Click here to close Hello! We notice that you are using Internet Explorer, which is not supported by Xenbase and may cause the site to display incorrectly. We suggest using a current version of Chrome, FireFox, or Safari.
XB-ART-61573
BMC Genomics 2025 Oct 07;261:887. doi: 10.1186/s12864-025-12036-4.
Show Gene links Show Anatomy links

The two sub-genomes of the allotetraploid frog Xenopus laevis are evolving under similar selective pressure in extant populations.

Almojil D, Manikandan V, Drou N, Measey J, Boissinot S.


???displayArticle.abstract???
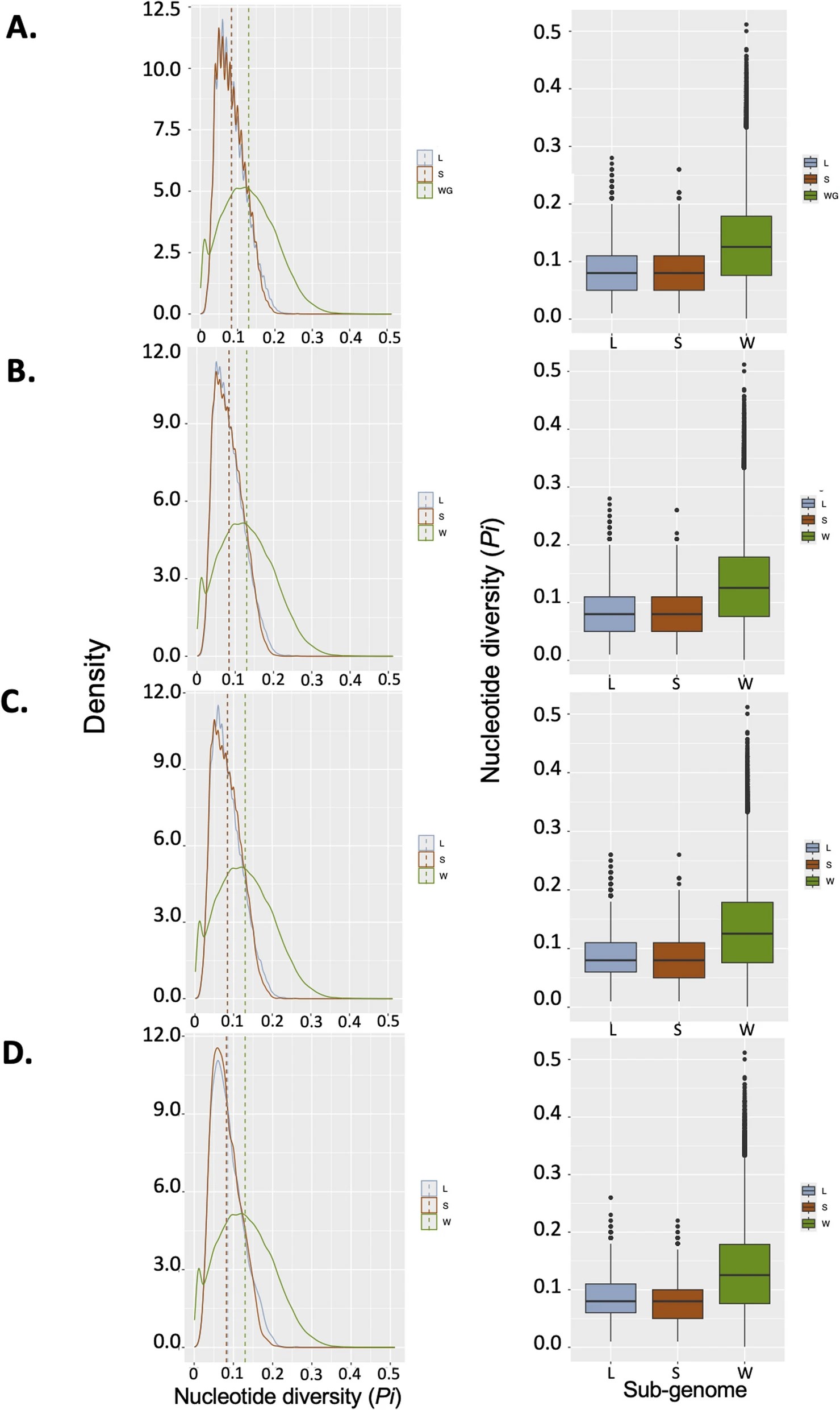
The model species Xenopus laevis is an allotetraploid species, whose genome consists of two sub-genomes (the L and S sub-genomes) that were inherited from its parental species. Previous studies comparing the genome of X. laevis with other species of the genus revealed that the L sub-genome was more conserved than the S sub-genome suggesting it has been evolving under stronger purifying selection. However, it remains unclear if this difference reflects evolutionary processes that are still at play in extant populations. To answer this question, we conducted the first genome-wide survey of variation in this species by re-sequencing 44 individuals from its native South African range at ~ 10 × coverage. We generated a dataset of ~ 260M SNPs, which constitutes a valuable resource for the Xenopus community. We found that the South African populations of X. laevis are highly structured and differentiated, reflecting ancient divergence followed by more recent admixture at contact zones. We also determined that the landscapes of variation of the L and S sub-genomes do not show any significant differences suggesting that the two sub-genomes are responding to evolutionary forces in a similar manner. In particular we showed that purifying selection and positive selection are acting identically on the two sub-genomes, suggesting that the sub-genomes of X. laevis are evolving under similar selective pressure. Since 60% of the ancestral homeologous genes have been retained in X. laevis, this result suggests that the function of those genes is conserved on both sub-genomes or that a large number of genes has experienced neo- or sub-functionalization.

???displayArticle.pubmedLink??? 41057774
???displayArticle.link??? BMC Genomics
???displayArticle.grants??? [+]

Species referenced: Xenopus laevis


???attribute.lit??? ???displayArticles.show???
External Resources: 44WGS datasets
           SRA
           github_scripts-WGS
           github_scripts-nucleotide_diversity