XB-ART-60554
ACS Chem Biol
2024 Feb 16;192:516-525. doi: 10.1021/acschembio.3c00686.
Show Gene links
Show Anatomy links
Expanding the Genetic Code of Xenopus laevis Embryos.
Brown W, Davidson LA, Deiters A.
???displayArticle.abstract???
The incorporation of unnatural amino acids into proteins through genetic code expansion has been successfully adapted to African claw-toed frog embryos. Six unique unnatural amino acids are incorporated site-specifically into proteins and demonstrate robust and reliable protein expression. Of these amino acids, several are caged analogues that can be used to establish conditional control over enzymatic activity. Using light or small molecule triggers, we exhibit activation and tunability of protein functions in live embryos. This approach was then applied to optical control over the activity of a RASopathy mutant of NRAS, taking advantage of generating explant cultures from Xenopus. Taken together, genetic code expansion is a robust approach in the Xenopus model to incorporate novel chemical functionalities into proteins of interest to study their function and role in a complex biological setting.
???displayArticle.pubmedLink??? 38277773
???displayArticle.pmcLink??? PMC10877573
???displayArticle.link??? ACS Chem Biol
???displayArticle.grants??? [+]
Species referenced: Xenopus laevis
Genes referenced: mhc1-uaa nras psmd6
GO keywords: GTPase activity
???displayArticle.antibodies??? HA Ab30
???displayArticle.disOnts??? RASopathy
???attribute.lit??? ???displayArticles.show???
|
|
Graphical Abstract |
|
|
Figure 1. Genetic code expansion in Xenopus. (A) Injection and UAA incorporation into a protein of interest (POI) in embryos. (B) Structure of 1. (C) Titration of 1 in the injection solution and incorporation into Rluc95UAG. (D) Incorporation of 1 (10 mM) over the first 72 h of development. (E) Incorporation of 1 into Rluc95UAG at 16 °C. All bars are means, and error bars are standard deviations from three embryos. (F) Nieuwkoop Faber (NF) stages of Xenopus embryos at certain time points at 23 °C. Panel F reproduced with permission from ref (37). Copyright 2022 The Company of Biologists. NT = nontreated embryo control. hpf = hours post-fertilization. |
|
|
Figure 2. Genetic encoding of UAAs 2–6 in Xenopus embryos. Structures of 2–6. Blue represents caging groups that are removed after treatment with 405 nm light or a small molecule trigger. Incorporation of 2–6 into the luciferase reporter was accomplished after injection of all components, including 2, 4, and 5, while UAAs 3 and 6 were added to the media. Embryos were incubated at 23 °C, and assays were conducted at 24 hpf. Bars represent means, and error bars represent standard deviations of measurements from three independent embryos. |
|
|
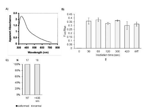
Figure 3. Conditional control of enzymatic activity with photocaged UAAs 2 and 3. (A) Luciferase enzymatic activation in Xenopus embryos with light. Structural representation of caging of the Fluc active site with either (B) 2 or (D) 3 before and after irradiation (PDB: 4G36). Incorporation of (C) 2 or (E) 3 into the dual luciferase reporter and irradiation for increasing duration with a 405 nm light at 24 hpf. Bars represent means, and error bars represent standard deviations of measurements from three independent embryos. |
|
|
Figure 4. Conditional control of enzymatic activity through the incorporation of 4. (A) Chemical structures of the different tetrazines tested for decaging of 4 in vivo. (B) Tetrazine screen of dual-luciferase reporter activation. (C) Tetrazine 7 incubation timecourse. Bars represent mean, and error bars represent standard deviation of measurements from three independent embryos. No tet = no tetrazine control. |
|
|
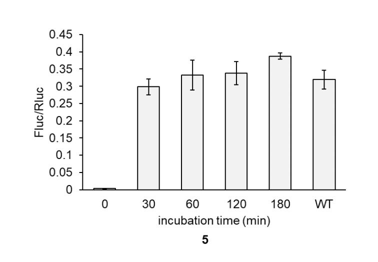
