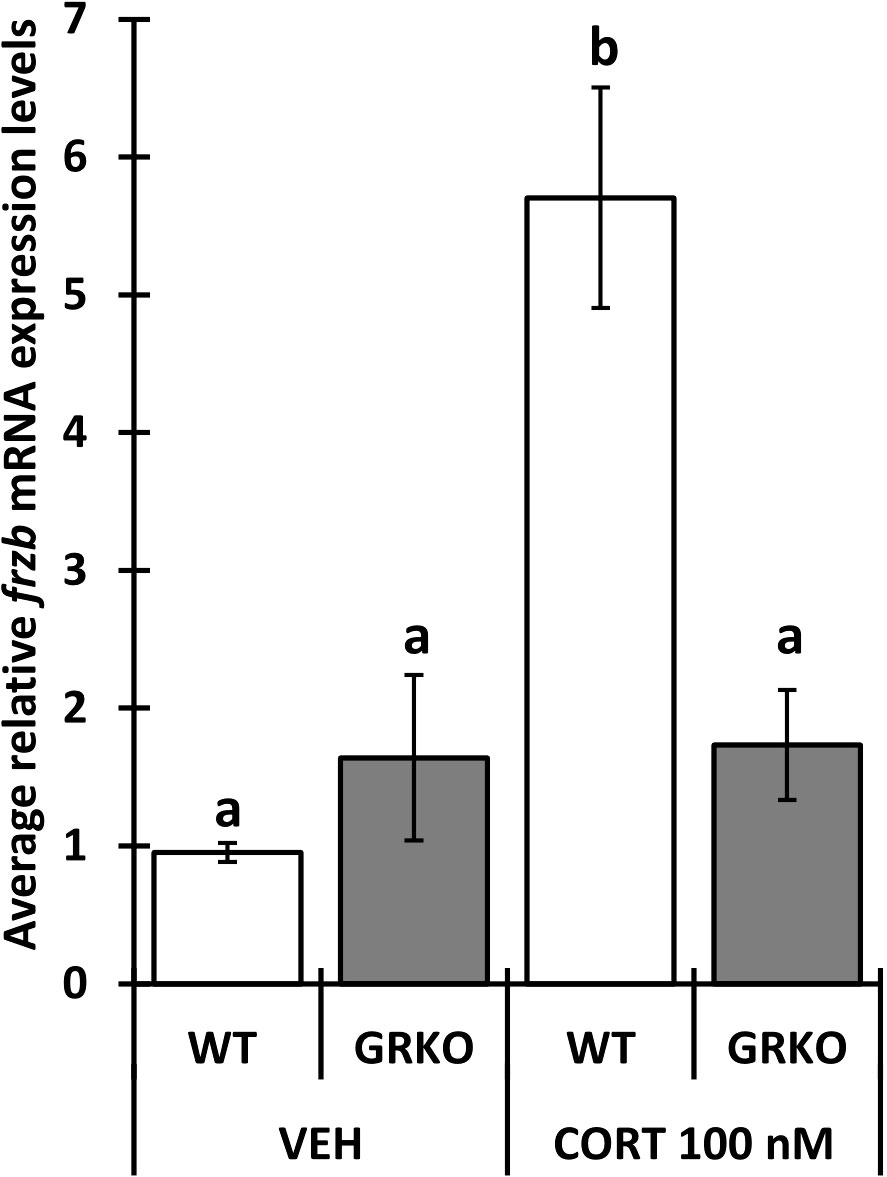
FIGURE 5 Impaired frzb induction in glucocorticoid receptor knockout (GRKO) tails. Premetamorphic wild-type and GRKO tadpoles (NF 54) were treated with vehicle control or 100 nM CORT (corticosterone) for 24 hours followed by tail RNA extraction and quantitative PCR to quantify mRNA expression of frzb and the housekeeping gene rpl8. Bars represent mean mRNA levels relative to rpl8 and normalized to a vehicle control sample. n = 10 tail samples per treatment. Error bars represent SE. Letters indicate significant groups, p < 0.05. |
|
FIGURE 6 Dose response and time course for CORT induction of frzb, ush1g, and klf9 in tadpole tails. (A-C) Premetamorphic tadpoles (NF 54) were treated with vehicle and 50, 100, 250, and 500 nM of CORT (corticosterone) for 24 hours. (D-F) Premetamorphic tadpoles (NF 54) were treated with 100 nM CORT for 0, 3, 6, 12, 24, and 48 hours. Tails were dissected from tadpoles followed by RNA extraction and quantitative PCR to measure mRNA expression of frzb, ush1g, and klf9 and the housekeeping gene rpl8. Bars represent mean mRNA levels relative to rpl8 and normalized to a vehicle control sample. n = 10 tail samples per treatment. Error bars represent SE. Letters indicate significant groups, p < 0.05. |
|
FIGURE 7 Induction of klf9, frzb and ush1g in X. laevis. Premetamorphic (NF 54) X. laevis tadpoles were treated with vehicle control or 100 nM CORT (corticosterone) for 24 hours followed by tail RNA extraction and quantitative PCR to quantify mRNA expression of klf9 (A) , frzb (B), and ush1g (C). Bars represent mean mRNA levels relative to the housekeeping gene rpl8 and normalized to a vehicle control sample. n = 10 tail samples per treatment. Error bars represent SE. Letters indicate significant groups, p < 0.05. |
|
Figure 1. Evaluation of CORT response in selected genes. Premetamorphic tadpoles at Nieuwkoop and Faber stage 54 (NF54) were treated with vehicle control or 100 nM CORT (corticosterone) for 24 hours followed by tail RNA extraction and quantitative PCR to quantify mRNA expression using gene specific primers for (A) calmodulin binding transcription activator 1 (camta1), (B) frizzled related protein (frzb), (C) GrpE like 1, mitochondrial (grpel1) (D) muscle associated receptor tyrosine kinase (musk), (E) serine dehydratase (sds), (F) sulfotransferase family 6B member 1 (sult6b1), and (G) ubiquitin specific peptidase 2 (usp2). Bars represent mean mRNA levels relative to the housekeeping gene rpl8 and normalized to a vehicle control sample. n = 10 tail samples per treatment. Error bars represent SE. Letters indicate significant groups, p < 0.05. |
|
Figure 2. Hormone induction specificity of frzb in tadpole tails. Premetamorphic tadpoles (NF 54) were treated with vehicle, 100 nM CORT (corticosterone), 10 nM T3 (triiodothyronine), and CORT+T3 for 24 h. Tails were dissected, followed by RNA extraction and quantitative PCR for frzb and the housekeeping gene rpl8. Bars represent mean mRNA levels relative to rpl8 and normalized to a vehicle control sample. n = 10 tail samples per treatment. Error bars represent SE. Letters indicate significant groups, p < 0.05. |
