XB-ART-54320
Proc Natl Acad Sci U S A
2017 Dec 12;11450:E10838-E10847. doi: 10.1073/pnas.1709207114.
Show Gene links
Show Anatomy links
Proteomics of phosphorylation and protein dynamics during fertilization and meiotic exit in the Xenopus egg.
???displayArticle.abstract???
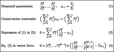
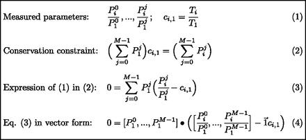
Fertilization releases the meiotic arrest and initiates the events that prepare the egg for the ensuing developmental program. Protein degradation and phosphorylation are known to regulate protein activity during this process. However, the full extent of protein loss and phosphoregulation is still unknown. We examined absolute protein and phosphosite dynamics of the fertilization response by mass spectrometry-based proteomics in electroactivated eggs. To do this, we developed an approach for calculating the stoichiometry of phosphosites from multiplexed proteomics that is compatible with dynamic, stable, and multisite phosphorylation. Overall, the data suggest that degradation is limited to a few low-abundance proteins. However, this degradation promotes extensive dephosphorylation that occurs over a wide range of abundances during meiotic exit. We also show that eggs release a large amount of protein into the medium just after fertilization, most likely related to the blocks to polyspermy. Concomitantly, there is a substantial increase in phosphorylation likely tied to calcium-activated kinases. We identify putative degradation targets and components of the slow block to polyspermy. The analytical approaches demonstrated here are broadly applicable to studies of dynamic biological systems.
???displayArticle.pubmedLink??? 29183978
???displayArticle.pmcLink??? PMC5740657
???displayArticle.link??? Proc Natl Acad Sci U S A
???displayArticle.grants??? [+]
R01 HD091846 NICHD NIH HHS , R01 HD073104 NICHD NIH HHS , R01 GM039565 NIGMS NIH HHS , R37 GM039565 NIGMS NIH HHS , R01 GM103785 NIGMS NIH HHS
Species referenced: Xenopus laevis
Genes referenced: camk2g ddx59 fubp1 npdc1 ssx2ip
???attribute.lit??? ???displayArticles.show???
External Resources: Proteomic dataset PXD006639 on PRIDE
References [+] :
Antonin,
Nuclear pore complex assembly through the cell cycle: regulation and membrane organization.
2008, Pubmed
Antonin, Nuclear pore complex assembly through the cell cycle: regulation and membrane organization. 2008, Pubmed
Backs, The gamma isoform of CaM kinase II controls mouse egg activation by regulating cell cycle resumption. 2010, Pubmed
Bärenz, The centriolar satellite protein SSX2IP promotes centrosome maturation. 2013, Pubmed , Xenbase
Beausoleil, A probability-based approach for high-throughput protein phosphorylation analysis and site localization. 2006, Pubmed
Bement, Four-dimensional imaging of cytoskeletal dynamics in Xenopus oocytes and eggs. 2003, Pubmed , Xenbase
Bement, Activators of protein kinase C trigger cortical granule exocytosis, cortical contraction, and cleavage furrow formation in Xenopus laevis oocytes and eggs. 1989, Pubmed , Xenbase
Bernardini, Xenopus spermatozoon: correlation between shape and motility. 1988, Pubmed , Xenbase
Bischof, A cdk1 gradient guides surface contraction waves in oocytes. 2017, Pubmed
Burkart, Ovastacin, a cortical granule protease, cleaves ZP2 in the zona pellucida to prevent polyspermy. 2012, Pubmed
Carpy, Absolute proteome and phosphoproteome dynamics during the cell cycle of Schizosaccharomyces pombe (Fission Yeast). 2014, Pubmed
Cascio, Program of early development in the mammal: post-transcriptional control of a class of proteins synthesized by mouse oocytes and early embryos. 1982, Pubmed
