XB-ART-60158
Front Cell Dev Biol
2023 Jan 01;11:1208279. doi: 10.3389/fcell.2023.1208279.
Show Gene links
Show Anatomy links
Genetically programmed retinoic acid deficiency during gastrulation phenocopies most known developmental defects due to acute prenatal alcohol exposure in FASD.
Petrelli B, Oztürk A, Pind M, Ayele H, Fainsod A, Hicks GG.
???displayArticle.abstract???
Fetal Alcohol Spectrum Disorder (FASD) arises from maternal consumption of alcohol during pregnancy affecting 2%-5% of the Western population. In Xenopus laevis studies, we showed that alcohol exposure during early gastrulation reduces retinoic acid (RA) levels at this critical embryonic stage inducing craniofacial malformations associated with Fetal Alcohol Syndrome. A genetic mouse model that induces a transient RA deficiency in the node during gastrulation is described. These mice recapitulate the phenotypes characteristic of prenatal alcohol exposure (PAE) suggesting a molecular etiology for the craniofacial malformations seen in children with FASD. Gsc +/Cyp26A1 mouse embryos have a reduced RA domain and expression in the developing frontonasal prominence region and delayed HoxA1 and HoxB1 expression at E8.5. These embryos also show aberrant neurofilament expression during cranial nerve formation at E10.5 and have significant FASD sentinel-like craniofacial phenotypes at E18.5. Gsc +/Cyp26A1 mice develop severe maxillary malocclusions in adulthood. Phenocopying the PAE-induced developmental malformations with a genetic model inducing RA deficiency during early gastrulation strongly supports the alcohol/vitamin A competition model as a major molecular etiology for the neurodevelopmental defects and craniofacial malformations seen in children with FASD.
???displayArticle.pubmedLink??? 37397253
???displayArticle.pmcLink??? PMC10311642
???displayArticle.link??? Front Cell Dev Biol
Species referenced: Xenopus laevis
Genes referenced: cyp26a1 gsc hoxa1 hoxb1 snai1 sox17b
GO keywords: gastrulation [+]
retinoic acid metabolic process
retinoic acid receptor signaling pathway involved in neural plate anterior/posterior pattern formation
???displayArticle.disOnts??? fetal alcohol syndrome [+]
???attribute.lit??? ???displayArticles.show???
|
|
FIGURE 1. Gsc:Cyp26A1-eGFP gene targeting design and mouse derivation. (A) The Gsc:Cyp26A1-eGFP cassette was targeted to exon 2 of the endogenous Gsc gene by homologous recombination. (B) Cyp26A1 was used to catabolize RA and all RA isoforms in cells expressing Gsc. eGFP is a co-expressed fluorescent marker used to identify these cells in in vitro and in vivo studies. The cassette was constructed with two cyclin T2A peptide-bond-skipping translation elements to translate both the Cyp26A1 and eGFP gene products as individual proteins when the Gsc promoter