|
Fig. 1. Polarized, contact-induced margin retraction of LEM explants on CS.
(A) CS preparation. A blastocoel roof (BCR) explant extending to the animal pole (AP) is cultured with its inner side down. After removal, LEM explants move preferentially to the AP (black arrows) on the CS. (B) Frames from time-lapse recordings showing polarized retraction of LEM explant margins, AP to the top. Yellow and green pentagons indicate initial and post-retraction positions, respectively, of cells during a lateral explant encounter. Margin of right explant retracts; its center shifts animally. Red and blue pentagons, initial and post-retraction positions of cells during another lateral encounter. Left explant margin retracts, explant center remains in place. Yellow and blue arrow heads, initial and final positions of fusion sutures. (C,D) Higher magnification, lateral repulsion (C) and front-back fusion (D). Abbreviations: CS, conditioned substratum; E, endoderm; ECM, extracellular matrix; M, LEM; LEM, leading edge mesendoderm. |
|
Fig. 2. Inverted microscope images showing polarized repulsion/fusion on CS at cell level.
(A-C) LEM explant margins, cells labelled with membrane-GFP, AP is to the top. At the front (A), lamellipodia of marginal and submarginal cells point animally; at the back (B) and laterally (C), marginal and some submarginal cells in row behind extend outward onto free substratum. Arrows, lamellipodia orientation. (D-F) Front-back interaction on CS of explants differently labelled with m-RFP (red) and m-GFP (green), from time-lapse recordings. Yellow arrows, front cells underlapping back cells. White pentagons, back cells that change lamellipodia orientation after contact (white arrows in D,E). Occasionally a back cell transiently underlaps front cells (white arrows in F). (G,G’) Time-lapse recording of explant lateral contact (dashed line) at substratum level (G) and 1.8 μm above (G’; first frame, transmitted light). Red arrows, lamellipodium retracting from boundary. White arrows, animally moving cell gradually shortens contact with other cell (white bars) to peel off. Yellow arrowheads, cell detachment by repulsion at lateral boundary. (H,I) Lateral, localized, transient cell-cell repulsion (yellow arrowheads) above substratum level. Abbreviations: CS, conditioned substratum; AP, animal pole; LEM, leading edge mesendoderm.
|
|
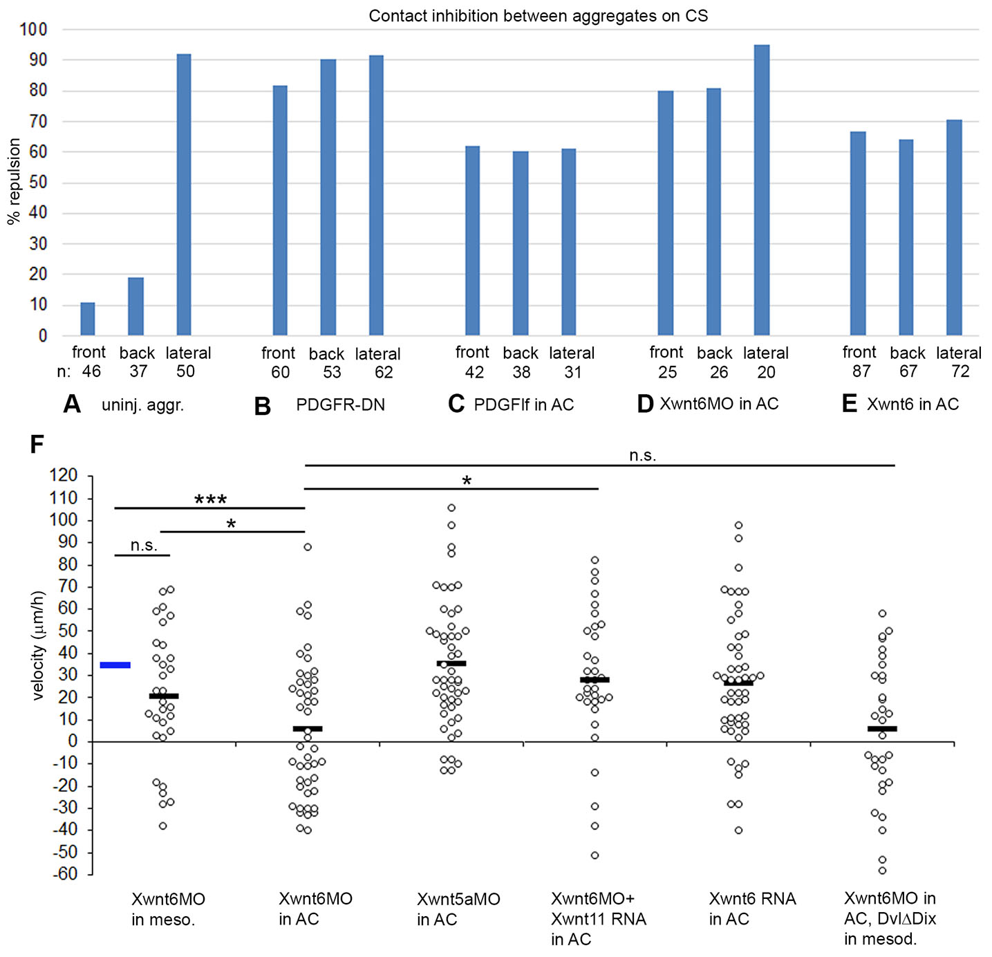
Fig. 3. Margin repulsion/fusion and directional migration of LEM explants on conditioned substratum.
