|
XB-ANTIBODY-19756185
|
Antibody Name:
Ctnnb1 Ab14
Common Name: beta-catenin RRID: Synonyms: 674196-35
Source: |
|
| Antibody | |
| Clone Number | |
| Purification | |
| Isotype | isotype unknown |
| Host Organism | mouse |
| Xenopus Reactivity | X. laevis |
| Non-Xenopus Reactivity | |
| Description: | Custom antibody made by Genscript for the Kubiak Lab |
| Immunogen | |
| Name | |
| Type | polypeptide |
| Post Translational Modifications | None |
| Source Organism | mouse |
| Description | |
| Sequence | |
| Reported Usage | |
| immunohistochemistry | |
| Publications | |
| ???displayAntibody.papersFirst??? |
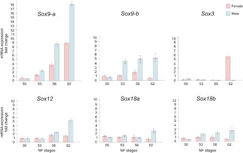
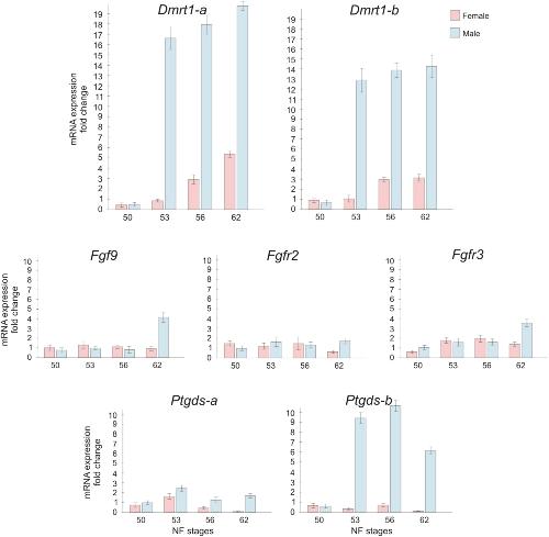
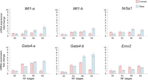
Transcriptome analysis identifies genes involved in sex determination and development of Xenopus laevis gonads., Differentiation 2018 |
| ???displayAntibody.papersRecent??? | |
| ???displayAntibody.papersAll??? | |