was activated. Neomycin is a mammalian selection marker for gene targeting, which was later removed in vivo by crossing with a Cre mouse. The G12 strain uses a T2A translational element for Cyp26A1. The H4 strain uses an IRES translational element for Cyp26A1. (C) All targeting steps in ES cells and C57BL/6N mice were sequence validated to ensure correct recombination events and intact functional elements. Gateway recombineering sites (green box) and primers (dark blue arrows), and loxP sites (red triangle) are indicated. |
|
|
FIGURE 2. Gsc:Cyp26A1-eGFP is expressed in embryoid bodies induced with activin A and fibroblast growth factor (FGF). (A) Embryoid body (EB) formation was used to generate definitive endoderm germ cells in vitro. Activin A and FGF-2 were used to induce Gsc gene expression, including Cyp26A1-eGFP expression from the targeted Gsc allele. Results clearly demonstrate Gsc:Cyp26A1-eGFP is inducible under these conditions by eGFP expression in Activin A treated cells (middle panels), but not in untreated or EBs generated from wild-type ES cells (left and right panels, respectively). ES cell clones used to generate EBs are identified (C2, H4, G12). (B) Sox17 immunocytochemistry was performed on embryoid bodies to confirm definitive endoderm cell induction (Sox 17). Nuclear staining (DAPI) and overlay (MERGE) are shown. Scale bars: 200 um (A); 40 um (B). |
|
|
FIGURE 3. Gsc+/Cyp26A1 E8.5 embryos have a reduction in RA activity/RARE-LacZ expression. (A–I) Gsc+/Cyp26A1 mice were crossed with RARE-LacZ+/+mice containing a transgene reporter for intracellular RA levels. Each row shows representative embryos from the same litter with WT, and Gsc+/Cyp26A1 embryos with mild expression change or severe pattern and expression changes. Gsc+/Cyp26A1/RARE-Lac-Z+/− embryos demonstrate a reduction in retinoic acid (RA) activity/RARE-LacZ expression (B, C, E, F, H, I lighter blue X-gal staining) in the frontonasal prominence region. WT embryos (Gsc+/+/RARE-Lac-Z+/−) develop proper frontonasal prominence formation and show normal RA levels (A, D, G). These data show Gsc+/Cyp26A1 embryos have reduced retinoic acid activity, specifically a change in RARE-LacZ expression in the frontonasal prominence. Gsc+/Cyp26A1/RARE-Lac-Z+/− embryos also show aberrations in RA dependent embryonic patterning, including changes in morphology of the frontonasal prominence region (H′, I′), compared to WT siblings (G′, neural crest cell derived lineage; black arrowhead). Severe malformations and changes in RARE-LacZ expression in the frontonasal prominence region occur in approximately 16% of Gsc+/Cyp26A1/RARE-Lac-Z+/− (C, F, I; Table 2). n = 10 litters, n = 30 Gsc+/Cyp26A1/RARE-Lac-Z+/− embryos and n = 48 WT/RARE-Lac-Z+/− embryos. Scale bars: 200 um (A–I). |
|
|