Figure 5. Conditional control of enzymatic activity through phosphine-based decaging of 5 incorporated into protein. (A) Chemical structures of the different phosphines tested. (B) Phosphine screen of dual-luciferase reporter activation. (C) Incubation timecourse with 16. Bars represent mean, and error bars represent standard deviation of measurements from three independent embryos. No phos. = no phosphine control. |
|
|
Figure 6. Optical control of NRAS activity using photocaged lysine 2. (A) Structural representation of caging of the NRAS active site with 2 (PDB: 5UHV). (B) Western blot of incorporation of 2 into NRAS. (C) Caging of NRAS blocks its activity in the absence of light, and the ERKKTR-Clover reporter is nuclear localized. Irradiation at 405 nm activates NRAS, which leads to ERK activation and nuclear exclusion of the KTR. (D) Representative confocal images of the KTR reporter for each condition. Scale bar: 20 μm. (E) Quantification of the fluorescent cytosol/nucleus ratio. Bars represent means, and error bars represent standard deviations of measurements from 15 cells and three different embryos. |
|
|
Figure S1. Plasmid map of constructs used in this study. |
|
|
Figure S2. Luciferase assays after addition of UAAs to embryo media. UAAs were added to Xenopus embryo media at a 1 mM final concentration (0.25 mM for 3) after injection of the Rluc95UAG mRNA, PylRS mRNA, and PylT. Embryos were incubated at 23 °C and assays were conducted at 24 hpf. |
|
|
Figure S3. Toxicity assay of UAAs 1-6 in xenopus embryos measured at 24 hpf. A volume of 5 nl of a 10 mM solution of UAAs 1, 2, 4, and 5 were injected and embryos were incubated at 23 °C for 24 hours. For UAA 3, embryos were incubated at 23 °C in embryo media supplemented with 0.25 mM of 3. For UAA 6, embryos were incubated at 23 °C in embryo media supplemented with 1 mM of 6. N = 10 for each condition. |
|
|
Figure S4. Assay after injection of WT Rluc mRNA (50 pg). Injection of 50 pg wild-type Rluc mRNA, incubation at 23 °C for 24 hpf, then assay of three embryos per condition. Bars represent mean and error bars represent standard deviation. NT = non-injected embryo control. |
|
|
|
|
|
Figure S6. Toxicity assay of the tetrazines after exposure for 3 hours at 24 hpf and scoring at 48 hpf. Concentration for each tetrazine was 100 µM in embryo media. N = 15 for each condition. |
|
|
Figure S7. Toxicity assay of phosphines after treatment at 48 hpf. Concentration was 50 µM for 15 and 100 µM for 16 and 17. Embryos were treated at 24 hpf for 3 hours and then scored at 48 hpf. N = 20 for each condition. |
|
|
Figure S8. Activation of UAA 5 incorporated dual-luc reporter using phosphine after embryo lysis. Phosphine 16 (100 µM) was added to the lysate and incubated at 23 °C for the time indicated. Bars represent mean and error bars represent standard deviation of biological triplicate. |
|
|
Figure S9. Schematic of the signaling pathways involving NRAS. Phosphorylation of ERK leads to gene transcription. |
|
|
Figure S10. Schematic of the ERK-KTR reporter. In its unphosphorylated state, the nuclear localization predominates. Phosphorylation of the NLS sites by ERK inactivates the NLS sequence, allowing for nuclear exclusion to predominate. |
References [+] :
Aguero, Microinjection of Xenopus Oocytes. 2018, Pubmed , Xenbase
Bartoschek, Identification of permissive amber suppression sites for efficient non-canonical amino acid incorporation in mammalian cells. 2021, Pubmed
Bednar, Immobilization of Proteins with Controlled Load and Orientation. 2019, Pubmed
Belin, Why Is the UAG (Amber) Stop Codon Almost Absent in Highly Expressed Bacterial Genes? 2022, Pubmed
Bianco, Expanding the genetic code of Drosophila melanogaster. 2012, Pubmed
Blum, Xenopus: An Undervalued Model Organism to Study and Model Human Genetic Disease. 2018, Pubmed , Xenbase
Brown, Cell-Lineage Tracing in Zebrafish Embryos with an Expanded Genetic Code. 2018, Pubmed
Brown, Genetic Code Expansion in Animals. 2018, Pubmed
Brown, Genetically Encoded Aminocoumarin Lysine for Optical Control of Protein-Nucleotide Interactions in Zebrafish Embryos. 2023, Pubmed