Chang, Mitotic trigger waves and the spatial coordination of the Xenopus cell cycle. 2013, Pubmed , Xenbase
Chaube, Absolute quantitation of post-translational modifications. 2014, Pubmed
Cohen-Fix, Anaphase initiation in Saccharomyces cerevisiae is controlled by the APC-dependent degradation of the anaphase inhibitor Pds1p. 1996, Pubmed , Xenbase
Cross, Nup98 regulates bipolar spindle assembly through association with microtubules and opposition of MCAK. 2011, Pubmed , Xenbase
Curran, MARQUIS: a multiplex method for absolute quantification of peptides and posttranslational modifications. 2015, Pubmed
Danilchik, Exosomal trafficking in Xenopus development. 2017, Pubmed , Xenbase
Dephoure, A solid phase extraction-based platform for rapid phosphoproteomic analysis. 2011, Pubmed
Dultz, Systematic kinetic analysis of mitotic dis- and reassembly of the nuclear pore in living cells. 2008, Pubmed
Dunbar, The mammalian zona pellucida: its biochemistry, immunochemistry, molecular biology, and developmental expression. 1994, Pubmed
Erickson, Evaluating multiplexed quantitative phosphopeptide analysis on a hybrid quadrupole mass filter/linear ion trap/orbitrap mass spectrometer. 2015, Pubmed
Fang, Direct binding of CDC20 protein family members activates the anaphase-promoting complex in mitosis and G1. 1998, Pubmed , Xenbase
Fíla, Enrichment techniques employed in phosphoproteomics. 2012, Pubmed
Floyd, APC/C Cdh1 targets aurora kinase to control reorganization of the mitotic spindle at anaphase. 2008, Pubmed
Franks, The role of Nup98 in transcription regulation in healthy and diseased cells. 2013, Pubmed
Gasper, Molecular population genetics of the gene encoding the human fertilization protein zonadhesin reveals rapid adaptive evolution. 2006, Pubmed
Gerhart, Cell cycle dynamics of an M-phase-specific cytoplasmic factor in Xenopus laevis oocytes and eggs. 1984, Pubmed , Xenbase
Guo, Phosphoproteomic network analysis in the sea urchin Strongylocentrotus purpuratus reveals new candidates in egg activation. 2015, Pubmed
Güttinger, Orchestrating nuclear envelope disassembly and reassembly during mitosis. 2009, Pubmed
Hansen, CaMKII and polo-like kinase 1 sequentially phosphorylate the cytostatic factor Emi2/XErp1 to trigger its destruction and meiotic exit. 2006, Pubmed , Xenbase
Hara, A cytoplasmic clock with the same period as the division cycle in Xenopus eggs. 1980, Pubmed , Xenbase
Holloway, Anaphase is initiated by proteolysis rather than by the inactivation of maturation-promoting factor. 1993, Pubmed , Xenbase
Hsu, E2F-dependent accumulation of hEmi1 regulates S phase entry by inhibiting APC(Cdh1). 2002, Pubmed , Xenbase
Humphrey, High-throughput phosphoproteomics reveals in vivo insulin signaling dynamics. 2015, Pubmed
Ishihara, Organization of early frog embryos by chemical waves emanating from centrosomes. 2014, Pubmed
Izawa, How APC/C-Cdc20 changes its substrate specificity in mitosis. 2011, Pubmed
Johansson, Proteomic analyses of the two mucus layers of the colon barrier reveal that their main component, the Muc2 mucin, is strongly bound to the Fcgbp protein. 2009, Pubmed
Karsenti, Phosphorylation changes associated with the early cell cycle in Xenopus eggs. 1987, Pubmed , Xenbase
Kettenbach, Rapid and reproducible single-stage phosphopeptide enrichment of complex peptide mixtures: application to general and phosphotyrosine-specific phosphoproteomics experiments. 2011, Pubmed
Kim, Systematic and quantitative assessment of the ubiquitin-modified proteome. 2011, Pubmed
King, A 20S complex containing CDC27 and CDC16 catalyzes the mitosis-specific conjugation of ubiquitin to cyclin B. 1995, Pubmed , Xenbase
Klinger, The novel centriolar satellite protein SSX2IP targets Cep290 to the ciliary transition zone. 2014, Pubmed