FIGURE 4. RARE-LacZ expression returns to normal in E9.5 Gsc+/Cyp26A1 embryos. (A, B) E9.5 Gsc+/Cyp26A1 embryos have a smaller head morphology compared to WT embryos, but have no distinct changes in RARE-LacZ patterning compared to WT. E10.5 and E11.5 (E) Gsc+/Cyp26A1 embryos do not show distinct changes in embryonic patterning, gross morphology or intensity of RARE-LacZ expression in the frontonasal prominence, anterior somites, or developing trunk, as WT embryos (D, F, respectively). E9.5 n = 16 embryos, E10.5 n = 14 embryos, E11.5 n = 15 embryos, n = 2 (litters) per timepoint. Scale Bars: 500um (A–D), 1 mm (E, F). |
|
|
|
|
|
FIGURE 6. Gsc+/Cyp26A1 E10.5 embryos have aberrant neural crest cell migration in the developing cranial nerves. Gsc+/Cyp26A1 E10.5 embryos show a dysregulated cranial nerve patterning in the developing face and branchial arches derived from the neural crest cell lineage (B, D). Gsc+/Cyp26A1 E10.5 embryos have decreased neural crest cell migration in cranial nerves V (black arrows), VII, VIII, X, XI, and specifically IX (red arrows). WT Littermates demonstrate proper cranial nerve patterning in the developing face and branchial arches; and the cranial nerves are migrating as expected (A, C); cranial nerves are identified by red Roman numerals). Notice that cranial nerve V does not innervate the optic vesicle in either of the Gsc+/Cyp26A1 embryos, but correctly innervates the optic vesicle (black asterisk) in WT littermate embryos. These results demonstrate that the Gsc+/Cyp26A1 model results in aberrant neural crest cell proliferation and migration. * = optic vesicle. Immunohistochemistry marker: Neurofilament-200 (NF-200) protein. Scale Bars: 500 um (A–D). |
|
|
FIGURE 7. Gsc+/Cyp26A1 E18.5 embryos have Fetal Alcohol Syndrome (FAS)-like craniofacial malformations. (A) Landmark craniofacial measurements used for E18.5 embryo facial analysis. (Adapted from Anthony et al., 2010; Lipinski et al., 2012). E18.5 embryo SEM frontal pictures were used for Philtrum-Lip Ratio (1), Bigonial Line (2), Whisker Pad (3), and Snout Area (4) quantitative measurements. (B) E18.5 embryo SEM side-view pictures were used for Midfacial (5), Lower facial (6), Neck to Edge of Mandible (7), and Side Snout Area (8) quantitative measurements. Inset indicates the snout area (orange highlight). (C, E) Gsc+/Cyp26A1 E18.5 embryos have a less defined maxillary process resulting in a larger philtrum/philtrum-lip ratio compared to WT littermates (red arrow length/yellow arrow length). For comparison, WT littermates E18.5 embryos have a more defined, normal protruding maxillary formation resulting in a smaller philtrum/philtrum lip ratio. (D, F) Gsc+/Cyp26A1 E18.5 embryos have a narrower bigonial line width (red dashed line, asterisk marks the comparative length of Gsc+/Cyp26A1 