|
Figure 3. Tissue expression profile of frzb in tadpoles. Premetamorphic tadpoles (NF 54) were treated with vehicle and 100 nM CORT (corticosterone) for 24 hours. Tails (A), livers (B), and brains (C) were dissected, followed by RNA extraction and quantitative PCR to measure mRNA expression of frzb and the housekeeping gene rpl8. Bars represent mean mRNA levels relative to rpl8 and normalized to a vehicle control sample. n = 10 tail samples per treatment. Error bars represent SE. Letters indicate significant groups, p < 0.05. |
|
Figure 4. Developmental expression profile of klf9, frzb, and ush1g in tadpole tails throughout metamorphosis. Tails from tadpoles at the indicated NF stages were harvested, followed by tail RNA extraction and quantitative PCR to measure mRNA expression levels of klf9
(A), frzb
(B), ush1g
(C) and the housekeeping gene rpl8. Bars represent mean mRNA levels relative to rpl8 and normalized to a vehicle control sample. n = 10 tail samples per treatment. Error bars represent SE. Letters indicate significant groups, p < 0.05. |
|
Figure 5. Impaired frzb induction in glucocorticoid receptor knockout (GRKO) tails. Premetamorphic wild-type and GRKO tadpoles (NF 54) were treated with vehicle control or 100 nM CORT (corticosterone) for 24 hours followed by tail RNA extraction and quantitative PCR to quantify mRNA expression of frzb and the housekeeping gene rpl8. Bars represent mean mRNA levels relative to rpl8 and normalized to a vehicle control sample. n = 10 tail samples per treatment. Error bars represent SE. Letters indicate significant groups, p < 0.05. |
|
Figure 6. Dose response and time course for CORT induction of frzb, ush1g, and klf9 in tadpole tails. (A-C) Premetamorphic tadpoles (NF 54) were treated with vehicle and 50, 100, 250, and 500 nM of CORT (corticosterone) for 24 hours. (D-F) Premetamorphic tadpoles (NF 54) were treated with 100 nM CORT for 0, 3, 6, 12, 24, and 48 hours. Tails were dissected from tadpoles followed by RNA extraction and quantitative PCR to measure mRNA expression of frzb, ush1g, and klf9 and the housekeeping gene rpl8. Bars represent mean mRNA levels relative to rpl8 and normalized to a vehicle control sample. n = 10 tail samples per treatment. Error bars represent SE. Letters indicate significant groups, p < 0.05. |
|
Figure 7. Induction of klf9, frzb and ush1g in X. laevis. Premetamorphic (NF 54) X. laevis tadpoles were treated with vehicle control or 100 nM CORT (corticosterone) for 24 hours followed by tail RNA extraction and quantitative PCR to quantify mRNA expression of klf9
(A)
, frzb
(B), and ush1g
(C). Bars represent mean mRNA levels relative to the housekeeping gene rpl8 and normalized to a vehicle control sample. n = 10 tail samples per treatment. Error bars represent SE. Letters indicate significant groups, p < 0.05. |