Krauchunas, Protein phosphorylation changes reveal new candidates in the regulation of egg activation and early embryogenesis in D. melanogaster. 2012, Pubmed
Kronja, Quantitative proteomics reveals the dynamics of protein changes during Drosophila oocyte maturation and the oocyte-to-embryo transition. 2014, Pubmed
Kronja, Widespread changes in the posttranscriptional landscape at the Drosophila oocyte-to-embryo transition. 2014, Pubmed
Latham, Quantitative analysis of protein synthesis in mouse embryos. I. Extensive reprogramming at the one- and two-cell stages. 1991, Pubmed
Laurell, Phosphorylation of Nup98 by multiple kinases is crucial for NPC disassembly during mitotic entry. 2011, Pubmed
Lee, Temporal and spatial regulation of fibronectin in early Xenopus development. 1984, Pubmed , Xenbase
Lim, Expression and localization of Rdd proteins in Xenopus embryo. 2014, Pubmed , Xenbase
Lim, The G2/M regulator histone demethylase PHF8 is targeted for degradation by the anaphase-promoting complex containing CDC20. 2013, Pubmed
Lindsay, Identification and characterization of a unique Xenopus laevis egg envelope component, ZPD. 2002, Pubmed , Xenbase
Lindsay, Isolation and characterization of ovochymase, a chymotrypsin-like protease released during Xenopus laevis egg activation. 1995, Pubmed , Xenbase
Liu, GPS-ARM: computational analysis of the APC/C recognition motif by predicting D-boxes and KEN-boxes. 2012, Pubmed
Lu, Substrate degradation by the proteasome: a single-molecule kinetic analysis. 2015, Pubmed
Mackay, Coordinating postmitotic nuclear pore complex assembly with abscission timing. 2011, Pubmed
Markoulaki, Fertilization stimulates long-lasting oscillations of CaMKII activity in mouse eggs. 2004, Pubmed
McAlister, Increasing the multiplexing capacity of TMTs using reporter ion isotopologues with isobaric masses. 2012, Pubmed
McAlister, MultiNotch MS3 enables accurate, sensitive, and multiplexed detection of differential expression across cancer cell line proteomes. 2014, Pubmed
McGarry, Geminin, an inhibitor of DNA replication, is degraded during mitosis. 1998, Pubmed , Xenbase
Mészáros, Nuclear pore basket proteins are tethered to the nuclear envelope and can regulate membrane curvature. 2015, Pubmed
Murray, Dominoes and clocks: the union of two views of the cell cycle. 1989, Pubmed
Nagase, Ovostatin: a novel proteinase inhibitor from chicken egg white. II. Mechanism of inhibition studied with collagenase and thermolysin. 1983, Pubmed
Nuccitelli, The sperm-induced Ca2+ wave following fertilization of the Xenopus egg requires the production of Ins(1, 4, 5)P3. 1993, Pubmed , Xenbase
Olsen, Quantitative phosphoproteomics reveals widespread full phosphorylation site occupancy during mitosis. 2010, Pubmed
Penn, Acrosomal proteolytic activity of amphibian sperm. A direct demonstration. 1972, Pubmed
Peshkin, On the Relationship of Protein and mRNA Dynamics in Vertebrate Embryonic Development. 2015, Pubmed , Xenbase
Prinz, The regulation of Cdc20 proteolysis reveals a role for APC components Cdc23 and Cdc27 during S phase and early mitosis. 1998, Pubmed
Raices, Nuclear pore complex composition: a new regulator of tissue-specific and developmental functions. 2012, Pubmed
Rankin, The surface contraction waves of Xenopus eggs reflect the metachronous cell-cycle state of the cytoplasm. 1997, Pubmed , Xenbase
Sansal, NPDC-1, a regulator of neural cell proliferation and differentiation, interacts with E2F-1, reduces its binding to DNA and modulates its transcriptional activity. 2000, Pubmed
Schuel, Benzohydroxamic acid induces polyspermic fertilization in the sea urchin Arbacia punctulata. 1987, Pubmed