bigonial line width on a WT sibling). (D) Whisker pad length measurement can be seen by the dark blue line, asterisk marks the comparative length of Gsc+/Cyp26A1 whisker pad length on a WT sibling (Table 4). (B, F) The orange overlay defines a smaller snout area in Gsc+/Cyp26A1 E18.5 embryos compared to WT sibling that has a larger snout area (Panel D, Table 4). Representative analysis of the most significant measurements are shown and box plots show data from litter 38 and 41, see Table 4 for litter measurement details. Scale bar = 4 mm. A t-test was used to determine statistical significance. * = p < 0.05. |
|
|
FIGURE 8. Gsc+/Cyp26A1 mice have severe craniofacial malocclusions. Gsc+/Cyp26A1 mice (B) demonstrate a curvature in the pre-maxillary process when compared to WT littermates (A). Gsc+/Cyp26A1 mice (E), red arrow; (F), white arrow do not have a curvature of the mandibular component, the mandible is straight when compared to the skull as seen in WT littermates (C), red arrow; (D), white arrow. The curvature to the maxillary component can be seen to impact the natural grinding of the incisors, ultimately causing a severe malocclusion in Gsc+/Cyp26A1 mice (B, I = maxillary incisors); the incisors grind normally in WT littermate mice (A, I = maxillary incisors). |
|
|
FIGURE 9. Gsc+/Cyp26A1 mice have a wider cranium compared to WT littermates. P60 Gsc+/Cyp26A1 mice show a statistically significant wider cranium in all 4 major skull region width measurements: Nasal Bone (A), L-R Anterolateral Frontal Bone (B), Frontal Bone (C), and Intraparietal Bone Widths (D). Gsc+/Cyp26A1 mice do not demonstrate a statistically significant difference in the 4 major skull region length measurements: Nasal Bone (E), Frontal Bone (F), Parietal Bone (G) and Intraparietal Bone lengths (H). Gsc+/Cyp26A1 mice, n = 10; C57BL/6N mice, n = 5; WT with spontaneous malocclusions, n = 3. A t-test was used to determine statistical significance. *p < 0.05, **p < 0.01. |
|
|
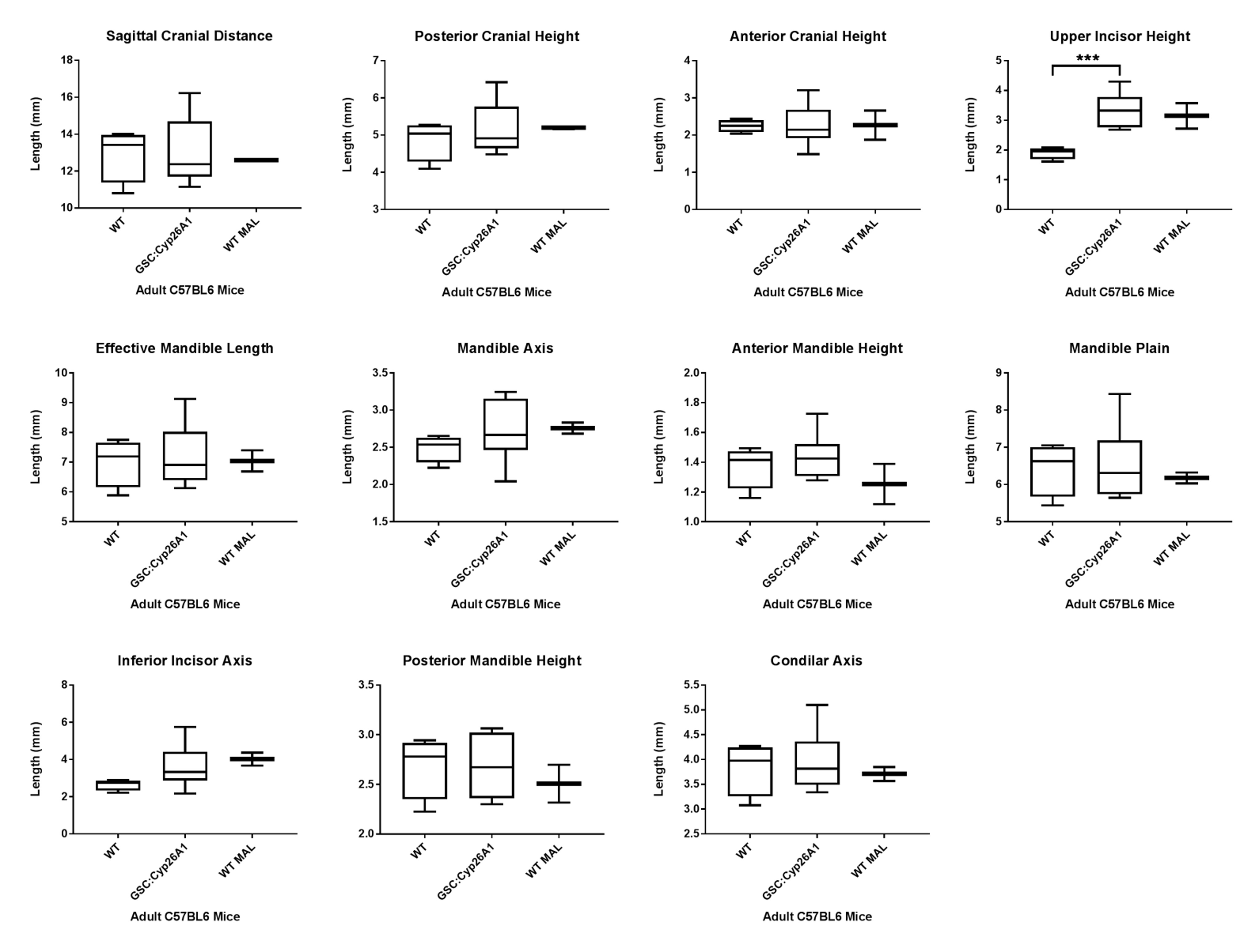
Supplemental Figure S1 | Gsc+/Cyp26A1 P60 mice have large upper incisors, but do not have any length or height variations in the cranium or mandible regions. Box plots for all height and length craniofacial landmark features are shown, as indicated. Gsc+/Cyp26A1 P60 mice were statistically different for only one measurement: the upper incisor height (upper right panel, P < 0.001). Trending results in the inferior incisor axis, posterior cranial height and mandible axis were observed in Gsc+/Cyp26A1 mice. Gsc+/Cyp26A1 mice, n = 10; C57BL/6N mice, n = 4; WT with spontaneous malocclusions, n = 3. ***P < 0.001. |
References [+] :
Alberry,
Developmental and behavioral consequences of early life maternal separation stress in a mouse model of fetal alcohol spectrum disorder.