Brown, Light-activation of Cre recombinase in zebrafish embryos through genetic code expansion. 2019, Pubmed
Carlson, Unraveling Tetrazine-Triggered Bioorthogonal Elimination Enables Chemical Tools for Ultrafast Release and Universal Cleavage. 2018, Pubmed
Chemla, Context effects of genetic code expansion by stop codon suppression. 2018, Pubmed
Chen, Q61 mutant-mediated dynamics changes of the GTP-KRAS complex probed by Gaussian accelerated molecular dynamics and free energy landscapes. 2022, Pubmed
Chin, Addition of a photocrosslinking amino acid to the genetic code of Escherichiacoli. 2002, Pubmed
Chin, Expanding and reprogramming the genetic code. 2017, Pubmed
Chung, Using Genetic Code Expansion for Protein Biochemical Studies. 2020, Pubmed
Cline, New water-soluble phosphines as reductants of peptide and protein disulfide bonds: reactivity and membrane permeability. 2004, Pubmed
Cole, Releasable SNAP-tag probes for studying endocytosis and recycling. 2012, Pubmed
Conti, Crystal structure of firefly luciferase throws light on a superfamily of adenylate-forming enzymes. 1996, Pubmed
Courtney, Optical control of protein phosphatase function. 2019, Pubmed
Courtney, Recent advances in the optical control of protein function through genetic code expansion. 2018, Pubmed
Crnković, Pyrrolysyl-tRNA synthetase, an aminoacyl-tRNA synthetase for genetic code expansion. 2016, Pubmed
Da Costa, Blotched snakehead virus is a new aquatic birnavirus that is slightly more related to avibirnavirus than to aquabirnavirus. 2003, Pubmed
Darrah, Small Molecule Control of Morpholino Antisense Oligonucleotide Function through Staudinger Reduction. 2021, Pubmed
Daze, The cation-π interaction at protein-protein interaction interfaces: developing and learning from synthetic mimics of proteins that bind methylated lysines. 2013, Pubmed
Dingwell, Dissecting and Culturing Animal Cap Explants. 2018, Pubmed , Xenbase
Dougherty, In vivo incorporation of non-canonical amino acids by using the chemical aminoacylation strategy: a broadly applicable mechanistic tool. 2014, Pubmed , Xenbase
Go, Redox compartmentalization in eukaryotic cells. 2008, Pubmed
Greiss, Expanding the genetic code of an animal. 2011, Pubmed
Grossmann, Phospho-tyrosine dependent protein-protein interaction network. 2015, Pubmed
Gurdon, Use of frog eggs and oocytes for the study of messenger RNA and its translation in living cells. 1971, Pubmed , Xenbase
Han, Expanding the genetic code of Mus musculus. 2017, Pubmed
Harwood, Identification of mutant firefly luciferases that efficiently utilize aminoluciferins. 2011, Pubmed
Hemphill, Optical Control of CRISPR/Cas9 Gene Editing. 2015, Pubmed
Jang, Access to Faster Eukaryotic Cell Labeling with Encoded Tetrazine Amino Acids. 2020, Pubmed
Jazayeri, Structural and dynamical insight into thermally induced functional inactivation of firefly luciferase. 2017, Pubmed
Kaltenbrun, Xenopus: An emerging model for studying congenital heart disease. 2011, Pubmed , Xenbase
Kang, The impact of RASopathy-associated mutations on CNS development in mice and humans. 2019, Pubmed
Kim, Punctuated actin contractions during convergent extension and their permissive regulation by the non-canonical Wnt-signaling pathway. 2011, Pubmed , Xenbase
Knight, Conservation, variability and the modeling of active protein kinases. 2007, Pubmed
Li, Diels-Alder reaction-triggered bioorthogonal protein decaging in living cells. 2014, Pubmed
Li, Bioorthogonal Ligations and Cleavages in Chemical Biology. 2020, Pubmed
Liaunardy-Jopeace, Encoding optical control in LCK kinase to quantitatively investigate its activity in live cells. 2017, Pubmed
Lin-Moshier, A rapid Western blotting protocol for the Xenopus oocyte. 2013, Pubmed , Xenbase
Lin-Moshier, The Xenopus oocyte: a single-cell model for studying Ca2+ signaling. 2013, Pubmed , Xenbase
Liu, Genetic Code Expansion in Zebrafish Embryos and Its Application to Optical Control of Cell Signaling. 2017, Pubmed