Shao, Xenopus oocyte meiosis lacks spindle assembly checkpoint control. 2013, Pubmed , Xenbase
Sharma, Ultradeep human phosphoproteome reveals a distinct regulatory nature of Tyr and Ser/Thr-based signaling. 2014, Pubmed
Shirayama, The Polo-like kinase Cdc5p and the WD-repeat protein Cdc20p/fizzy are regulators and substrates of the anaphase promoting complex in Saccharomyces cerevisiae. 1998, Pubmed
Singh, Co-regulation proteomics reveals substrates and mechanisms of APC/C-dependent degradation. 2014, Pubmed
Sivakumar, Spatiotemporal regulation of the anaphase-promoting complex in mitosis. 2015, Pubmed
Sokac, Cdc42-dependent actin polymerization during compensatory endocytosis in Xenopus eggs. 2003, Pubmed , Xenbase
Solari, Why phosphoproteomics is still a challenge. 2015, Pubmed
Steen, Stable isotope-free relative and absolute quantitation of protein phosphorylation stoichiometry by MS. 2005, Pubmed
Stewart, Destruction box-dependent degradation of aurora B is mediated by the anaphase-promoting complex/cyclosome and Cdh1. 2005, Pubmed
Sun, Regulation of dynamic events by microfilaments during oocyte maturation and fertilization. 2006, Pubmed , Xenbase
Sutovsky, Assembly of nuclear pore complexes and annulate lamellae promotes normal pronuclear development in fertilized mammalian oocytes. 1998, Pubmed , Xenbase
The UniProt Consortium, UniProt: the universal protein knowledgebase. 2017, Pubmed
Thingholm, Highly selective enrichment of phosphorylated peptides using titanium dioxide. 2006, Pubmed
Thompson, Tandem mass tags: a novel quantification strategy for comparative analysis of complex protein mixtures by MS/MS. 2003, Pubmed
Tokmakov, Calcium signaling and meiotic exit at fertilization in Xenopus egg. 2014, Pubmed , Xenbase
Toyama, Identification of long-lived proteins reveals exceptional stability of essential cellular structures. 2013, Pubmed
Tsai, Large-scale determination of absolute phosphorylation stoichiometries in human cells by motif-targeting quantitative proteomics. 2015, Pubmed
Tunquist, Under arrest: cytostatic factor (CSF)-mediated metaphase arrest in vertebrate eggs. 2003, Pubmed , Xenbase
Ubbels, Evidence for a functional role of the cytoskeleton in determination of the dorsoventral axis in Xenopus laevis eggs. 1983, Pubmed , Xenbase
van der Velden, Mitotic arrest caused by the amino terminus of Xenopus cyclin B2. 1993, Pubmed , Xenbase
Vizcaíno, 2016 update of the PRIDE database and its related tools. 2016, Pubmed
Wang, The master cell cycle regulator APC-Cdc20 regulates ciliary length and disassembly of the primary cilium. 2014, Pubmed
Werner, High-resolution enabled TMT 8-plexing. 2012, Pubmed
Wessel, A method for the quantitative recovery of protein in dilute solution in the presence of detergents and lipids. 1984, Pubmed
Wolf, The cortical response in Xenopus laevis ova. 1974, Pubmed , Xenbase
Wu, A large-scale method to measure absolute protein phosphorylation stoichiometries. 2011, Pubmed
Wühr, The Nuclear Proteome of a Vertebrate. 2015, Pubmed , Xenbase
Wühr, Deep proteomics of the Xenopus laevis egg using an mRNA-derived reference database. 2014, Pubmed , Xenbase
Wühr, Accurate multiplexed proteomics at the MS2 level using the complement reporter ion cluster. 2012, Pubmed , Xenbase
Yamada, Ovostatin, an endogenous trypsin inhibitor of sea urchin eggs: purification and characterization of ovostatin from eggs of the sea urchin, Strongylocentrotus intermedius. 1988, Pubmed
Yang, The Cdk1-APC/C cell cycle oscillator circuit functions as a time-delayed, ultrasensitive switch. 2013, Pubmed , Xenbase
Zou, Identification of a vertebrate sister-chromatid separation inhibitor involved in transformation and tumorigenesis. 1999, Pubmed , Xenbase