2016, Pubmed
Alberry, Developmental and behavioral consequences of early life maternal separation stress in a mouse model of fetal alcohol spectrum disorder. 2016, Pubmed
Andersen, Moderate alcohol intake during pregnancy and risk of fetal death. 2012, Pubmed
Anthony, Alcohol-induced facial dysmorphology in C57BL/6 mouse models of fetal alcohol spectrum disorder. 2010, Pubmed
Astley, Measuring the facial phenotype of individuals with prenatal alcohol exposure: correlations with brain dysfunction. 2001, Pubmed
Bailey, Prenatal alcohol exposure and miscarriage, stillbirth, preterm delivery, and sudden infant death syndrome. 2011, Pubmed
Balmer, Gene expression regulation by retinoic acid. 2002, Pubmed
Blanck-Lubarsch, Malocclusion Can Give Additional Hints for Diagnosis of Fetal Alcohol Spectrum Disorder. 2019, Pubmed
Blum, Gastrulation in the mouse: the role of the homeobox gene goosecoid. 1992, Pubmed , Xenbase
Burd, Prenatal alcohol exposure, blood alcohol concentrations and alcohol elimination rates for the mother, fetus and newborn. 2012, Pubmed
Chojnowski, Temporal and spatial requirements for Hoxa3 in mouse embryonic development. 2016, Pubmed
Chudley, Fetal alcohol spectrum disorder: Canadian guidelines for diagnosis. 2005, Pubmed
Church, Hearing, language, speech, vestibular, and dentofacial disorders in fetal alcohol syndrome. 1997, Pubmed
Collins, A mouse for all reasons. 2007, Pubmed
Cook, Fetal alcohol spectrum disorder: a guideline for diagnosis across the lifespan. 2016, Pubmed
Cunningham, Retinoic Acid Activity in Undifferentiated Neural Progenitors Is Sufficient to Fulfill Its Role in Restricting Fgf8 Expression for Somitogenesis. 2015, Pubmed
Cunningham, Uncoupling of retinoic acid signaling from tailbud development before termination of body axis extension. 2011, Pubmed
Deschamps, Developmental regulation of the Hox genes during axial morphogenesis in the mouse. 2005, Pubmed
Dunty, Hindbrain and cranial nerve dysmorphogenesis result from acute maternal ethanol administration. 2002, Pubmed
Dupé, In vivo functional analysis of the Hoxa-1 3' retinoic acid response element (3'RARE). 1997, Pubmed
Dupé, A newborn lethal defect due to inactivation of retinaldehyde dehydrogenase type 3 is prevented by maternal retinoic acid treatment. 2003, Pubmed
Dupé, Retinoic acid receptors exhibit cell-autonomous functions in cranial neural crest cells. 2009, Pubmed
Fainsod, Fetal Alcohol Spectrum Disorder: Embryogenesis Under Reduced Retinoic Acid Signaling Conditions. 2020, Pubmed , Xenbase
Gavalas, Role of Hoxa-2 in axon pathfinding and rostral hindbrain patterning. 1997, Pubmed
Gavalas, Hoxa1 and Hoxb1 synergize in patterning the hindbrain, cranial nerves and second pharyngeal arch. 1998, Pubmed
Ghyselinck, Role of the retinoic acid receptor beta (RARbeta) during mouse development. 1997, Pubmed
Godin, Magnetic resonance microscopy defines ethanol-induced brain abnormalities in prenatal mice: effects of acute insult on gestational day 7. 2010, Pubmed
Gur, Reduced Retinoic Acid Signaling During Gastrulation Induces Developmental Microcephaly. 2022, Pubmed , Xenbase
Gur, Retinoic Acid is Required for Normal Morphogenetic Movements During Gastrulation. 2022, Pubmed , Xenbase
Halilagic, Retinoids control anterior and dorsal properties in the developing forebrain. 2007, Pubmed
Hoyme, Updated Clinical Guidelines for Diagnosing Fetal Alcohol Spectrum Disorders. 2016, Pubmed
Iwamuro, Comparative analysis of endoderm formation efficiency between mouse ES cells and iPS cells. 2010, Pubmed
Kam, Retinoic acid synthesis and functions in early embryonic development. 2012, Pubmed
Kaminen-Ahola, Maternal ethanol consumption alters the epigenotype and the phenotype of offspring in a mouse model. 2010, Pubmed