Liu, Genetically Encoded Chemical Decaging in Living Bacteria. 2018, Pubmed
Liu, Engineering genetically-encoded tools for optogenetic control of protein activity. 2017, Pubmed
Lukasak, Aryl Azides as Phosphine-Activated Switches for Small Molecule Function. 2019, Pubmed
Luo, Genetic Encoding of Photocaged Tyrosines with Improved Light-Activation Properties for the Optical Control of Protease Function. 2017, Pubmed
Luo, Genetically encoded optical activation of DNA recombination in human cells. 2016, Pubmed
Luo, Small-molecule control of protein function through Staudinger reduction. 2016, Pubmed
Luo, Optical Control of DNA Helicase Function through Genetic Code Expansion. 2017, Pubmed
Mimoto, Manipulation of gene function in Xenopus laevis. 2011, Pubmed , Xenbase
Moody, Xenopus Explants and Transplants. 2022, Pubmed , Xenbase
Noren, A general method for site-specific incorporation of unnatural amino acids into proteins. 1989, Pubmed
O'Banion, Optogenetics: A Primer for Chemists. 2018, Pubmed
Ou-Yang, Spectral responses of melanin to ultraviolet A irradiation. 2004, Pubmed
Patterson, Swimming toward solutions: Using fish and frogs as models for understanding RASopathies. 2020, Pubmed , Xenbase
Rahman, Optical control of MAP kinase kinase 6 (MKK6) reveals that it has divergent roles in pro-apoptotic and anti-proliferative signaling. 2020, Pubmed
Rauen, Defining RASopathy. 2022, Pubmed
Regot, High-sensitivity measurements of multiple kinase activities in live single cells. 2014, Pubmed
Runtuwene, Noonan syndrome gain-of-function mutations in NRAS cause zebrafish gastrulation defects. 2011, Pubmed
Ryan, Quantitative Analysis and Optimization of Site-Specific Protein Bioconjugation in Mammalian Cells. 2022, Pubmed
Sakamoto, Site-specific incorporation of an unnatural amino acid into proteins in mammalian cells. 2002, Pubmed
Schlieve, Synthesis and characterization of a novel class of reducing agents that are highly neuroprotective for retinal ganglion cells. 2006, Pubmed
Schmidt, Genetic code expansion as a tool to study regulatory processes of transcription. 2014, Pubmed
Shandell, Genetic Code Expansion: A Brief History and Perspective. 2021, Pubmed
Sun, Quantitative proteomics of Xenopus laevis embryos: expression kinetics of nearly 4000 proteins during early development. 2014, Pubmed , Xenbase
Sungwienwong, Improving target amino acid selectivity in a permissive aminoacyl tRNA synthetase through counter-selection. 2017, Pubmed
Tajan, The RASopathy Family: Consequences of Germline Activation of the RAS/MAPK Pathway. 2018, Pubmed
Takimoto, Stereochemical basis for engineered pyrrolysyl-tRNA synthetase and the efficient in vivo incorporation of structurally divergent non-native amino acids. 2011, Pubmed
Taylor, Amino-acid-dependent modulation of amino acid transport in Xenopus laevis oocytes. 1996, Pubmed , Xenbase
Thorne, Illuminating insights into firefly luciferase and other bioluminescent reporters used in chemical biology. 2010, Pubmed
Uttamapinant, Genetic code expansion enables live-cell and super-resolution imaging of site-specifically labeled cellular proteins. 2015, Pubmed
Wan, Pyrrolysyl-tRNA synthetase: an ordinary enzyme but an outstanding genetic code expansion tool. 2014, Pubmed
Wang, Time-resolved protein activation by proximal decaging in living systems. 2019, Pubmed
Wesalo, Phosphine-Activated Lysine Analogues for Fast Chemical Control of Protein Subcellular Localization and Protein SUMOylation. 2020, Pubmed
Wesalo, Fast phosphine-activated control of protein function using unnatural lysine analogues. 2020, Pubmed
Yanagisawa, Structural Basis for Genetic-Code Expansion with Bulky Lysine Derivatives by an Engineered Pyrrolysyl-tRNA Synthetase. 2019, Pubmed
You, Embryonic Expression of NrasG 12 D Leads to Embryonic Lethality and Cardiac Defects. 2021, Pubmed
Zahn, Normal Table of Xenopus development: a new graphical resource. 2022, Pubmed , Xenbase
Zhang, Bioorthogonal Chemical Activation of Kinases in Living Systems. 2016, Pubmed