(A-E) Percentage of encounters resulting in repulsion at front, back and lateral sides of explants. (A) Uninjected explants; (B) LEM explants expressing dominant negative receptor, PDGFRα; (C) substratum conditioned with BCR overexpressing lf-PDGF-A, (D) with Xwnt6 depleted, and (E) with Xwnt6 overexpressing BCR. (F) Directional migration of LEM explants on conditioned substratum with treatments as indicated. Velocities of explants towards the animal pole (positive values) or away (negative values) for each explant (dot) is indicated, black bars indicate averages. Blue bar, average of uninjected control (from Fig. 5A). ns, not significant; *, p ≤ 0.05; ***, p ≤ 0.001. |
|
Fig. 4. Margin repulsion/fusion of LEM explants on conditioned substratum.
(A,B,H,I) Percentage of encounters resulting in repulsion at front, back and lateral sides of LEM explants on conditioned substratum (CS). (A) KD-Pak1 expressing, (B) ephrinB1-depleted (eB1MO), (H) Xfz7-depleted and (I) Dvl-DEP+ expressing LEM explants. (C-E) Uninjected and KD-Pak1 expressing LEM explants (ovals) on CS (C,E) or on fibronectin (FN) substratum (D). Percentage of contact-induced retractions (red arrows) is indicated. (F,G) EphrinB1 depleted LEM explants on fibronectin (FN) substratum (F) or on CS (G). Retractions indicated as in (C-E). At n = 41 and n = 46, respectively, the front retraction frequency in KD-Pak1/KD-Pak1 encounters (31.7%) (E) is significantly higher at α = 0.01 than the corresponding frequency in controls (10.9%) (C), indicating a supportive role of Pak1 in front-back fusion. Blue arrows, direction of animal pole (AP). |
|
Fig. 5. Non-canonical Xfz7 signaling controls directional LEM migration.
(A) Directional migration of LEM explants on conditioned substrate (CS), treated as indicated. Velocities of explants towards the animal pole (positive values) or away (negative values) for each explant (dot) is indicated; black bars, averages; ns, not significant; *, p ≤ 0.05; ***, p ≤ 0.001. (B-G) SEM images of LEM from stage 11 embryos, substrate-apposed side from which the blastocoel roof was removed after fixation. (B) Shingle arrangement of cells, orientation of lamellipodia to the animal pole in non-injected LEM. Xfz7MO injection and (C) Xfz7ΔC expression (E) reduce orientation; Xfz7 mRNA co-injection rescues it (D). DvlΔDIX (F) co-injection with Xfz7ΔC (G) rescues orientation. (H) Percentage of protrusions pointing towards or away from the front edge of the LEM. n, number of cells. |
|
Fig. 6. Non-canonical Xfz7 signaling upstream of Pak1 and tissue separation.
(A,B) Directional migration of LEM explants treated as indicated. PTX, pertussis toxin; Chel, chelerythrin. Velocities of explants towards the animal pole (positive values) or away (negative) for each explant is indicated, black bars, averages. Blue bar, average of uninjected control (from Fig. 5A). ns, not significant; *, p ≤ 0.05; ***, p ≤ 0.001. (C-G) Phalloidin staining, LEM explants on fibronectin, treatment indicated. (H) Tissue separation assay, percent of test explants (above bar) remaining on explanted blastocoel roof (below bar), treatments as indicated. n, number of explants. |
|
Fig. 7. LEM contact behaviors.
(A) Signaling pathways controlling tissue separation and contact inhibition of lamellipodia (CILa) (blue). Pathway elements 1 – 6 are described and referenced in the text. Red, factors tested in the present work. (B-D) SEM images of middle gastrula. (B) LEM as seen after partial removal of dorsal blastocoel roof (BCR); bp, blastopore. Colored area, prospective LEM explant. (C) Train of underlapping LEM cells, animally oriented. (D) LEM in sagittally fractured embryo. Separation from BCR depends on ephrinB1 and Dvl2 (eB1/Dvl) and on Xfz7 and Pak1 (Xfz7/Pak1) in the LEM. (E) Model of contact behavior between LEM cells (pink), and tissue separation between LEM and BCR cells (blue). Numbers represent pathway elements defined in (A). Apposition of ephrinB1/Dvl2 dominated (2 in A) front surface (green) and Pak1 dominated (1 in A) surface (blue) of LEM cells leads to adhesion via contact following of locomotion (CFL). At the mesoderm-ectoderm boundary, Pak1 surfaces apposition (blue), Xfz7/Snail signaling in LEM, and Eph/ephrin signaling lead to tissue separation (TS). PDGF-A signal from the ectoderm inhibits CILa in LEM lamellipodia (lam). (F) LEM explants on fibronectin (left), repellent margin prevents fusion (right) based on CILa in the absence of PDGF-A (5, 6 in A,E) and tissue separation-like repulsion (3 in A,E). (G) On CS, CILa is suppressed, and explants are polarized. EphrinB1/Dvl2 activity dominates at the front end (2 in A,E) and Pak1 function elsewhere (1 in A,E) (left). This leads via CFL to front-to-back explant fusion and via Pak1-Pak1 tissue separation to lateral repulsion (right). Arrows point to animal pole. |