Karpinski, Dysphagia and disrupted cranial nerve development in a mouse model of DiGeorge (22q11) deletion syndrome. 2014, Pubmed , Xenbase
Kawakami, Cranial bone morphometric study among mouse strains. 2008, Pubmed
Keen, The plausibility of maternal nutritional status being a contributing factor to the risk for fetal alcohol spectrum disorders: the potential influence of zinc status as an example. 2010, Pubmed
Kim, High cleavage efficiency of a 2A peptide derived from porcine teschovirus-1 in human cell lines, zebrafish and mice. 2011, Pubmed
Kot-Leibovich, Ethanol induces embryonic malformations by competing for retinaldehyde dehydrogenase activity during vertebrate gastrulation. 2009, Pubmed , Xenbase
Kurosaka, Rdh10 loss-of-function and perturbed retinoid signaling underlies the etiology of choanal atresia. 2017, Pubmed
Lange, Global Prevalence of Fetal Alcohol Spectrum Disorder Among Children and Youth: A Systematic Review and Meta-analysis. 2017, Pubmed
Lee, A paradoxical teratogenic mechanism for retinoic acid. 2012, Pubmed
Lipinski, Ethanol-induced face-brain dysmorphology patterns are correlative and exposure-stage dependent. 2012, Pubmed
Lohnes, Function of the retinoic acid receptors (RARs) during development (I). Craniofacial and skeletal abnormalities in RAR double mutants. 1994, Pubmed
Makki, Identification of novel Hoxa1 downstream targets regulating hindbrain, neural crest and inner ear development. 2011, Pubmed
Mark, Function of retinoid nuclear receptors: lessons from genetic and pharmacological dissections of the retinoic acid signaling pathway during mouse embryogenesis. 2006, Pubmed
Mascrez, A transcriptionally silent RXRalpha supports early embryonic morphogenesis and heart development. 2009, Pubmed
Maves, Dynamic and sequential patterning of the zebrafish posterior hindbrain by retinoic acid. 2005, Pubmed
May, Prevalence and epidemiologic characteristics of FASD from various research methods with an emphasis on recent in-school studies. 2009, Pubmed
May, Prevalence of Fetal Alcohol Spectrum Disorders in 4 US Communities. 2018, Pubmed
Maynard, 22q11 Gene dosage establishes an adaptive range for sonic hedgehog and retinoic acid signaling during early development. 2013, Pubmed
Mic, Novel retinoic acid generating activities in the neural tube and heart identified by conditional rescue of Raldh2 null mutant mice. 2002, Pubmed
Molotkova, Role of retinoic acid during forebrain development begins late when Raldh3 generates retinoic acid in the ventral subventricular zone. 2007, Pubmed
Mooney, Time-specific effects of ethanol exposure on cranial nerve nuclei: gastrulation and neuronogenesis. 2007, Pubmed
Muley, The atRA-responsive gene neuron navigator 2 functions in neurite outgrowth and axonal elongation. 2008, Pubmed
Naidoo, Foetal alcohol syndrome: a cephalometric analysis of patients and controls. 2006, Pubmed
Niederreither, Embryonic retinoic acid synthesis is essential for early mouse post-implantation development. 1999, Pubmed
Niederreither, The regional pattern of retinoic acid synthesis by RALDH2 is essential for the development of posterior pharyngeal arches and the enteric nervous system. 2003, Pubmed
Niederreither, Retinoic acid synthesis and hindbrain patterning in the mouse embryo. 2000, Pubmed
Ogura, A retinoic acid-triggered cascade of HOXB1 gene activation. 1995, Pubmed
Ogura, Evidence for two distinct retinoic acid response pathways for HOXB1 gene regulation. 1995, Pubmed
Parihar, Retinoic Acid Fluctuation Activates an Uneven, Direction-Dependent Network-Wide Robustness Response in Early Embryogenesis. 2021, Pubmed , Xenbase
Parnell, Magnetic resonance microscopy defines ethanol-induced brain abnormalities in prenatal mice: effects of acute insult on gestational day 8. 2009, Pubmed
