Click here to close Hello! We notice that you are using Internet Explorer, which is not supported by Xenbase and may cause the site to display incorrectly. We suggest using a current version of Chrome, FireFox, or Safari.
XB-ART-60912
MicroPubl Biol 2024 Sep 03;2024. doi: 10.17912/micropub.biology.001277.
Show Gene links Show Anatomy links

Time of day dependent changes in embryonic heart rate are detectable after maturation of rhythmic circadian gene expression in the eye, but before the heart in Xenopus laevis tadpoles cultured in LD.

Curran K, Kemper F, Hadley M.


???displayArticle.abstract???
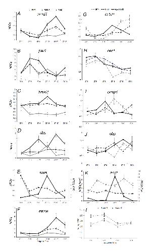
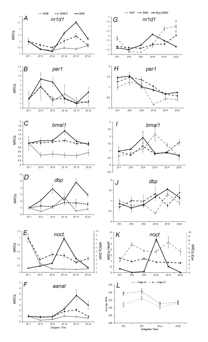
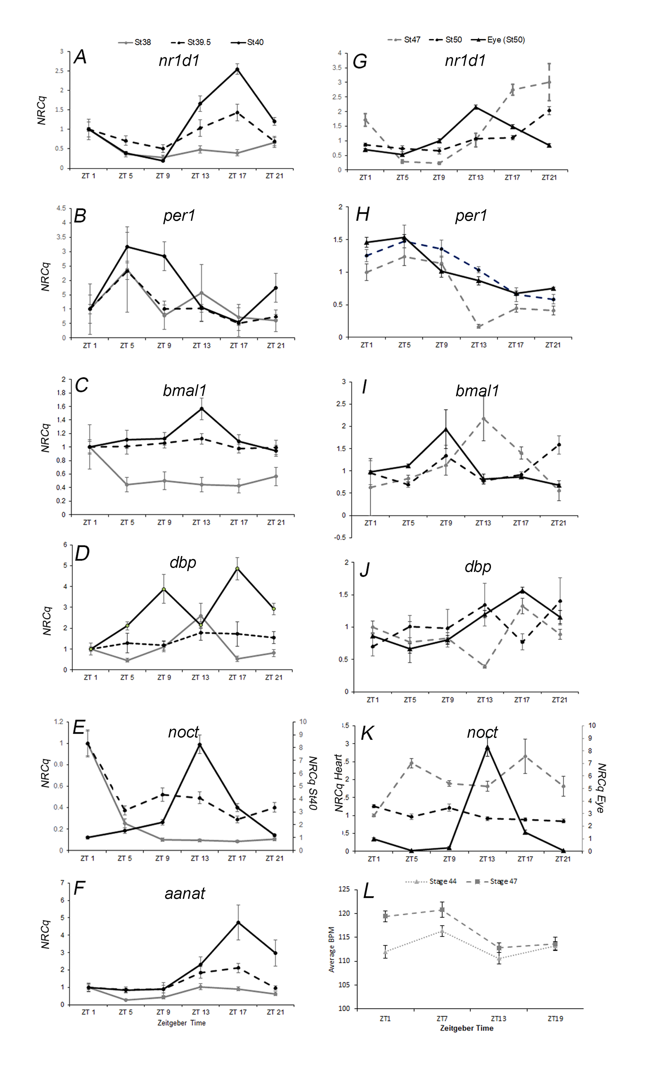
We systematically characterized onset of expression of circadian genes in the embryonic eye and heart of Xenopus laevis tadpoles. We found that period1 (per1) and nr1d1 ( rev-erbα) were the first circadian genes to display significant 24-hour rhythms in the developing eye and heart in a 12-hour light-dark cycle (LD). Rhythmic expression of both oscillator and output genes were present in the eye by 2.75 days post fertilization (dpf), but not in 15 dpf hearts. Surprisingly, rhythmic oscillation of heart rate occurred after 3.2 dpf suggesting that heart rate may be controlled directly by light or indirectly by the pineal in LD.

???displayArticle.pubmedLink??? 39291148
???displayArticle.pmcLink??? PMC11406323
???displayArticle.link??? MicroPubl Biol


Species referenced: Xenopus laevis
Genes referenced: aanat bmal1 clock dbp eef1a1 noct nr1d1 per1 rpl8
GO keywords: circadian regulation of heart rate [+]


???attribute.lit??? ???displayArticles.show???