Paschaki, Transcriptomic analysis of murine embryos lacking endogenous retinoic acid signaling. 2013, Pubmed
Pennimpede, The role of CYP26 enzymes in defining appropriate retinoic acid exposure during embryogenesis. 2010, Pubmed
Petrelli, Insights into retinoic acid deficiency and the induction of craniofacial malformations and microcephaly in fetal alcohol spectrum disorder. 2019, Pubmed
Petrelli, Effects of prenatal alcohol exposure (PAE): insights into FASD using mouse models of PAE. 2018, Pubmed
Piette, An optimized procedure for whole-mount in situ hybridization on mouse embryos and embryoid bodies. 2008, Pubmed
Popova, Comorbidity of fetal alcohol spectrum disorder: a systematic review and meta-analysis. 2016, Pubmed
Ran, Genome engineering using the CRISPR-Cas9 system. 2013, Pubmed
Rhinn, Retinoic acid signalling during development. 2012, Pubmed
Ribes, Retinaldehyde dehydrogenase 2 (RALDH2)-mediated retinoic acid synthesis regulates early mouse embryonic forebrain development by controlling FGF and sonic hedgehog signaling. 2006, Pubmed
Rivera-Pérez, Goosecoid is not an essential component of the mouse gastrula organizer but is required for craniofacial and rib development. 1995, Pubmed , Xenbase
Ross, Cytochrome P450s in the regulation of cellular retinoic acid metabolism. 2011, Pubmed
Rossant, Expression of a retinoic acid response element-hsplacZ transgene defines specific domains of transcriptional activity during mouse embryogenesis. 1991, Pubmed
Sandell, RDH10 is essential for synthesis of embryonic retinoic acid and is required for limb, craniofacial, and organ development. 2007, Pubmed
Shabtai, Acetaldehyde inhibits retinoic acid biosynthesis to mediate alcohol teratogenicity. 2018, Pubmed , Xenbase
Shabtai, Competition between ethanol clearance and retinoic acid biosynthesis in the induction of fetal alcohol syndrome. 2018, Pubmed
Shukrun, Retinoic acid signaling reduction recapitulates the effects of alcohol on embryo size. 2019, Pubmed , Xenbase
Sirbu, Retinoic-acid signalling in node ectoderm and posterior neural plate directs left-right patterning of somitic mesoderm. 2006, Pubmed
Soto-Gutiérrez, Differentiation of mouse embryonic stem cells to hepatocyte-like cells by co-culture with human liver nonparenchymal cell lines. 2007, Pubmed
Sulik, Teratogens and craniofacial malformations: relationships to cell death. 1988, Pubmed
Sulik, Sequence of developmental alterations following acute ethanol exposure in mice: craniofacial features of the fetal alcohol syndrome. 1983, Pubmed
Sulik, Fetal alcohol syndrome: embryogenesis in a mouse model. 1981, Pubmed
Tsukamoto, Relationship between degree of malocclusion and occlusal interference in mice that spontaneously develop anterior transverse crossbite. 2010, Pubmed
Van Maele-Fabry, Alterations of mouse embryonic branchial nerves and ganglia induced by ethanol. 1995, Pubmed
Vermot, Decreased embryonic retinoic acid synthesis results in a DiGeorge syndrome phenotype in newborn mice. 2003, Pubmed
Vitobello, Hox and Pbx factors control retinoic acid synthesis during hindbrain segmentation. 2011, Pubmed , Xenbase
Watari, Hoxa3 regulates integration of glossopharyngeal nerve precursor cells. 2001, Pubmed
Weinberg, Prenatal ethanol exposure alters adrenocortical development of offspring. 1989, Pubmed
Yamada, Targeted mutation of the murine goosecoid gene results in craniofacial defects and neonatal death. 1995, Pubmed
Yelin, Early molecular effects of ethanol during vertebrate embryogenesis. 2007, Pubmed , Xenbase
Yelin, Ethanol exposure affects gene expression in the embryonic organizer and reduces retinoic acid levels. 2005, Pubmed , Xenbase
